Effects of Convective Heating on Entropy Generation Rate in a Channel with Permeable Walls
Abstract
:1. Introduction
2. Mathematical Model

3. Entropy Analysis
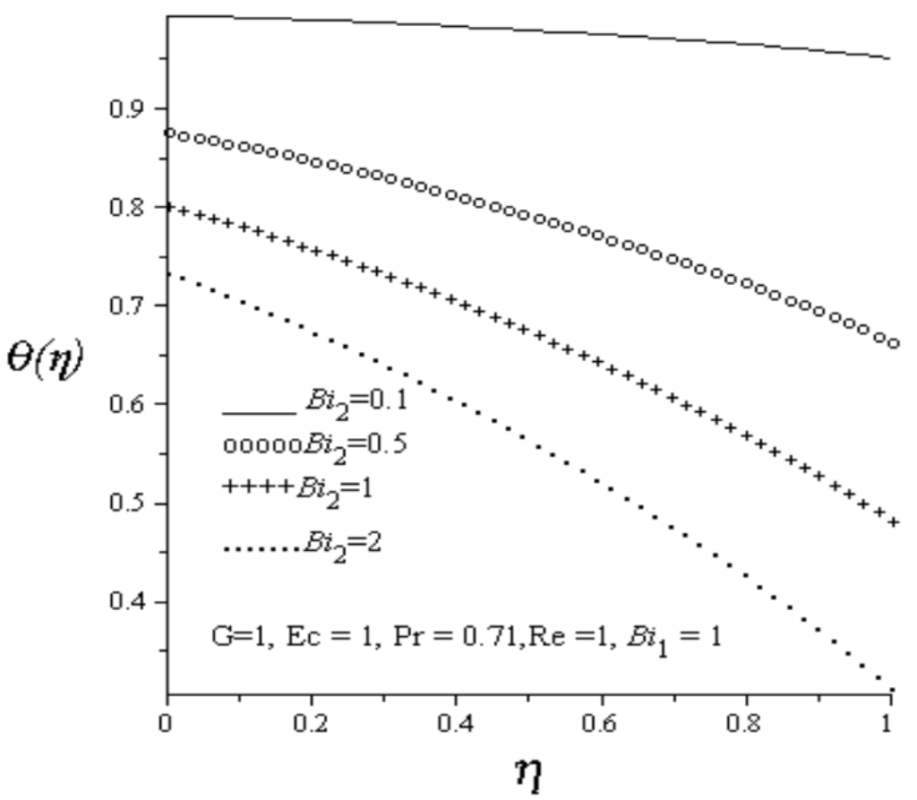
4. Results and Discussion
| η | Exact Solutionw(η) | Numerical Solution w(η) |
|---|---|---|
| 0 | 0 | 0 |
| 0.1 | 0.03879297 | 0.03879297 |
| 0.2 | 0.07114875 | 0.07114875 |
| 0.3 | 0.09639032 | 0.09639032 |
| 0.4 | 0.11376948 | 0.09639032 |
| 0.5 | 0.12245933 | 0.11376948 |
| 0.6 | 0.12154600 | 0.12154600 |
| 0.7 | 0.11001953 | 0.11001953 |
| 0.8 | 0.08676372 | 0.08676372 |
| 0.9 | 0.05054498 | 0.05054498 |
| 1.0 | 0 | 0 |


