On the Definition of Diversity Order Based on Renyi Entropy for Frequency Selective Fading Channels
Abstract
:1. Introduction
2. Conventional Definitions of Diversity Order
2.1. Outage Probability
2.2. Equal Energy Values of Multi-Paths
2.3. Different Energy Values of Multi-Paths
3. New Definition of Diversity Order
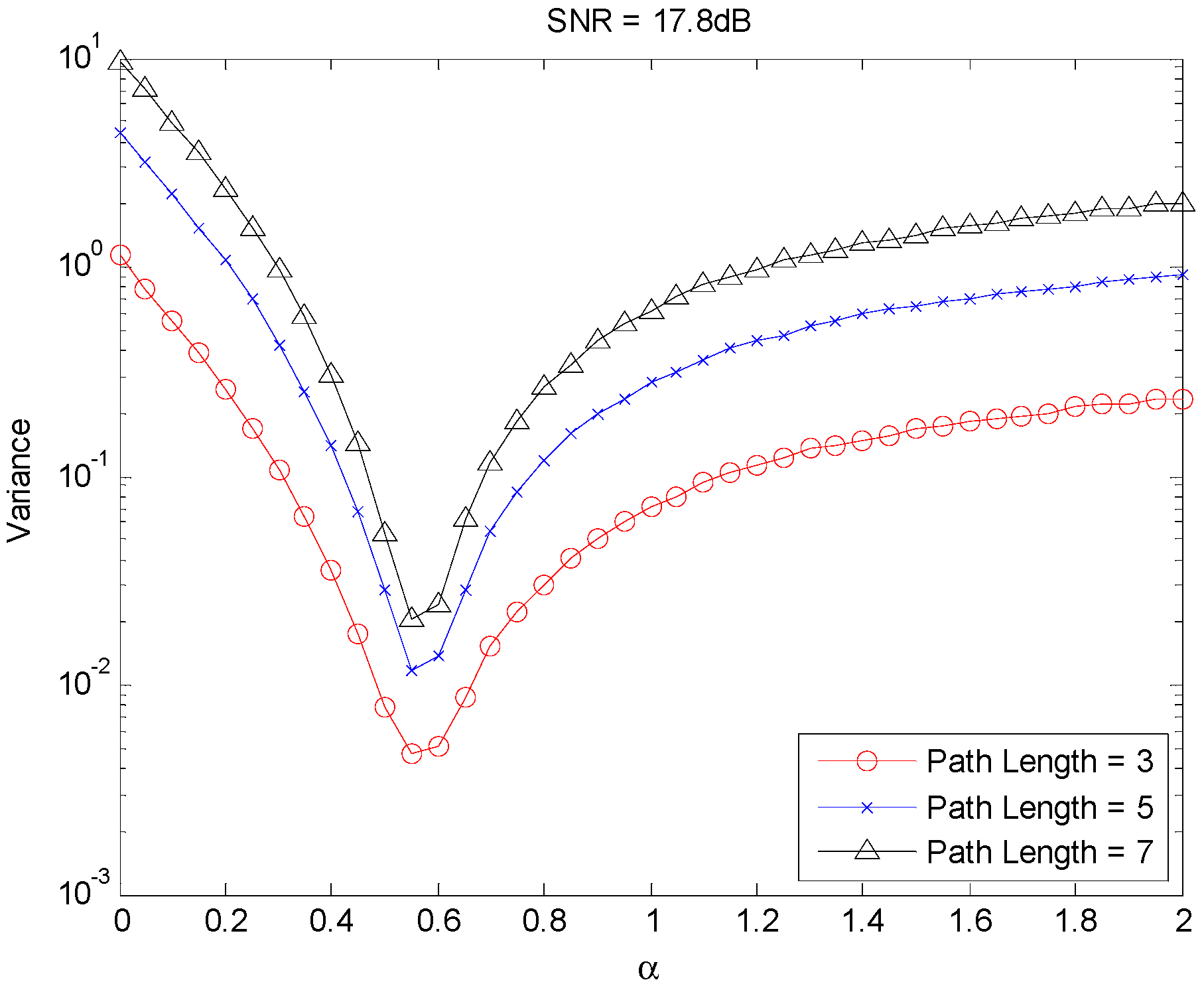
4. Simulation Results
5. Application of Diversity Order
6. Conclusions
Acknowledgments
Author Contributions
Conflicts of Interest
References
- Choi, B. A Dual-User Multiplexing Scheme Using Time Diversity over Frequency Nonselective SIMO Fading Channels. J. Korean Inst. Commun. Inf. Sci. 2013, 38, 127–142. [Google Scholar] [CrossRef]
- Chae, S.; Kim, H.; Lim, D.; Rim, M.; Kim, Y. On the Definition of Diversity Order for Frequency Selective Fading Channels. In Proceedings of the KICS ICC, Seoul, Korea, 8–10 February 2012; pp. 250–251. [Google Scholar]
- Chae, S.; Yeo, G.; Rim, M.; Chung, S.; Kim, C. Determination of Optimal Number of Physical Layer IDs in Heterogeneous Cooperative Communication Systems. In Proceedings of the KICS ICC, Seoul, Korea, 19–21 June 2013; pp. 141–142. [Google Scholar]
- Kim, J.; Lim, J.; Cioffi, J. Capacity Scaling and Diversity Order for Secure Cooperative Relaying with Untrustworthy Relays. IEEE Trans. Commun. 2015, 14, 3866–3876. [Google Scholar] [CrossRef]
- Andrews, J.G.; Buzzi, S.; Choi, W.; Hanly, S.V.; Lozano, A.; Soong, A.C.K.; Zhang, J.C. What Will 5 G Be? IEEE J. Sel. Areas Commun. 2014, 32, 1065–1082. [Google Scholar] [CrossRef]
- Jiang, S.; Yang, G.; Wei, Y.; Bi, M.; Lu, Y.; Zhou, X.; Hu, M.; Li, Q. Performance Analysis of Space-Diversity Free-Space Optical Links over Exponentiated Weibull channels. IEEE Photonics Technol. Lett. 2015, 27, 2250–2252. [Google Scholar] [CrossRef]
- Zhu, B.; Cheng, J.; Al-Dhahir, N.; Wu, L. Asymptotically Tight Error Rate Bounds for Diversity Receptions over Arbitrarily Correlated Rician Channels. In Proceedings of the 2015 IEEE Wireless Communications and Networking Conference (WCNC), New Orleans, LA, USA, 9–12 March 2015; pp. 699–704. [Google Scholar]
- Sayed, M.; Sebaali, G.; Evans, B.L.; Al-Dhahir, N. Efficient Diversity Technique for Hybrid Narrowband Powerline Wireless Smart Grid Communications. In Proceedings of the 2015 IEEE International Conference on Smart Grid Communications (SmartGridComm), Miami, FL, USA, 2–5 November 2015; pp. 1–6. [Google Scholar]
- Tse, D.; Viswanath, P. Fundamentals of Wireless Communication; Cambridge University Press: Cambridge, UK, 2005; pp. 49–60. [Google Scholar]
- Barriac, G.; Madhow, U. Characterizing Outage Rates for Space-Time Communication over Wideband Channels. IEEE Trans. Commun. 2004, 52, 2198–2208. [Google Scholar] [CrossRef]
- Boche, H.; Jorswieck, E.A. On the Ergodic Capacity as a Function of the Correlation Properties in Systems with Multiple Transmit Antennas without CSI at the Transmitter. IEEE Trans. Commun. 2004, 52, 1654–1657. [Google Scholar] [CrossRef]
