Next Article in Journal
Energy Transfer between Colloids via Critical Interactions
Previous Article in Journal
A Comparison of Postural Stability during Upright Standing between Normal and Flatfooted Individuals, Based on COP-Based Measures
 
 
Font Type:
Arial Georgia Verdana
Font Size:
Aa Aa Aa
Line Spacing:
Column Width:
Background:
Article

Information Loss in Binomial Data Due to Data Compression

by
Susan E. Hodge
1,2 and
Veronica J. Vieland
1,2,3,*
1
Battelle Center for Mathematical Medicine, The Research Institute, Nationwide Children’s Hospital, Columbus, OH 43215, USA
2
Department of Pediatrics, The Ohio State University, Columbus, OH 43210, USA
3
Department of Statistics, The Ohio State University, Columbus, OH 43210, USA
*
Author to whom correspondence should be addressed.
Entropy 2017, 19(2), 75; https://doi.org/10.3390/e19020075
Submission received: 1 December 2016 / Revised: 7 February 2017 / Accepted: 12 February 2017 / Published: 16 February 2017
(This article belongs to the Section Information Theory, Probability and Statistics)

Abstract

:
This paper explores the idea of information loss through data compression, as occurs in the course of any data analysis, illustrated via detailed consideration of the Binomial distribution. We examine situations where the full sequence of binomial outcomes is retained, situations where only the total number of successes is retained, and in-between situations. We show that a familiar decomposition of the Shannon entropy H can be rewritten as a decomposition into H t o t a l , H l o s t , and H c o m p , or the total, lost and compressed (remaining) components, respectively. We relate this new decomposition to Landauer’s principle, and we discuss some implications for the “information-dynamic” theory being developed in connection with our broader program to develop a measure of statistical evidence on a properly calibrated scale.

1. Introduction

This paper is part of a series on the problem of how to measure statistical evidence on a properly calibrated scale. In earlier work we proposed embedding the measurement problem in a novel information dynamic theory [1,2]. Vieland [3] proposed that this theory is grounded in two laws: (1) a form of the likelihood principle, viewed as a conservation principle on a par with the 1st law of thermodynamics; and (2) a law involving information loss incurred by the data analytic process itself through data compression, which she related to (at least one form of) the 2nd law of thermodynamics.
By data compression we mean what Landauer [4] called a logically irreversible operation on a set of (statistical) data. For example, condensing a list of measurements z i ,   i = 1 , ,   n , into the summary statistic z ¯ = z i / n represents a loss of information regarding the individual z i values. In order to perform inferences regarding the mean, this compression is necessary. However, once done it cannot be undone, in that the original list of measurements cannot be reconstructed from z ¯ alone. In this sense the operation of compression is logically irreversible, and it incurs a reduction in entropy, that is, in what we might call the “system” entropy, or the entropy associated with the compressed data.
Here we consider not only the entropy remaining after data compression, but also the entropy lost, or dissipated, in the process of compression. Illustrating throughout with the binomial distribution, we show a wholly information-based connection to Landauer’s principle, and we comment on the potential importance of keeping track of this lost information as part of the data analytic process.

