Nonstandard Approach to Gravity for the Dark Sector of the Universe
Abstract
:1. Introduction
- Interpreted as the energy density of the vacuum, the experimental value of Λ turns out to be a factor of about too small (see the recent estimate in [6]).
- None of the proposed CDM-constituents has been observed (cp. [7]).
- Rotation curves (RCs) of DM-dominated galaxies behave in their inner part in sharp contrast to the CDM-based simulations (known as the core-cusp problem [8]).
- Modified theory of gravity (MOG) by Moffat [12] in which, besides the Einstein–Hilbert and matter actions, a massive vector field is introduced whose mass, coupling constant to matter and gravitational constant are promoted to scalar fields. The self-interaction potentials of these four fields are not fixed a priori and play the role of DE [13]. This model can explain galactic phenomena as e.g., RCs [14] as well as the accelerated expansion of the Universe and other cosmological observations [13].
2. Galilean Massless Particles and their Nonstandard Coupling to Gravity
2.1. Galilean Massless Particles
- (1) Define a reduced boost vectorThe boost acts on asTaking the PB of Equation (4) with it is easily seen by the expressions in Equation (1) that the PB of and vanishes
- (2) Next we introduce the velocity vectorwhich is translationally invariant (take the PB of Equation (10) with and use the Jacobi identity) to getWe conclude from Equations (13) and by (6), (7) and (9) that cannot be a function of the other variables , or .)To close the PB-algebra in phase space we choose, in accordance with the principle of a minimal dimension,Note that Equation (14) respects all Jacobi identities.
- A minimal dynamical realization of the unextended Galilei algebra in three dimensional configuration space requires a 12-dimensional phase space spanned by
- The relation between energy H and the momenta (velocities) is nonstandard,
- Momenta and velocities are dynamically independent,
- The have no counterpart in standard particle mechanics,
- Galilean massless particles move with arbitrary finite velocity.
2.2. Coupling to Gravity
3. A Self-Gravitating (darkon) Fluid
3.1. Lagrangian formulation
- (1) Instead of one particle we consider a continuum (fluid) labelled by comoving coordinates (Lagrangian formulation of fluid dynamics, cp. [20]).
- (2) We treat the gravitational field as a dynamical variable in order to get a self-gravitating fluid.
- + sign leading to an attractive gravitation,
- - sign leading to a repulsive gravitation.
- the gravitational field strength is not automatically given by the gradient of a potential,
- the expression (41) destroys the gauge symmetry i.e., it fixes the gauge.
3.2. Relabeling Symmetry and the Transport Equation for the Gravitational Field
3.3. Eulerian Formulation
3.4. Coupling with Baryonic Matter
4. Hamiltonian Dynamics
- It remains to express Q in terms of Eulerian variables. To do this, we get from the definition ofHowever, using Equation (80) and the identitywe obtainHence we finally have
5. Space-time Symmetries
- The darkon fluid possesses the unextended (zero mass) Galilei algebra as a symmetry algebra. The corresponding energy-momentum tensor is not symmetric and contains a negative pressure term.
- may be enlarged by dilations with dynamical exponent . This particular value of z is determined by the minimal coupling to gravity as given by Equation (26).
- Expansions are not a symmetry of the darkon fluid.
5.1. Space-time Translations and the Energy-momentum Tensor
5.2. Zero mass Galilean Symmetry
5.3. Angular Momentum
5.4. Anisotropic Scaling
6. Darkon Fluid Cosmology
6.1. Cosmological EOMs
6.2. Hamiltonian Dynamics
6.2.1. One Exact Solution
6.2.2. Reduced Phase Space
6.3. Solution of the EOMs
6.4. Distances
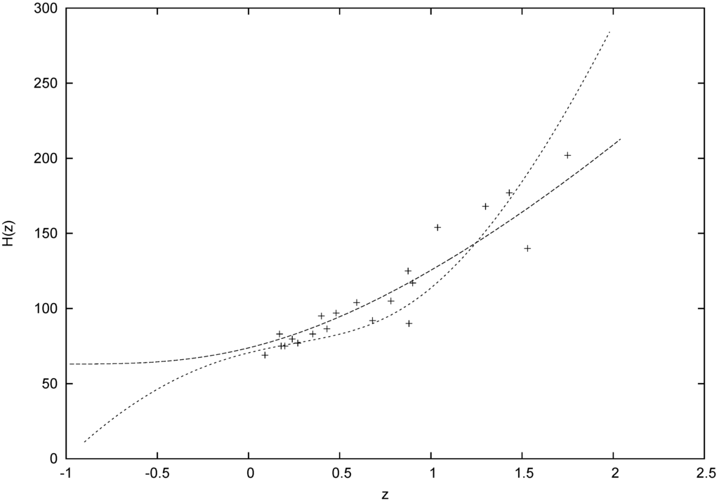
6.5. Predictions versus Observations
- the quantitative predictions for the Hubble parameter are in a general agreement with the observational data,
- the distance moduli for GRBs seem to show a peak at large z for the deceleration parameter q(z) in agreement with our predictions,
- our unified model for the dark sector is unable to predict the present dark matter contribution and, therefore, it can neither explain the BAO data nor the data on the CMB-shift parameter by using the present models for them.