4.1. Effects of Parameter Variations on Velocity and Temperature Profiles




4.2. Effects of Parameter Variations on Entropy Generation Rate




4.3. Effects of Parameter Variations on Bejan Number




5. Conclusions
- (1)
- The fluid temperature increases with increasing Re, Ec, Bi1, Pr and decreases with increasing values of Bi2.
- (2)
- Entropy generation rate increases with increasing values of Bi1, Bi2, . As Re increases, entropy production decreases at lower wall and increases at the upper wall.
- (3)
- Increase in Bi1, Bi2 enhance dominant effects of heat transfer irreversibility while increase in enhance dominant effects of fluid friction irreversibility.
- (4)
- Increase in Re decrease Bejan number at the lower wall region and increase Bejan number at the upper wall region.
- (5)
- Heat transfer irreversibility dominates the centerline region of the channel.
Nomenclature
Specific heat at a constant pressure | |
Entropy generation due to viscous dissipation | |
Fluid velocity | |
Thermal conductivity | |
Uniform suction/injection velocity | |
Fluid pressure | |
Entropy generation due to heat transfer | |
Temperature | |
Local volumetric rate of entropy generation | |
Bejan number | |
Hot fluid temperature | |
Ambient temperature | |
Temperature at suction wall | |
Temperature at injection wall | |
Channel width. | |
Pressure gradient | |
Reynolds number | |
Prandtl number | |
Brinkman number | |
Eckert number | |
Lower wall Biot number | |
Upper wall Biot number | |
Cartesian coordinates | |
Dimensionless velocity | |
Dimensionless axial coordinate |
Greek symbols
Thermal diffusivity | |
Fluid viscosity | |
Dimensionless temperature | |
Irreversibility ratio | |
Lower heat transfer coefficient | |
Upper heat transfer coefficient | |
Temperature difference | |
Fluid density | |
Dimensionless transverse coordinate |
References
- Merkin, J.H. Natural convection boundary-layer flow on a vertical surface with Newtonian heating. Int. J. Heat Fluid Flow 1992, 15, 392–398. [Google Scholar] [CrossRef]
- Aziz, A. A similarity solution for laminar thermal boundary over a flat plate with a convective boundary condition. Commun. Nonlinear Sci. Numer. Simulat. 2009, 14, 1064–1068. [Google Scholar] [CrossRef]
- Lesnic, D.; Ingham, B.; Pop, I.; Storr, C. Free convection boundary-layer flow above a nearly horizontal surface in a porous medium with Newtonian heating. J. Heat Mass Transfer 2004, 40, 665–672. [Google Scholar] [CrossRef]
- Mebine, P.; Adigio, E.M. Unsteady free convection flow with thermal radiation past a vertical porous plate with Newtonian heating. Turk. J. Phys. 2009, 33, 109–119. [Google Scholar]
- Makinde, O.D. Computational modelling of MHD unsteady flow and heat transfer toward a flat plate with Navier slip and Newtonian heating. Braz. J. Chem. Eng. 2012, 29, 159–166. [Google Scholar] [CrossRef]
- Bejan, A. Second-Law analysis in heat transfer and thermal design. Adv. Heat Transfer 1982, 15, 1–58. [Google Scholar]
- Mahmud, S.; Fraser, R.A. Flow, thermal and entropy generation characteristic inside a porous channel with viscous dissipation. Int. J. Therm. Sci. 2005, 44, 21–32. [Google Scholar] [CrossRef]
- Makinde, O.D.; Osalusi, E. Entropy generation in a liquid film falling along an inclined porous heated plate. Mech. Res. Commun. 2006, 33, 692–698. [Google Scholar] [CrossRef]
- Eegunjobi, A.S.; Makinde, O.D. Combined effect of buoyancy force and Navier slip on entropy generation in a vertical porous channel. Entropy 2012, 14, 1028–1044. [Google Scholar] [CrossRef]
- Chauhan, D.S.; Kumar, V. Heat transfer and entropy generation during compressible fluid flow in a channel partially filled with porous medium. Int. J. Energ. Tech. 2011, 3, 1–10. [Google Scholar]
- Eegunjobi, A.S.; Makinde, O.D. Effects of Navier slip on entropy generation in a porous channel with suction/injection. J. Therm. Sci. Technol. 2012, 7, 522–535. [Google Scholar] [CrossRef]
- Tasnim, S.M.; Mahmud, S.; Mamum, M.A.H. Entropy generation in a porous channel with hydromagetic effect. Int. J. Exergy 2002, 3, 300–308. [Google Scholar] [CrossRef]
- Nachtsheim, P.R.; Swigert, P. Satisfaction of the Asymptotic Boundary Conditions in Numerical Solution of the System of Nonlinear Equations of Boundary Layer Type; National Aeronautics and Space Administration: Washington, DC, USA, 1965; NASA TND-3004. [Google Scholar]
© 2013 by the authors; licensee MDPI, Basel, Switzerland. This article is an open access article distributed under the terms and conditions of the Creative Commons Attribution license (http://creativecommons.org/licenses/by/3.0/).
Share and Cite
Makinde, O.D.; Eegunjobi, A.S. Effects of Convective Heating on Entropy Generation Rate in a Channel with Permeable Walls. Entropy 2013, 15, 220-233. https://doi.org/10.3390/e15010220
Makinde OD, Eegunjobi AS. Effects of Convective Heating on Entropy Generation Rate in a Channel with Permeable Walls. Entropy. 2013; 15(1):220-233. https://doi.org/10.3390/e15010220
Chicago/Turabian StyleMakinde, Oluwole Daniel, and Adetayo Samuel Eegunjobi. 2013. "Effects of Convective Heating on Entropy Generation Rate in a Channel with Permeable Walls" Entropy 15, no. 1: 220-233. https://doi.org/10.3390/e15010220
APA StyleMakinde, O. D., & Eegunjobi, A. S. (2013). Effects of Convective Heating on Entropy Generation Rate in a Channel with Permeable Walls. Entropy, 15(1), 220-233. https://doi.org/10.3390/e15010220
