Next Article in Journal
The Effects of BOPS Cooperation on Advertising and Pricing Decisions in Omnichannel Retailing
Previous Article in Journal
Exploring the Customer Experience Regarding AI-Powered Fintech Chatbots in Terms of SOR Theory
 
 
Font Type:
Arial Georgia Verdana
Font Size:
Aa Aa Aa
Line Spacing:
Column Width:
Background:
Article

Green Two-Echelon Vehicle Routing Problem with Specialized Vehicle and Occasional Drivers Joint Delivery

School of Economics and Management, Yanshan University, Qinhuangdao 066000, China
*
Author to whom correspondence should be addressed.
J. Theor. Appl. Electron. Commer. Res. 2026, 21(2), 52; https://doi.org/10.3390/jtaer21020052
Submission received: 10 October 2025 / Revised: 11 January 2026 / Accepted: 15 January 2026 / Published: 3 February 2026

Abstract

In the field of logistics distribution, the two-echelon vehicle routing problem has long been a critical focus. Against the backdrop of global warming, enterprises conducting logistics operations must now prioritize not only delivery costs but also the environmental impact of carbon emissions. To address these challenges, this study integrates occasional drivers into the two-echelon vehicle routing framework, centering on carbon emission reduction. First, Affinity Propagation (AP) clustering is applied to assign customer points to transfer centers. Subsequently, an optimization model is formulated to minimize both vehicle routing costs and carbon emission costs through a collaborative delivery system involving specialized and crowdsourced vehicles. An enhanced Sparrow–Whale Optimization Algorithm (S-WOA) is proposed to solve the model. The algorithm is tested against traditional heuristic methods on three datasets of different scales. Experimental results demonstrate that the two-echelon logistics and distribution model combining specialized vehicles and occasional drivers achieves a significant reduction in total delivery costs compared to models relying solely on specialized vehicles. Further analysis reveals that, with a fixed crowdsourced compensation coefficient, increasing the crowdsourced detour coefficient leads to a decline in total delivery costs. Conversely, when the detour coefficient remains constant, raising the compensation coefficient results in an upward trend in total costs. These insights provide actionable strategies for optimizing cost-efficiency and sustainability in logistics operations.