6.5.1. Hubble Parameter
6.5.2. Remarks on Distance Moduli Data
6.5.3. Remarks on BAOs and the CMB-shift Parameter

6.6. Comparison with Alternative Models for Dark Energy
- Some kind of fluid described by an equation of state (EoS)
- A (possibly) time-dependent Λ with a fixed EoS
7. Modeling Dark Matter Halos by a Steady State Darkon Fluid
7.1. Equation for the Gravitational Potential
- we have to find a positive solution φ at least for with .
- we have to vary b until it reaches a value which corresponds toleading to
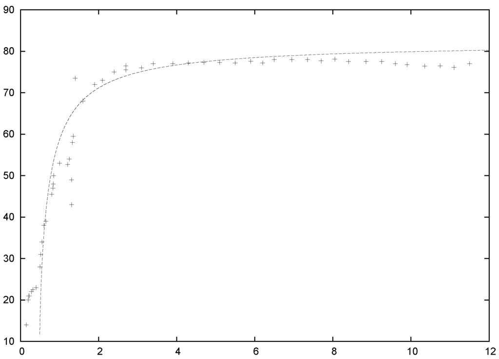
7.2. Predictions versus Observations





- They start at a radius and rapidly increase reaching at (Figure 6).
- Beyond this increase our model predicts a rather flat, but still very slowly increasing behaviour for the RCs until extremely large radii. This is basically in agreement with all observations according to which the RCs of a galaxy stay approximately constant after attaining a maximum at about 5 kpc [52]. This statement is true, in particular, for the DM-dominated galaxies: the LSB-galaxies (cp. the RCs reproduced in [53] and in Figure 3 and Figure 4 of [54]) and dwarf galaxies (cp. [55] and the RCs reproduced in [50]).
- They terminate at an extremely large radius roughly given by with a diverging RC as .Of course, this contradicts all observations. But the size of is clearly orders of magnitude larger than the size of the visible part of the Universe: In the FRW model the size of the Universe is given by [56], where Gyr is the age of the Universe [49]. Thus we obtain Gpc. The choice in Figure 6 gives pc, which is about 62 orders of magnitude larger than .
8. Influence of the Cosmic Expansion on Binary Systems
9. Outlook for a General Covariant Theory
- By means of a Lorentz transformation we promote the Milne scalar ( to ( = 0,1,2,3), which is a scalar field w.r.t. Diff but a contravariant space-like vector field, labeled by , in tangent space.
- By means of tetrads (known from teleparallel gravity, cp. [61]) we transform to the four-vector field
10. Conclusions and Outlook
- Derive the EOMs of the covariant theory.
- Restrict the EOMs to the cosmological regime and compare their predictions with the present model. Perform a best fit to the Hubble parameter resp. distance moduli data.
- Enlarge the covariant model by adding baryonic matter.
- Look for the solutions of the spherically symmetric but time dependent EOMs which attain for large distances their cosmological limits.
- Apply the results to
- –
- modeling of halos,
- –
- solar system tests.
- Quantization of the Hamiltonian dynamics for the darkon fluid as a whole or for the cosmological dynamics.
- Answer the question whether the present model is the nonrelativistic limit of the covariant theory in a strict sense.
- Discuss higher order derivative terms within the covariant theory.