2. Information Decomposition under Data Compression

Following [3], we begin by considering independent Bernoulli trials, each of which produces either a success (S) or a failure (F). One trial produces 1 bit (= log 2 ) of sequence information, in that after recording the outcome we know which of two possible things actually happened. For n trials, define the total sequence information as
I t o t a l = n log 2 .
If one knows the exact sequence y of observations, e.g., y = S   S   F   S   F , then one knows which choice or event occurred at each of the n trials, and thus one possesses the full sequence information represented in (1).
In contrast, if only the total number of successes (x) is known or recorded, the information about the sequence of successes and failures is lost and cannot be recovered or reconstructed from x alone. (Here and throughout the paper we assume that n is also known). The data have been compressed from a full description to the summary measure x. We refer to this as “binomial compression”. The combinatoric coefficient ( n x ) gives the number of sequences compatible with the observed x, and thus indexes the information loss, since one no longer knows which of those sequences actually gave rise to the observed value of x. Define the lost information as
I l o s t = log ( n x ) .
The difference between (1) and (2) gives the “remaining” or “compressed” information,
I c o m p = I t o t a l I l o s t = n log 2 log ( n x )
so that
I t o t a l = I c o m p + I l o s t
(Vieland [3] referred to (3) as Δ I , viewed as the change in sequence information, following the notation of Duncan and Semura [5,6]).
The compressed information (3) can be viewed in terms of the ratio of which I c o m p is the log, that is, the ratio 2 n / ( n x ) . When only x is known, it is as if the total information represented in (1) has been “spread out” or averaged among the ( n x ) possible sequences compatible with the observed x.
Intermediate setups exist that fall between the two extremes of preserving all sequence information vs. discarding all of it. For example, one can perform some of the trials, and record the number of successes (but not their sequence) within that set or “batch” of trials, then perform the rest of the trials and record the number of successes in the second batch. (e.g., there could be a first batch of 3 trials, with 2 successes, followed by a second batch of 2 trials, with 1 success). The data are compressed, but less so than in the preceding section. In these cases, I l o s t equals the sum of the individual log combinatoric coefficients for each batch—a sum that cannot exceed I l o s t in (2).
Note that here we are concerned with information defined in terms of the number of possible sequences of observations. Below we will generalize this concept to Shannon information and its expected value, Shannon entropy. A very different kind of information—Fisher information [7]—plays a role in much statistical theory. While we comment briefly on one difference between Shannon information and Fisher information below, our focus here remains on information in the “number of sequences” or Shannon sense.

