Informational Entropy of B-ary Trees after a Vertex Cut
Abstract
:1. Introduction
2. Material

3. Method
4. Results
| b | Y | Formula | Comments | 
|---|---|---|---|
| 1 | 1 | 2X0+2X1 | A graph with two vertices and one edge | 
| 1 | >1 | (Y+1)X0+2X(XY-1)/(X-1) | For b=1 tree degenerates in a path | 
| >1 | 1 | (b+1)X0+b(X+Xb) | For Y=1 tree degenerates in a star | 
| b | 2 | (b2+b+1)X0+b(Xb+1+Xb2)+b2(X+Xb2+b) | Powers of X's may be repeated in the series | 
5. Discussion

- ÷
- For a given value of b (ramification degree of the b-ary tree):- ○
- The values of Rényi entropy of order 1 are equal with the values of and Rényi entropy of order 2 for b=1 and 1≤Y≤20.
- ○
- The distribution of D(b,Y), H1(b,Y) and H2(b,Y) follow a similar pattern for b > 2 and 1≤Y≤20.
- ○
- Starting with b=4 the values of D(b,Y), H1(b,Y) and H2(b,Y) become a monotone function with the increases of the number of levels. Very small differences were observed for 7≤b≤20.
- ○
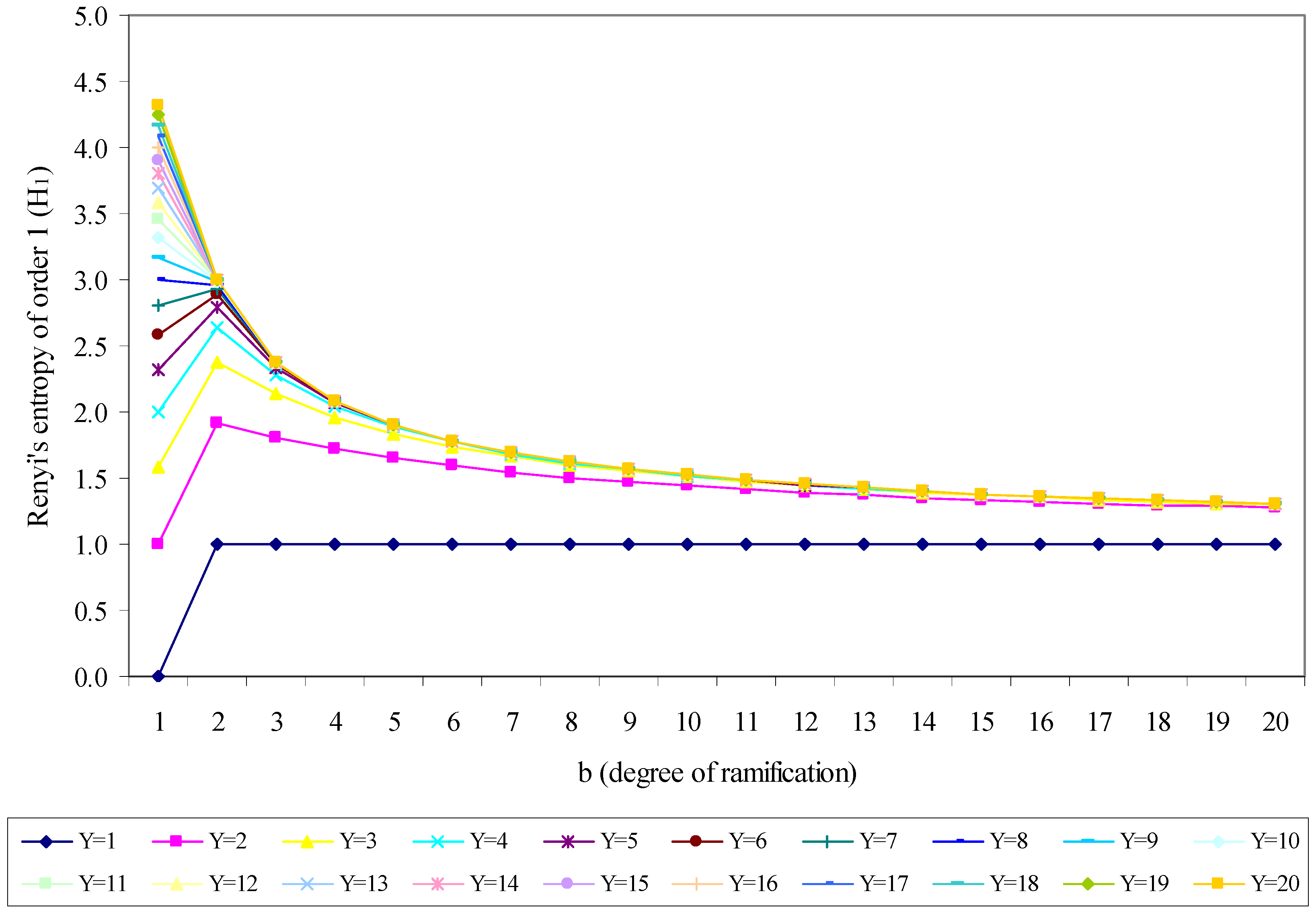
- If the b=1 is excluded from the analysis, the values of D(b,Y) decrease with the increasing of Y while the values of H1(b,Y) and H2(b,Y) increase with increasing of Y (see Figure 3).
 Figure 3. Variation of Simpson's diversity index (D) and Rényi's entropy of order 1 (H1) for a given value of ramification degreeFigure 3. Variation of Simpson's diversity index (D) and Rényi's entropy of order 1 (H1) for a given value of ramification degree- ○
- The maximum value is systematically obtained by b=2 for D(b,Y) and b=20 for H1(b,Y) and H2(b,Y). The D(b,Y) values tend to varied with very small quantities (the differences are not observed at the level of first four decimals) starting with a certain value of Y (D(b,Y): D(2,12), D(3,9), D(4,7), D(5,7), D(6,7), D(7,5), D(8,5), D(9,5), D(10,5), D(≥11,4)). The variation with very small quantities are also observed for H1(b,Y) (H1(2,19); H1(3,12); H1(4,10); H1(5,8); …) and H2(b,Y) (H2(2,18); H2(3,10); H2(4,9); H2(5,8); …).
 