References
- Buchert, Th.; Räsänen, R. Backreaction in late-time cosmology. 2012; arXiv: 1112.5335v1, [astro-ph.CO]. [Google Scholar] [Green Version]
- Roos, M. Astrophysical and cosmological probes of dark matter. 2012; arXiv: 1208.3662v2, [astro-ph.CO]. [Google Scholar] [Green Version]
- Tsujikawa, S. Dark energy: Investigation and modeling. 2010; arXiv: 1004.1493v1, [astro-ph.CO]. [Google Scholar] [Green Version]
- Li, M.; Li, X.-D.; Wang, S.; Wang, Y. Dark energy. Com. Theor. Phys. 2011, 56, 525–604. [Google Scholar] [CrossRef]
- Bamba, K.; Capozziello, S.; Nojiri, S.; Odintsov, S. Dark energy cosmology: The equivalent description via different theoretical models and cosmography tests. 2012; arXiv: 1205.3421.v3, [gr-qc]. [Google Scholar] [Green Version]
- Martin, J. Everything you always wanted to know about the cosmological constant problem (but were afraid to ask). 2012; arXiv: 1205.3365v1, [astro-ph.CO]. [Google Scholar] [Green Version]
- Garrett, K.; Duda, G. Dark matter: A primer. Adv. Astron. 2011. Article ID 968283. [Google Scholar] [CrossRef]
- De Block, W. The core-cusp problem. Adv. Astron. 2010. Article ID 789293. [Google Scholar] [CrossRef]
- Kroupa, P. The dark matter crisis: falsification of the current standard model of cosmology. 2012; arXiv: 1204.2546v2, [astro-ph.CO]. [Google Scholar]
- Milgrom, M. A modification of the Newtonian dynamics as an alternative to the hidden mass hypothesis. Astrophys. J. 1983, 270, 365–370. [Google Scholar] [CrossRef]
- Famaey, B.; McGaugh, S. Modified newtonian dynamics: A review. 2011; arXiv: 1112.3960v2, [astro-ph.CO]. [Google Scholar]
- Moffat, J. Scalar-tensor-vector gravity theory. J. Cosmol. Astropart. Phys. 2006, 004, 1–18. [Google Scholar] [CrossRef]
- Moffat, J.; Toth, V. Modified Gravity: Cosmology without dark matter or Einstein’s cosmological constant. 2012; arXiv: 0710.0364v7, [astro-ph]. [Google Scholar]
- Brownstein, J.; Moffat, J. Galaxy rotation curves without nonbaryonic dark matter. Astrophys. J. 2006, 636, 721–741. [Google Scholar] [CrossRef]
- Stichel, P.; Zakrzewski, W. Can cosmic acceleration be caused by exotic massless particles? Phys. Rev. D. 2009, 80, 083513. [Google Scholar] [CrossRef]
- Stichel, P.; Zakrzewski, W. Self-gravitating darkon fluid with anisotropic scaling. Eur. Phys. J. C. 2010, 70, 713–721. [Google Scholar] [CrossRef]
- Stichel, P.; Zakrzewski, W. Darkon fluid—a model for the dark sector of the Universe? Int. J. Geom. Meth. Mod. Phys. 2012, 9, 1261014. [Google Scholar] [CrossRef]
- Negro, J.; del Olmo, M.; Rodriguez-Marco, A. Nonrelativistic conformal groups. J. Math. Phys. 1997, 38, 3786–3809. [Google Scholar] [CrossRef]
- Milne, E. Newtonian expanding Universe. Quart. J. Math. (Oxford Ser.) 1934, 5, 64, (reprinted in Gen. Rel. Grav. 2000, 32 1939–1948). [Google Scholar] [CrossRef]
- Bennett, A. Lagrangian Fluid Dynamics; Cambridge University Press: Cambridge, UK, 2006. [Google Scholar]
- Jackiw, R.; Nair, V.; Pi, S.; Polychronakos, A. Perfect fluid theory and its extensions. J. Phys. A. 2004, 37, R327–R432. [Google Scholar] [CrossRef]
- Buchert, T. An exact Lagrangian integral for the Newtonian gravitational field strength. Phys. Lett. A. 2006, 354, 8–14. [Google Scholar] [CrossRef]
- Weyssenhoff, J.; Raabe, A. Relativisitic dynamics of spin-fluids and spin-particles. Acta Phys. Pol. 1947, IX, 7–18. [Google Scholar]
- Klauder, J. Enhanced quantum procedures that resolve difficult problems. 2012; arXiv: 1206.4017, [hep-th]. [Google Scholar]
- Hojman, S. The construction of a Poisson structure out of a symmetry and a conservation law of a dynamical system. J. Phys. A 1996, 29, 667–674. [Google Scholar] [CrossRef]