- Laneman, J.N. Limiting Analysis of Outage Probabilities for Diversity Schemes in Fading Channels. In Proceedings of the Global Telecommunications Conference, San Francisco, CA, USA, 1–5 December 2003; pp. 1242–1246. [Google Scholar]
- Khuong, H.V.; Kong, H.Y. General Expression for pdf of a Sum of Independent Exponential Random Variables. IEEE Commun. Lett. 2006, 10, 159–161. [Google Scholar] [CrossRef]
- Liang, Y.C.; Leon, W.S.; Zeng, Y.; Xu, C. Design of Cyclic Delay Diversity for Single Carrier Cyclic Prefix (SCCP) Transmissions with Block-Iterative GDFE (BI-GDFE) Receiver. IEEE Trans. Wirel. Commun. 2008, 7, 677–684. [Google Scholar] [CrossRef]
- Kim, Y.; Kim, H.; Rim, M.; Lim, D. On the Optimal Cyclic Delay Value in Cyclic Delay Diversity. IEEE Trans. Broadcast. 2009, 55, 790–795. [Google Scholar]
- Yoo, D.S.; Stark, W.E. Characterization of WSSUS Channels: Normalized Mean Square Covariance and Diversity Combining. IEEE Trans. Wirel. Commun. 2005, 4, 1307–1310. [Google Scholar]
- Jost, L. Entropy and Diversity. Oikos 2006, 113, 363–375. [Google Scholar] [CrossRef]
- Keylock, C.J. Simpson Diversity and the Shannon-Wiener Index as Special Cases of a Generalized Entropy. Oikos 2005, 109, 203–207. [Google Scholar] [CrossRef]
- Patil, G.P.; Taillie, C. Diversity and its Measurement. JASA 1982, 77, 548–561. [Google Scholar] [CrossRef]
- Kim, Y.; Rim, M.; Jin, X.; Lim, D. On the Relation between Outage Probability and Effective Frequency Diversity Order. Appl. Math. Inf. Syst. 2014, 8, 2667–2673. [Google Scholar] [CrossRef]
- Leinster, T.; Meckes, M.W. Maximizing Diversity in Biology and Beyond. Entropy 2016, 18, 88. [Google Scholar] [CrossRef]
- Guariglia, E. Entropy and Fractal Antennas. Entropy 2016, 18, 84. [Google Scholar] [CrossRef]










© 2017 by the authors. Licensee MDPI, Basel, Switzerland. This article is an open access article distributed under the terms and conditions of the Creative Commons Attribution (CC BY) license (http://creativecommons.org/licenses/by/4.0/).
Share and Cite
Chae, S.; Rim, M. On the Definition of Diversity Order Based on Renyi Entropy for Frequency Selective Fading Channels. Entropy 2017, 19, 179. https://doi.org/10.3390/e19040179
Chae S, Rim M. On the Definition of Diversity Order Based on Renyi Entropy for Frequency Selective Fading Channels. Entropy. 2017; 19(4):179. https://doi.org/10.3390/e19040179
Chicago/Turabian StyleChae, Seungyeob, and Minjoong Rim. 2017. "On the Definition of Diversity Order Based on Renyi Entropy for Frequency Selective Fading Channels" Entropy 19, no. 4: 179. https://doi.org/10.3390/e19040179
APA StyleChae, S., & Rim, M. (2017). On the Definition of Diversity Order Based on Renyi Entropy for Frequency Selective Fading Channels. Entropy, 19(4), 179. https://doi.org/10.3390/e19040179