- ÷
- For a given value of Y (number of levels of the b-ary tree):- ○
- For Y=1: the values of D(b,Y) were equal with 0.5 for 2≤b≤20; the values of H1(b,Y) and H2(b,Y) were equal to 1 for 2≤b≤20.
- ○
- The distribution of D(b,Y) follows a certain pattern for b>2 and 1≤Y≤20. A similar pattern is observed for distribution of H1(b,Y) and H2(b,Y).
- ○
- The values of D(b,Y) increase with increases of b while the values of H1(b,Y) and H2(b,Y) decrease with increasing of b after an initial increase (see b>2 and Y>8, Figure 4).
 

| Y | H1 = f(D) | H2 = f(H1) | ||
|---|---|---|---|---|
| Equation | R2 (for 1<b<21) | Equation | R2 (for 1<b<21) | |
| 2 | -4.68∙D2 - 0.17∙D + 2.32 | 0.999904 | 0.77∙H12 - 1.37∙H1 + 1.63 | 0.999860 | 
| 3 | -1.50∙D2 - 3.50∙D + 3.20 | 0.999948 | 0.39∙H12 - 0.45∙H1 + 1.07 | 0.999863 | 
| 4 | 0.82∙D2 - 5.58∙D + 3.66 | 0.999930 | 0.26∙H12 + 0.08∙H1 + 0.81 | 0.999934 | 
| 5 | 2.49∙D2 - 6.94∙D + 3.94 | 0.999855 | 0.19∙H12 + 0.13∙H1 + 0.66 | 0.999947 | 
| 6 | 3.61∙D2 - 7.83∙D + 4.11 | 0.999738 | 0.15∙H12 + 0.25∙H1 + 0.56 | 0.999989 | 
| 7 | 4.32∙D2 - 8.37∙D + 4.22 | 0.999614 | 0.13∙H12 + 0.32∙H1 + 0.51 | 0.999966 | 
| 8 | 4.76∙D2 - 8.71∙D + 4.28 | 0.999511 | 0.12∙H12 + 0.36∙H1 + 0.47 | 0.999936 | 
| 9 | 5.02∙D2 - 8.90∙D + 4.31 | 0.999436 | 0.11∙H12 + 0.38∙H1 + 0.45 | 0.999911 | 
| 10 | 5.17∙D2 - 9.02∙D + 4.34 | 0.999387 | 0.11∙H12 + 0.40∙H1 + 0.44 | 0.999893 | 
| 11 | 5.25∙D2 - 9.08∙D + 4.35 | 0.999357 | 0.10∙H12 + 0.41∙H1 + 0.43 | 0.999882 | 
| 12 | 5.30∙D2 - 9.12∙D + 4.35 | 0.999340 | 0.10∙H12 + 0.41∙H1 + 0.43 | 0.999875 | 
| 13 | 5.33∙D2 - 9.14∙D + 4.36 | 0.999330 | 0.10∙H12 + 0.41∙H1 + 0.43 | 0.999871 | 
| 14 | 5.34∙D2 - 9.15∙D + 4.36 | 0.999324 | 0.10∙H12 + 0.41∙H1 + 0.43 | 0.999868 | 
| 15 | 5.35∙D2 - 9.16∙D + 4.36 | 0.999321 | 0.10∙H12 + 0.42∙H1 + 0.43 | 0.999867 | 
| 16 | 5.36∙D2 - 9.16∙D + 4.36 | 0.999319 | 0.10∙H12 + 0.42∙H1 + 0.42 | 0.999866 | 
| 17 | 5.36∙D2 - 9.16∙D + 4.36 | 0.999318 | 0.10∙H12 + 0.42∙H1 + 0.42 | 0.999866 | 
| 18 | 5.36∙D2 - 9.16∙D + 4.36 | 0.999318 | 0.10∙H12 + 0.42∙H1 + 0.42 | 0.999866 | 
| 19 | 5.36∙D2 - 9.16∙D + 4.36 | 0.999317 | 0.10∙H12 + 0.42∙H1 + 0.42 | 0.999866 | 
| 20 | 5.36∙D2 - 9.16∙D + 4.36 | 0.999317 | 0.10∙H12 + 0.42∙H1 + 0.42 | 0.999866 | 
| coef(D2) = 5.441 - 23.71∙e-Y/2.39 | 0.999 | coef(H12) = 0.1 + 2.9∙e-Y/1.35 | 0.997 | |
| coef(D) = -9.195 + 23.08∙e-Y/2.14 | 0.999 | coef(H1) = 0.4 - 7.47∙e-Y/1.39 | 0.994 | |