3. Entropy Decomposition under Data Compression

We now turn from information to Shannon entropy. As is well known, Shannon’s basic unit of information is the negative log of the probability, and Shannon entropy is the expected value of this information. For a single Bernoulli trial, the Shannon entropy [8] becomes H = ( p log p + q log q ) , i.e., the negative expected value of log P ( y ) from a single trial with outcome sequence y (p = probability of S in a single trial, q = 1 – p). When we know the full sequence information, the Shannon entropy for n Bernouilli trials is i = 1 2 n P [ i t h   s e q u e n c e ] log   P [ i t h   s e q u e n c e ] . Each value of i represents one of the 2 n possible sequences y, and each sequence has probability p x q n x , with x equaling the number of successes in that sequence. Combining all sequences y with the same value of x yields (5), which is the entropy for a single trial multiplied by n,
H ( x , y ) = x = 0 n ( n x ) p x q n x log ( p x q n x ) = n ( p log p + q log q ) .
Shannon [8] (p. 10) showed that the joint entropy for two variables x and y can be decomposed as
H ( x , y ) = H ( x ) + H x ( y ) .
To apply this to the binomial distribution, define Q x = ( n x ) p x q n x as the probability of count x, and P y | Q x = 1 / ( n x ) as the probability of sequence y, given count x. (For example, with n = 3 , Q 2 = Pr [ X = 2 ] = 3 p 2 q , and P 2 | Q 2 = Pr [ S   S   F | X = 2 ] = 1 / 3 ). Then Shannon’s H ( x ) becomes x Q x log Q x . Here we are following the notation of Attard [9], who decomposes the Shannon entropy using x for the macrostates of a physical system and y for the microstates, so that the “complete” (joint) entropy of the macro- and microstates, H ( x , y ) , can be expressed as the entropy of the macrostates, H ( x ) , plus the conditional entropy of the microstates given the macrostates, H x ( y ) (see also Toffoli [10]).
This much is familiar. What has not been noted before, to our knowledge, is how this entropy decomposition relates to the sequence information decomposition from Section 2 above. When only the number of successes x (and n) is recorded, the Shannon entropy is
H ( x ) = x Q x log Q x = x = 0 n ( n x ) p x q n x log [ ( n x ) p x q n x ] = n ( p log p + q log q ) E n [ log ( n x ) ] .
That is, the entropy in this situation is the quantity in Equation (5), reduced by the expected value of log ( n x ) .
We can recognize log ( n x ) as corresponding to I l o s t in (2) (here log ( n x ) functions as a random variable), and its (negative) expected value equals H x ( y ) in Shannon’s decomposition:
E [ I l o s t ] = x Q x y ( P y | Q x ) log ( P y | Q x ) = x ( n x ) p x q n x log ( n x ) = H x ( y ) .
Thus, the conditional entropy of y (the sequences, or microstates) given (i.e., consistent with) a specified count (or macrostate) x, is a straightforward generalization of I l o s t in (2).
Moreover, writing (5) as H t o t a l , (7) as H c o m p , and (8) as H l o s t yields
H t o t a l = H c o m p + H l o s t .
Thus, Shannon’s decomposition (6) aligns with the “total”, “comp,” and “lost” breakdown in (9), and also recapitulates the decomposition of the sequence information in (4).
Compressing the data into “batches” also functions analogously to what was seen in Section 2: The entropy for m i batches of size i equals the sum of the entropies of the individual batches H c o m p = i m i { i ( p log p + q log q ) + E i [ I l o s t ] } = n ( p log p + q log q ) i m i E i [ I l o s t ] .
One can also decompose the information itself, rather than the expected information: The probabilities corresponding to the entropies in (6) or (9) are P [ x ,   y ] = P [ x ] P [ y | x ] = Q x P y | Q x . The joint probability (as well as its log, the joint Shannon information) cleaves neatly into the “count” component, Q x = p x q n x , which is a function of p, and the “sequence conditioned on count” component, P y | Q x = ( n x ) , which is not a function of p.
Indeed, for the binomial distribution, the likelihood function L ( p ) = k p x q n x , for k an arbitrary constant, is proportional to the full probability, including sequence information, despite the fact that it represents the compressed data. That is, losing the sequence information does not entail any loss of information about p; for given n, all the information about p is conveyed by x. Thus binomial data compression, which affects the Shannon information, does not affect the Fisher information, highlighting the existence of (at least) two distinct concepts of information here. Equivalently, L(p) is a sufficient statistic for p [7,11], so that relative quantities such as the likelihood ratio (LR) and the Kullback–Leibler divergence (KLD) [12] are also unaffected by binomial compression. E.g., the LR comparing p 1 and p 2 is L R = p 1 x q 1 n x p 2 x q 2 n x , with the combinatoric term ( n x ) canceled out. Thus “batching” also has no impact on the LR or the KLD, despite the close connection between the latter quantity and Shannon entropy itself.
Of course there are other ways of compressing Bernoulli data that do affect information about p, e.g., combining genotypes into phenotypes [13], or defining a random variable that represents the number of transitions S F and F S occurring in n trials. In such situations there is genuine loss of information about p inherent in the compression of the data; the likelihood, the LR, KLD and Fisher information are all affected as well.