- Herrera, M.; Hojman, S. Non-standard Construction of Hamiltonian Structure and of the Hamilton-Jacobi equation. 2000; arXiv: math-ph/0008019. [Google Scholar]
- Weinberg, S. Cosmology; Oxford University Press: New York, NY, USA, 2008. [Google Scholar]
- McCrea, W. Cosmology. Rep. Progr. Phys. 1953, 16, 321–363. [Google Scholar] [CrossRef]
- Liddle, A. An Introduction to Modern Cosmology; Wiley: Chichester, GB, USA, 2003. [Google Scholar]
- Faroog, O.; Mania, D.; Ratra, B. Hubble parameter measurement constraints on dark energy. 2012; arXiv: 1211.4253, [astro-ph.CO]. [Google Scholar]
- Moresco, M.; Verde, L.; Pozetti, L.; Jimenez, R.; Cimatti, A. New constraints on cosmological parameters and neutrino properties using the expansion rate of the Universe to z ∼ 1.75. 2012; arXiv: 1201.6658, [astro-ph.CO]. [Google Scholar]
- Guimaraes, A.; Cunha, J.; Lima, J. Bayesian analysis and constraints on kinematic models from union SNIa. J. Cosmol. Astropart. Phys. 2009, 10, 0910. [Google Scholar] [CrossRef]
- Giostri, R.; Vargas dos Santos, M.; Waga, I.; Reis, R.; Calvao, M.; Lago, B. From cosmic deceleration to acceleration: new constraints from SNIa and BAO/CMB. 2012; arXiv: 1203.3213, [astro-ph.CO]. [Google Scholar]
- Seikel, M.; Yahya, S.; Maartens, R.; Clarkson, C. Using H(z) data as a probe of the concordance model. 2012; arXiv: 1205.3431, [astro-ph.CO]. [Google Scholar]
- Shafieloo, A.; Kim, A.; Linder, E. Gaussian process cosmography. 2012; arXiv: 1204.2272, [astro-ph.CO]. [Google Scholar]
- Suzuki, N.; Rubin, D.; Lidman, C.; Aldering, G.; Amanullah, R.; Barbary, K.; Barrientos, L.; Botyanski, J.; Brodwin, M.; Connolly, N.; et al. The hubble space telescope cluster supernova survey: V. improving the dark energy constraints above z > 1 and building an early-type-hosted supernova sample. Astrophys. J. 2012, 746, 85. [Google Scholar] [CrossRef]
- Wei, H. Observational constraints on cosmological models with the updated long gamma-ray bursts. J. Cosmol. Astropart. Phys. 2010, 1008, 020. [Google Scholar] [CrossRef]
- Liang, N.; Wu, P.; Zhang, S. Constraints on cosmological models and reconstructing the acceleration history of the universe with gamma-ray burst distance indicators. Phys. Rev. D. 2010, 81, 083518. [Google Scholar] [CrossRef]
- Gaztanaga, E.; Cabre, A.; Hui, L. Clustering of Luminous Red Galaxies IV: Baryon Acoustic Peak in the Line of Sight Direction and a Direct Measurement of H(z). Mon. Not. R. Astron. Soc. 2009, 399, 1663. [Google Scholar] [CrossRef]
- Stern, D.; Jimenez, R.; Verde, L.; Kamionkowski, M.; Stanford, S. Cosmic chronometers: Constraining the equation of state of dark energy. I: H(z) measurements. J. Cosmol. Astropart. Phys. 2010, 02, 008. [Google Scholar] [CrossRef]
- Moresco, M.; Cimatti, A.; Jimenez, R.; Pozetti, L.; Zamorani, G.; Bolzonella, M.; Dunlop, J.; Lamareille, F.; Mignoli, M.; Pearce, H.; et al. Improved constraints on the expansion rate of the Universe up to z ∼ 1.1 from the spectroscopic evolution of cosmic chronometers. 2012; arXiv:1201.3609, [astro-ph.CO]. [Google Scholar]
- Montanari, F.; Durrer, R. An analytic approach to baryon acoustic oscillations. Phys. Rev. D. 2011, 84, 023522. [Google Scholar] [CrossRef]
- Xia, J.; Vitagliano, V.; Liberati, S.; Viel, M. Cosmography beyond standard candles and rulers. 2012; arXiv: 1103.0378v3, [astr-ph.CO]. [Google Scholar]
- Kunz, M.; Liddle, A.; Parkinson, D.; Gao, C. Constraining the dark fluid. Phys. Rev. D 2009, 80, 083533. [Google Scholar] [CrossRef]