| Intercept = 4.361 - 5.92∙e-Y/1.87 | 0.999 | Intercept = 0.43 + 3.7∙e-Y/1.77 | 0.999 | |
- ÷
- Very good relationships in terms of determination coefficient are obtained between Simpson's diversity index and Rényi entropy of order 1, and Rényi entropy of order 1 and 2, respectively.
- ÷
- The relationships are polynomial of second order for both investigated situations ((D(b,Y))- (H1(b,Y)) and (H1(b,Y))-(H2(b,Y)).
- ÷
- The H2(b,Y) = f(H1(b,Y)) obtained slightly better performances in terms of determination coefficients compared with H1(b,Y) = f(D(b,Y)) (the maximum value of R2 = 0.999989 – Y=4 compared with R2 = 0.999948 – Y=3). Moreover, the distribution of the determination coefficient is more narrow for H2(b,Y) = f(H1(b,Y)) (a difference between maximum and minimum of 0.000129) compared to H1(b,Y) = f(D(b,Y)) (a difference between maximum and minimum of 0.000631).

- ÷
- The polynomial of second order dependency of H1(b,Y) by the D(b,Y) revealed to be done by the same equation if the number of decimals are reduced to two for Y ≥ 13.
- ÷
- The polynomial of second order dependency of H2(b,Y) by the H1(b,Y) revealed to be done by the same equation if the number of decimals are reduced to two for Y ≥ 11. Moreover, the determination coefficient of 0.999866 was systematically obtained for Y ≥ 16.
- ÷
- Degree of ramification (b):- ○
- r(H1,H2): the minimum as well as the maximum values of correlation coefficient (expressed as absolute values) increase with increasing of ramification degree. Moreover, a certain pattern of variation could be observed.
- ○
- r(H1,D): the correlation coefficients analysed as absolute value increase with increasing of ramification degree (the range of this variation is wider (0.036699) compared with the narrow variation of r(H1, H2) (0.005394)). The distribution of r(H1,D) follows two patterns according with the value of b (see Figure 7).
 


- ÷
- Number of levels (Y):- ○
- The minimum and maximum value (expressed as absolute values) increase with number of levels for r(H1,H2) as well as for r(H1,D).
- ○
- The maximum value of r(H1,H2) is obtained for T(20,20). The highest correlation coefficient of r(H1,D) was also obtained by T(≥16,20).
- ○
- The absolute values of r(H1,H2) follows a similar pattern for Y≤9 with a slowly decrease until b=6 followed by an increase. For Y>9, the absolute value of correlation coefficients increase with increasing of b.
- ○
- The variation of the r(H1,D) is presented in Figure 8.
 