4. Data Compression and Information Loss

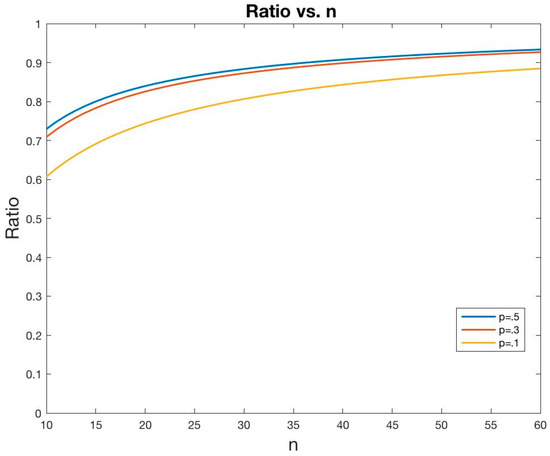
Figure 1 shows that the ratio R = H l o s t / H t o t a l = H x ( y ) / H ( x ,   y ) increases with n, asymptotically approaching 1. The amount of “lost” entropy increases faster than does the total entropy. This is related to Landauer’s [4] principle: logically irreversible data compression reduces the entropy of the “system” (i.e., H c o m p < H t o t a l ), but it also creates what physicists would call non-information-bearing degrees of freedom, or entropy dissipated into the “environment” (i.e., H l o s t ), such that there is a net increase in total entropy. Moreover, while the system entropy H c o m p increases with n, the proportion H l o s t dissipated into the environment increases faster. We could express this by saying that the efficiency with which new data change H c o m p decreases as H t o t a l increases. Here we have made no reference to physical manifestations of information or its erasure through data compression, but Figure 1 suggests that we might need to take account of not only the remaining information, but also the lost information, when we consider the complete “dynamics” of informational systems.
Vieland [3] proposed, following the lead of Duncan and Semura [5], that evidence E plays a parallel role to absolute temperature T in “linking” the bookkeeping required to track two different types of information, through the relationship Δ Q = k E Δ I , where k is a constant (not necessarily equal to Boltzmann’s constant), Δ Q is the total (evidential) information transferred in with new data, and Δ I is the net loss of (combinatoric) information incurred by data compression. (In Section 2 above we referred to Δ I as I l o s t ; we then extended this to the dissipated entropy H l o s t in Section 3).
One distinctive property of E as defined by this equation is that, as a function of increasing n, it increases in a concave-down manner [2,14]: All other things being equal, E increases more slowly, the stronger it is. This seems to accord with what we mean when we talk about statistical evidence. For example, adding 10 heads to a data set with (n = 2, X = 2) increases the evidence that the coin is biased far more than does adding those same 10 heads to a data set with (n = 200, X = 200), since in the latter case the evidence in favor of bias is already overwhelming. To our knowledge, E is unique among statistical evidence measures in conforming to this behavior of the evidence itself. By contrast, the LR, the Bayes ratio and the p-value all show exponential change with increasing n in such situations. Thus in at least this one regard, E appears to offer distinct advantages over other approaches to statistical evidence, insofar as its behavior better conforms to what we mean when we speak about evidence. This concave-down feature appears to be related to the basic relationship shown in Figure 1, whereby the lost, or dissipated, entropy increases more quickly than the total entropy, as a function of increasing n.

