Analysis of a Hybrid Thermoelectric Microcooler: Thomson Heat and Geometric Optimization
Abstract
:1. Introduction
2. One-Dimensional Model of a Two-Stage Thermoelectric Microcooler (TEMC)
2.1. Basic Equations of the Two-Stage Thermoelectric Microcooler (TEMC)
2.2. Cooling Power: The Ideal Equation () and Thomson Effect ()
2.3. Average System Temperature,
2.4. Material Properties
2.5. Geometric Parameter between Stages: Area-Length Ratio ()
3. Special Case: Single-Stage TEMC
3.1. Dimensionless Spatial Temperature Distribution,
3.2. Coefficient of Performance () and Cooling Power () for Single-Stage TEMC
3.3. Analysis of Geometric Parameter,
4. Homogeneous and Hybrid Two-Stage TEMC Systems
4.1. Homogeneous Two-Stage TEMC System (Two-Stage TEMC)
4.1.1. Dimensionless Spatial Temperature Distribution for Two-stage TEMC: Thomson Effect () and Ideal Equation ()
4.1.2. Coefficient of Performance () and Cooling Power () for Two-Stage TEMC
4.1.3. Analysis of Geometric Parameter in Two-Stage TEMC
4.2. Hybrid Two-Stage TEMC System
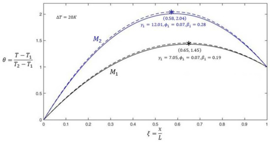
4.2.1. Dimensionless Temperature Distribution for Hybrid Two-stage TEMC: Ideal Equation and Thomson Effect
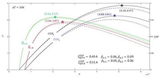
4.2.2. Coefficient of Performance () and Cooling Power () for Hybrid Two-Stage TEMC
4.2.3. Analysis of the Geometric Parameter for Hybrid Two-Stage TEMC
4.2.4. Ratio of the Total Number of Thermocouples for Hybrid Two-Stage TEMC
5. Conclusions
Acknowledgments
Author Contributions
Conflicts of Interest
References
- El-Genk, M.S.; Saber, H.H.; Caillat, T. Efficient segmented thermoelectric unicouples for space power applications. Energy Convers. Manag. 2003, 44, 1755–1772. [Google Scholar] [CrossRef]
- Snyder, G.; Toberer, E.S.; Khanna, R.; Sifert, W. Improved Thermoelectric Cooling on the Thomson Effect. Phys. Rev. B 2012, 86, 045202. [Google Scholar] [CrossRef]
- Goupil, C.; Seifert, W.; Zabrocki, K.; Muller, E.; Snyder, G.J. Thermodynamics of Thermoelectric Phenomena and Applications. Entropy 2011, 13, 1481–1517. [Google Scholar] [CrossRef]
- Callen, H.B. The Application of Onsager’s Reciprocal Relations to Thermoelectric, Thermomagnetic, and Galvanomagnetic Effects. Phys. Rev. 1948, 73, 1349–1358. [Google Scholar] [CrossRef]
- Seifert, W.; Pluschke, V. Maximum cooling power of graded thermoelectric cooler. Phys. Stat. Solidi B 2014, 251, 1416–1425. [Google Scholar] [CrossRef]
- Süssmann, H.; Müller, E. Verification of a transport model for p-Type (Bi0.5Sb0.5)2Te3 and (Bi0.25Sb0.75)2Te3 solid solutions by means of temperature dependent thermoelectric properties below room temperature. In Proceedings of the XIVth International Conference on Thermoelectrics, St. Petersburg, Russia, 27–30 June 1995; pp. 1–6. [Google Scholar]
- Rowe, D.M. CRC Handbook of Thermoelectics; CRC Press: Boca Raton, FL, USA, 1995; pp. 214–219. [Google Scholar]
- Tian, H.; Sun, X.; Jia, Q.; Liang, X.; Shu, G.; Wang, X. Comparison and parameter optimization of a segmented thermoelectric generator by using the high temperature exhaust of a diesel engine. Energy 2015, 84, 121–130. [Google Scholar] [CrossRef]
- Burshteyn, A.I. Semiconductor Thermoelectric Devices; Temple Press: London, UK, 1964. [Google Scholar]
- Baranowski, L.; Snyder, G.; Toberer, E. Effective thermal conductivity in thermoelectric materials. J. Appl. Phys. 2013, 113, 204904. [Google Scholar] [CrossRef]
- Zabrocki, K.; Müller, E.; Seifert, W. One-Dimensional Modeling of Thermogenerator Elements with Linear Material Profiles. J. Electron. Mater. 2010, 39, 1724–1729. [Google Scholar] [CrossRef]
- LaBounty, C.; Shakouri, A.; Bowers, J.E. Design and characterization of thin film microcoolers. J. Appl. Phys. 2001, 89, 4059–4064. [Google Scholar] [CrossRef]
- Yao, D.J. In-Plane MEMS Thermoelectric Microcooler. Ph.D. Thesis, UCLA, Los Angeles, CA, USA, 2001. [Google Scholar]