Conclusions
Acknowledgements
References
- Carrasco, R. C.; Oncina, J.; Calera-Rubio, J. Stochastic inference of regular tree languages. Mach. Learn. 2001, 44, 185–197. [Google Scholar] [CrossRef]
- Hu, Y.; Shi, Z. A subdiffusive behaviour of recurrent random walk in random environment on a regular tree. Probab. Theory. Relat. Fields. 2007, 138, 521–549. [Google Scholar] [CrossRef]
- Calera-Rubio, J.; Carrasco, R. C. Computing the relative entropy between regular tree languages. Inform. Process. Lett. 1998, 68, 283–289. [Google Scholar] [CrossRef]
- Mossel, E.; Peres, Y. Information flow on trees. Ann. Appl. Probab. 2003, 13, 817–844. [Google Scholar]
- Aldous, D. J. Random walk covering of some special trees. J. Math. Anal. Appl. 1991, 157, 271–283. [Google Scholar] [CrossRef]
- Jäntschi, L.; Stoenoiu, C. E.; Bolboacă, S. D. A Formula for Vertex Cuts in b-Trees. Int. J. Pure App. Math. 2008, 47, 17–22. [Google Scholar]
- Estrada, E.; Hatano, N. Statistical-mechanical approach to subgraph centrality in complex networks. Chem. Phys. Lett. 2007, 439, 247–251. [Google Scholar] [CrossRef]
- Shannon, C. E. A Mathematical Theory of Communication. Bell. Syst. Techn. J. 1948, 27, 379-423, 623-656. [Google Scholar] [CrossRef]
- Onicescu, O. Energie informationelle. Compt. Rend. Acad. Sci. Paris Ser. 1966, 263, 841–841. [Google Scholar]
- Simpson, E. H. Measurement of Diversity. Nature 1949, 163, 688–688. [Google Scholar] [CrossRef]
- Bolboacă, S. D.; Pică, E. M.; Cimpoiu, C. V.; Jäntschi, L. Statistical Assessment of Solvent Mixture Models used for Separation of Biological Active Compounds. Molecules 2008, 8, 1617–1639. [Google Scholar] [CrossRef]
- Friedman, W. F. The Index of Coincidence and Its Applications in Cryptography; Riverbanks Publication: Geneva, Switzerland, Illinois, USA, 1922; p. 22. [Google Scholar]
- Gass, F. Solving a Jules Verne Cryptogram. Mathem. Mag. 1986, 59, 3–11. [Google Scholar] [CrossRef]
- Harremoes, P.; Topsoe, F. Inequalities between entropy and index of coincidence derived from information Diagrams. IEEE Trans. Inform. Theory 2001, 47, 2944–2960. [Google Scholar] [CrossRef]
- Rényi, A. On measures of information and entropy. In Proceedings of the 4th Berkeley Symposium on Mathematics, Statistics and Probability; 1961; pp. 547–561. [Google Scholar]
- Jumarie, G. Informational similarity of graphs in syntactic pattern recognition. Pattern Recogn. Lett. 1994, 15, 1177–1181. [Google Scholar] [CrossRef]
- Claps, P.; Fiorentino, M.; Oliveto, G. Informational entropy of fractal river networks. J. Hydrol. 1996, 187, 145–156. [Google Scholar] [CrossRef]
- Masiuk, S.; Rakoczy, R. Kinetic equation of grinding process in mixing of granular material using probability density functions, transient operators and informational entropy. Chem. Eng. Process 2008, 47, 200–208. [Google Scholar] [CrossRef]
- Otwinowski, H. Energy and population balances in comminution process modelling based on the informational entropy. Powder Technol. 2006, 167, 33–44. [Google Scholar] [CrossRef]
- Lin, S-K. Correlation of Entropy with Similarity and Symmetry. J. Chem. Inf. Comput. Sci. 1996, 36, 367–376. [Google Scholar] [CrossRef]
© 2008 by the authors. Licensee Molecular Diversity Preservation International, Basel, Switzerland. This article is an open-access article distributed under the terms and conditions of the Creative Commons Attribution license ( http://creativecommons.org/licenses/by/3.0/).
Share and Cite
Jäntschi, L.; Bolboacă, S.D. Informational Entropy of B-ary Trees after a Vertex Cut. Entropy 2008, 10, 576-588. https://doi.org/10.3390/e10040576
Jäntschi L, Bolboacă SD. Informational Entropy of B-ary Trees after a Vertex Cut. Entropy. 2008; 10(4):576-588. https://doi.org/10.3390/e10040576
Chicago/Turabian StyleJäntschi, Lorentz, and Sorana D. Bolboacă. 2008. "Informational Entropy of B-ary Trees after a Vertex Cut" Entropy 10, no. 4: 576-588. https://doi.org/10.3390/e10040576
APA StyleJäntschi, L., & Bolboacă, S. D. (2008). Informational Entropy of B-ary Trees after a Vertex Cut. Entropy, 10(4), 576-588. https://doi.org/10.3390/e10040576
 
        

 
                         
        
      