- Sola, J. Cosmologies with a time dependent vacuum. J. Phys. Conf. Ser. 2011, 283, 012033. [Google Scholar] [CrossRef]
- Fritzsch, H.; Sola, J. Matter non-conservation in the universe and dynamical dark energy. 2012; arXiv:1202.5097, [hep-ph]. [Google Scholar]
- AAmendola, L.; Kunz, M.; Motta, M.; Saltas, I.; Sawicki, I. Observables and unobservables in dark energy cosmologies. 2012; arXiv: 1210.0439, [astro-ph.CO]. [Google Scholar]
- Taliaferro, S. On the positive solutions of y+ϕ(t)y-λ = 0. Nonlin. Anal.-Theor. 1978, 2, 437–446. [Google Scholar] [CrossRef]
- Binney, J.; Tremaine, S. Galactic Dynamics; Princeton University Press: Princeton, NJ, USA, 2008. [Google Scholar]
- O’ Brien, J.; Mannheim, P. Fitting dwarf galaxy rotation curves with conformal gravity. 2011; arXiv: 1107.5229, [astro-ph.CO]. [Google Scholar]
- Taylor, J. Dark Matter halos from the inside out. Adv. Astron. 2011. Article ID 604898. [Google Scholar] [CrossRef]
- Roos, M. The evidence from astronomy, astrophysics and cosmology. 2010; arXiv:1001.0316, [astro-ph.CO]. [Google Scholar]
- Magana, J.; Matos, T.; Robles, V.; Suarez, A. A brief review of the scalar field dark matter model. 2012; arXiv: 1201.6107, [astro-ph.CO]. [Google Scholar]
- Mannheim, P.; O’Brien, J. Fitting galactic rotation curves with conformal gravity and a global quadratic potential. Phys. Rev. 2012, D85, 124020. [Google Scholar] [CrossRef]
- OH, S.-H.; de Blok, W.; Brinks, E.; Walter, F.; Kennicut, R., Jr. Dark and luminous matter in THINGS dwarf galaxies. Astron. J. 2011, 141. article id.193. [Google Scholar] [CrossRef]
- Melia, F. Proper size of the visible universe in FRW metrics with constant spacetime curvature. 2012; arXiv: 1207.1332, [astro-ph.CO]. [Google Scholar]
- Nandra, R.; Lasenby, A.; Hobson, M. The effect of a massive object on an expanding Universe. Mon. Not. R. Astron. Soc. 2012, 422, 2931–2944. [Google Scholar] [CrossRef]
- Carrera, M.; Guilini, D. Influence of global cosmological expansion on local dynamics and kinematics. Rev. Mod. Phys. 2010, 82, 169–208. [Google Scholar] [CrossRef]
- Mc Vittie, G. The mass-particle in an expanding Universe. Mon. Not. R. Astron. Soc. 1933, 93, 325–339. [Google Scholar] [CrossRef]
- Lukierski, J.; Stichel, P.; Zakrzewski, W. Exotic Galilean conformal symmetry and its dynamical realisations. Phys. Lett. 2006, A 357, 1–5. [Google Scholar] [CrossRef]
- Hammond, R. Torsion gravity. Rep. Prog. Phys. 2002, 65, 599–649. [Google Scholar] [CrossRef]
- Mannheim, P. Making the case for conformal gravity. 2011; arXiv: 1101.2186, [hep-th]. [Google Scholar]
- Horava, P. Quantum gravity at a lifshitz point. Phys. Rev. D 2009, 79, 084008. [Google Scholar] [CrossRef]
© 2013 by the authors; licensee MDPI, Basel, Switzerland. This article is an open access article distributed under the terms and conditions of the Creative Commons Attribution license (http://creativecommons.org/licenses/by/3.0/).
Share and Cite
Stichel, P.C.; Zakrzewski, W.J. Nonstandard Approach to Gravity for the Dark Sector of the Universe. Entropy 2013, 15, 559-605. https://doi.org/10.3390/e15020559
Stichel PC, Zakrzewski WJ. Nonstandard Approach to Gravity for the Dark Sector of the Universe. Entropy. 2013; 15(2):559-605. https://doi.org/10.3390/e15020559
Chicago/Turabian StyleStichel, Peter C., and Wojtek J. Zakrzewski. 2013. "Nonstandard Approach to Gravity for the Dark Sector of the Universe" Entropy 15, no. 2: 559-605. https://doi.org/10.3390/e15020559
APA StyleStichel, P. C., & Zakrzewski, W. J. (2013). Nonstandard Approach to Gravity for the Dark Sector of the Universe. Entropy, 15(2), 559-605. https://doi.org/10.3390/e15020559