- Chen, W.; Liao, C. A Numerical Study on the Performance of Miniature Thermoelectric Cooler Affected by Thomson Effect. Appl. Energy 2012, 89, 464–473. [Google Scholar] [CrossRef]
- Chen, J.; Yan, Z.; Wu, L. Noneequilibrium Thermodynamic Analysis of a Thermoelectric Device. Energy 2012, 22, 979–985. [Google Scholar] [CrossRef]
- Seifert, W.; Ueltzen, M.; Müller, E. One-dimensional Modelling of Thermoelectric Cooling. Phys. Stat. Solidi 2002, 194, 277–290. [Google Scholar] [CrossRef]
- Lee, H.S. The Thomson effect and the the ideal equation on thermoelectric coolers. Energy 2013, 56, 61–69. [Google Scholar] [CrossRef]
- Xuan, X. Analyses of the performance and polar characteristics of two-stage thermoelectric coolers. Semicond. Sci. Technol. 2002, 17, 414–420. [Google Scholar] [CrossRef]
- Chen, J.; Zhou, Y.; Wang, H.; Wang, J. Comparison of the optimal performance of single- and two-stage thermoelectric refrigeration systems. Appl. Energy 2002, 73, 285–298. [Google Scholar] [CrossRef]
- Yang, R.; Chen, G.; Snyder, G.; Fleurial, J. Multistage thermoelectric microcoolers. J. Appl. Phys. 2004, 95, 8226–8232. [Google Scholar] [CrossRef]
- Cheng, Y.; Shih, C. Optimizing the arrangement of two-stage thermoelectric coolers through a genetic algorithm. JSME Int. J. 2006, 49, 831–838. [Google Scholar] [CrossRef]
- Yu, J.; Zhao, H.; Xie, K. Analysis of optimum configuration of two-stage thermoelectric modules. Cryogenics 2007, 47, 89–93. [Google Scholar] [CrossRef]
- Liu, J.; Wen, C. Examination of the cooling performance of a two-stage thermoelectric cooler considering the Thomson effect. Numer. Heat Transf. 2011, 60, 519–542. [Google Scholar] [CrossRef]
- Karimi, G.; Culham, J.; Kazerouni, V. Performance analysis of multi-stage thermoelectric coolers. Int. J. Refrig. 2011, 34, 2129–2135. [Google Scholar] [CrossRef]
- Wang, X.; Wang, Q.; Xu, J. Performance analysis of two-stage TECs (thermoelectric coolers) using a three-dimensional heat-electricity coupled model. Energy 2014, 65, 419–429. [Google Scholar] [CrossRef]
- Kaushik, S.; Manikandan, S. The influence of Thomson effect in the performance optimization of a two stage thermoelectric cooler. Cryogenics 2015, 72, 57–64. [Google Scholar] [CrossRef]
- Meng, F.; Chen, L.; Sun, F. Effects of thermocouples’ physical size on the performance of the TEG–TEH system. Int. J. Low-Carbon Technol. 2016, 1, 375–382. [Google Scholar] [CrossRef]
- Jaziel, A.; Ivan, R.; Aldo, F.; Federico, V. Coupled Thermoelectric Devices: Theory and Experiment. Entropy 2016, 18, 355. [Google Scholar] [CrossRef]
- Hybrid Thermoelectric Power Modules PbTe-BiTe. Available online: http://tecteg.com/hybrid-thermoelectric-power-modules-pbte-bite/ (accessed on 27 June 2017).














| Property | Material 1, CP-127-05 | Material 2, (BiSb)Te | Unit |
|---|---|---|---|
| (at 288 K) | (at 288 K) | V/K | |
| 1.6 | 1.35 | W/m K | |
| m) |
© 2017 by the authors. Licensee MDPI, Basel, Switzerland. This article is an open access article distributed under the terms and conditions of the Creative Commons Attribution (CC BY) license (http://creativecommons.org/licenses/by/4.0/).
Share and Cite
Ruiz Ortega, P.E.; Olivares-Robles, M.A. Analysis of a Hybrid Thermoelectric Microcooler: Thomson Heat and Geometric Optimization. Entropy 2017, 19, 312. https://doi.org/10.3390/e19070312
Ruiz Ortega PE, Olivares-Robles MA. Analysis of a Hybrid Thermoelectric Microcooler: Thomson Heat and Geometric Optimization. Entropy. 2017; 19(7):312. https://doi.org/10.3390/e19070312
Chicago/Turabian StyleRuiz Ortega, Pablo Eduardo, and Miguel Angel Olivares-Robles. 2017. "Analysis of a Hybrid Thermoelectric Microcooler: Thomson Heat and Geometric Optimization" Entropy 19, no. 7: 312. https://doi.org/10.3390/e19070312
APA StyleRuiz Ortega, P. E., & Olivares-Robles, M. A. (2017). Analysis of a Hybrid Thermoelectric Microcooler: Thomson Heat and Geometric Optimization. Entropy, 19(7), 312. https://doi.org/10.3390/e19070312