5. Discussion

In this paper we have pursued the idea of information lost through data compression, as occurs in the course of any data analysis. Following [3] we considered a decomposition of the entropy into H t o t a l , H l o s t , and H c o m p , or the total, lost and compressed (remaining) components, respectively. Using the binomial distribution, we illustrated the fact that, as Jaynes [15] instructed us, the effects of data compression on these entropy components depends on what we know about the data generation process—e.g., whether the full sequence of results or only the total number of successes x is recorded, or whether we have partial knowledge of which outcomes occurred in each of several sub-experiments.
We also considered the relationship between our entropy decomposition and two others: Landauer’s [4] decomposition of physical entropy change for logically irreversible data erasure operations into information-bearing degrees of freedom (the system entropy) and remaining degrees of freedom (the medium entropy, which absorbs heat dissipated during the process); and Shannon’s [8] decomposition of the Shannon entropy for two variables into a marginal and a conditional component (per our Equation (6); see also Attard [9], who gave a corresponding decomposition in terms of the joint and marginal entropies for macrostates and microstates of a statistical mechanical system). What we have shown here is that there is an interpretive connection between these three decompositions. From a mathematical point of view, they have the same form.
Viewing matters through the lens of the information loss inherent in data compression let us show in addition that the ratio R = H l o s t / H t o t a l increases with n, that is, the amount of “lost” entropy increases faster than does the total entropy. This can be described as a decrease in the efficiency with which new data convey information, as the total amount of information increases. We noted that this accords with intuition, in the sense that we learn less from a fixed increment of new data, the more we already know.
As mentioned above, Vieland [3] was interested in data compression in the context of deriving a new measure of statistical evidence. We noted that the information dynamic evidence measure E [2] is unique among alternative evidence measures (including the p-value, likelihood ratio and Bayes factor) in increasing more slowly (being “concave-down”), all other things being equal, with increasing n. Ordinarily, statistical analyses focus only on what we have called H c o m p itself (extending the definition to cover distributions other than the binomial). That is, statistical analyses commence after the data have been suitably compressed into, say, the count x of “successes” on n trials, or the mean z ¯ of a set of numbers, etc. No account is taken of the information lost in this process. This same point applies to most statistical treatments of entropy (e.g., Kullback [16], Soofi [17], Osteyee and Good [18] and many others), as well as other approaches to measurement of statistical evidence with which we are familiar (e.g., Edwards [19]; Royall [20]; Taper and Lele [21]; Bickel [22]; Stern and Pereira [23]; Evans [24]; Zhang [25]; among others).
While details remain to be worked out, we believe that E’s unique “concave-down” behavior is related to our use of a complete accounting of all components of the entropy decomposition in our underlying information dynamic framework. We are unaware of any other statistical context in which tracking “lost” information, or a form of information that is dissipated during the data analytic process, plays a central role. However, given the relationships among the various forms of entropy decomposition considered in this paper, we propose as a novel postulate that keeping the books for this information lost through data compression may be essential to a complete understanding of data analysis as an information-transformation process.

Acknowledgments

This work was supported by a grant from the W.M. Keck Foundation and by The Research Institute of Nationwide Children’s Hospital, Columbus, Ohio. We thank Sang-Cheol Seok for helpful discussion, and the anonymous reviewers for comments that led to substantial improvements in the manuscript.

Author Contributions

Susan E. Hodge and Veronica J. Vieland conceived the concepts and both wrote the paper. Both authors have read and approved the final manuscript.

Conflicts of Interest

The authors declare no conflict of interest.

References

  1. Vieland, V.J.; Das, J.; Hodge, S.E.; Seok, S.-C. Measurement of statistical evidence on an absolute scale following thermodynamic principles. Theory Biosci. 2013, 132, 181–194. [Google Scholar] [CrossRef] [PubMed]
  2. Vieland, V.J.; Seok, S.-C. Statistical evidence measured on a properly calibrated scale for multinomial hypothesis comparisons. Entropy 2016, 18, 114. [Google Scholar] [CrossRef]
  3. Vieland, V.J. Evidence, temperature, and the laws of thermodynamics. Hum. Hered. 2014, 78, 153–163. [Google Scholar] [CrossRef] [PubMed]
  4. Landauer, R. Irreversibility and heat generation in the computing process. IBM J. Res. Dev. 1961, 5, 183–191. [Google Scholar] [CrossRef]
  5. Duncan, T.L.; Semura, J.S. The deep physics behind the second law: Information and energy as independent forms of bookkeeping. Entropy 2004, 6, 21–29. [Google Scholar] [CrossRef]
  6. Duncan, T.L.; Semura, J.S. Information loss as a foundational principle for the second law of thermodynamics. Found. Phys. 2007, 37, 1767–1773. [Google Scholar] [CrossRef]
  7. Stuart, A.; Ord, K.; Arnold, S. Kendall’s Advancd Theory of Statistics, Classical Inference, and the Linear Model; Wiley: New York, NY, USA, 2010. [Google Scholar]
  8. Shannon, C. A mathematical theory of communication. Bell. Syst. Tech. J. 1948, 27, 379–423. [Google Scholar] [CrossRef]
  9. Attard, P. Is the information entropy the same as the statistical mechanical entropy? arXiv, 2012; arXiv:1209.5500. [Google Scholar]
  10. Toffoli, T. Entropy? Honest! Entropy 2016, 18, 247. [Google Scholar] [CrossRef]
  11. Zwillinger, D.; Kokoska, S. CRC Standard Probability and Statistics Tables and Formulae; Chapman & Hall/CRC: Boca Raton, FL, USA, 2000. [Google Scholar]
  12. Kullback, S.; Leibler, R.A. On information and sufficiency. Ann. Math. Stat. 1951, 22, 79–86. [Google Scholar] [CrossRef]
  13. Barrett, M.; Sober, E. The second law of probability dynamics. Br. J. Philos. Sci. 1994, 45, 941–953. [Google Scholar] [CrossRef]
  14. Vieland, V.J.; Seok, S.-C. Statistical evidence measured on a properly calibrated scale across nested and non-nested hypothesis comparisons. Entropy 2015, 17, 5333–5352. [Google Scholar] [CrossRef]
  15. Jaynes, E.T. The Gibbs Paradox. Available online: http://worrydream.com/refs/Jaynes%20-%20The%20Gibbs%20Paradox.pdf (accessed on 15 February 2017).
  16. Kullback, S. Information Theory and Statistics; Dover: New York, NY, USA, 1968. [Google Scholar]
  17. Soofi, E.S. Principal information theoretic approaches. J. Am. Stat. Assoc. 2000, 95, 1349–1353. [Google Scholar] [CrossRef]
  18. Osteyee, D.B.; Good, I.J. Information, weight of evidence, the singularity between probability measures and signal detection. Lect. Notes Math. 1970, 376, 338–341. [Google Scholar]
  19. Edwards, A.W.F. Likelihood: Expanded Edition; Hopkins: Baltimore, MD, USA, 1992. [Google Scholar]
  20. Royall, R. Statistical Evidence: A Likelihood Paradigm; Chapman & Hall: Boca Raton, FL, USA, 1997. [Google Scholar]
  21. Taper, M.L.; Lele, S.R. The Nature of Statistical Evidence; University of Chicago: Chicago, IL, USA, 2004. [Google Scholar]
  22. Bickel, D.R. The strength of statistical evidence for composite hypotheses: Inference to the best explanation. Stat. Sin. 2012, 22, 1147–1198. [Google Scholar]
  23. Stern, J.; Pereira, C. Bayesian epistemic values: Focus on surprise, measure probability! Log. J. IGPL 2014, 22, 236–254. [Google Scholar] [CrossRef]
  24. Evans, M. Measuring Statistical Evidence Using Relative Belief; Chapman & Hall/CRC: Boca Raton, FL, USA, 2015. [Google Scholar]
  25. Zhang, Z. A Law of Likelihood for Composite Hypotheses. arXiv, 2009; arXiv:0901.0463. [Google Scholar]
Figure 1. Graph of H l o s t / H t o t a l vs. sample size, for p = 0.5 ,   0.3 ,   0.1 .
Figure 1. Graph of H l o s t / H t o t a l vs. sample size, for p = 0.5 ,   0.3 ,   0.1 .
Entropy 19 00075 g001

Share and Cite

MDPI and ACS Style

Hodge, S.E.; Vieland, V.J. Information Loss in Binomial Data Due to Data Compression. Entropy 2017, 19, 75. https://doi.org/10.3390/e19020075

AMA Style

Hodge SE, Vieland VJ. Information Loss in Binomial Data Due to Data Compression. Entropy. 2017; 19(2):75. https://doi.org/10.3390/e19020075

Chicago/Turabian Style

Hodge, Susan E., and Veronica J. Vieland. 2017. "Information Loss in Binomial Data Due to Data Compression" Entropy 19, no. 2: 75. https://doi.org/10.3390/e19020075

APA Style

Hodge, S. E., & Vieland, V. J. (2017). Information Loss in Binomial Data Due to Data Compression. Entropy, 19(2), 75. https://doi.org/10.3390/e19020075

Note that from the first issue of 2016, this journal uses article numbers instead of page numbers. See further details here.

Article Metrics

Back to TopTop