1. Introduction

In recent years, e-commerce has developed rapidly in China. This growth has led to a surge in logistics demand. Consequently, e-commerce companies now face greater pressure to reduce their carbon emissions. In the last-mile delivery scenario of e-commerce, traditional logistics face challenges in balancing efficiency improvements with carbon emission reductions, creating an urgent need to break through the constraints between fulfillment costs, capacity flexibility, and green compliance [1,2]. The two-echelon vehicle routing problem (2E-VRP) describes a specific distribution model. In this model, goods are first transported from a central warehouse to a satellite. They are then delivered from the satellite to the end customers [3]. Although this delivery model has attracted attention, existing research is mostly based on fixed fleets and structured networks, making it difficult to adapt to the growing number of orders and the need for green transformation.
Occasional drivers refers to outsourcing tasks that would typically be performed by company employees to the general public on a voluntary basis. By leveraging the collective intelligence and power of the public, it optimizes the allocation of external resources and reduces company costs [4]. Occasional drivers can enhance fulfillment capacity at a lower cost, offering strong flexibility and fast customer response times, and can combine with urban commuting routes to reduce the need for company vehicle fleets [5,6].
Meanwhile, the flexible supplementation of delivery capacity through crowdsourced logistics provides a novel pathway for the development of green logistics in e-commerce. The Green Vehicle Routing Problem (GVRP) refers to an environmentally friendly solution aimed at reducing energy consumption and pollution, taking into account factors such as vehicle type and speed [7]. GVRP and 2E-VRP have both been extensively studied in theory and algorithms. However, research on integrating crowdsourced capacity into urban green logistics systems remains limited. Specifically, there is still a lack of a mature framework for coordinating proprietary and crowdsourced capacity in multi-agent collaborative optimization. To fill this gap, this study develops a green last-mile delivery routing optimization model that incorporates a crowdsourcing mode. The model aims to improve resource utilization efficiency and lower carbon emissions. It also provides theoretical and practical support for the green transition of e-commerce companies and delivery platforms.
To address the green two-stage vehicle routing problem in crowd-sourced logistics, this paper divides the problem into two stages: determining the allocation of customer points to transfer centers and solving the two-stage vehicle routing problem. In the first stage, the AP clustering method is used to assign customer points to transfer centers. In the second stage, a green two-stage mixed vehicle routing problem is solved. To address this issue, a collaborative Two-Echelon logistics and distribution model involving both specialized vehicles and occasional drivers is proposed, and a green Two-Echelon Vehicle Routing delivery model is constructed under this framework. For solving the second-stage problem, an improved whale optimization algorithm (Sparrow–Whale Optimization Algorithm, S-WOA) is proposed. This two-stage distribution system not only improves logistics efficiency but also helps reduce urban traffic congestion, improve air quality, and lower last-mile delivery costs.
In summary, the contributions of this research are as follows:
(1)
For the urban logistics delivery optimization problem, this study systematically integrates occasional drivers into the two-echelon vehicle routing problem. To respond to this, carbon emissions are included as a key objective in the model, aiming to explore the practical effects of the hybrid delivery mode on reducing both urban logistics delivery costs and carbon emissions within the system.
(2)
A mixed integer linear programming model is established for the two-stage vehicle routing problem, taking into account carbon emissions and the participation of occasional drivers.
(3)
An improved whale optimization algorithm (S-WOA) is proposed to solve the two-stage vehicle routing problem considering carbon emissions and occasional drivers.
(4)
A sensitivity analysis is conducted to explore the impact of different delivery modes and parameter variations on the two-stage vehicle routing problem, providing insights into the issue of carbon emissions and the involvement of occasional drivers in two-stage vehicle routing.
The remainder of this paper is organized as follows: Section 2 discusses the relevant literature. Section 3 provides a description of the two-stage vehicle routing problem considering carbon emissions and crowd-sourced drivers, along with the mixed integer linear programming model. Section 4 describes the proposed S-WOA. Section 5 presents the computational results. Finally, Section 6 concludes the study and provides suggestions for future work.

2. Literature Review

2.1. Two-Echelon Vehicle Routing Problem

Since the vehicle routing problem (VRP) was first proposed by Dantzig and Ramser [8], it has become a core problem in operations research and logistics optimization. Its basic form can be seen as an extension of the traveling salesman problem (TSP), aiming to design the optimal routing plan for multiple vehicles to serve a set of customer locations while satisfying constraints such as capacity and time, in order to optimize objectives like distance, cost, or time [9]. As VRP is an NP-hard problem [10], the complexity of solving it increases significantly as the problem size grows, prompting researchers to continually develop new solution strategies.
In recent years, the growth of e-commerce has led to an increase in freight delivery activities, while the entry of large freight vehicles into cities has caused pollution and traffic congestion. As a result, cities have imposed restrictions on delivery activities. In this context, the application of two-echelon delivery networks has increased. Research on the two-echelon vehicle routing problem (2E-VRP) plays a key role. It helps reduce logistics costs and improve service efficiency. The Two-Echelon Vehicle Routing Problem (2E-VRP) was first systematically proposed by Puel [11] to describe a two-tier logistics structure where goods are delivered from a central warehouse to a transfer station, and then further delivered to customers.
Current research on the Two-Echelon Vehicle Routing Problem (2E-VRP) primarily focuses on constructing and solving multi-level distribution networks to optimize logistics costs and service efficiency. Against the backdrop of e-commerce, Wang et al. [12] proposed a hybrid heuristic algorithm based on an improved non-dominated sorting genetic algorithm (IR-NSGA-III) and three-dimensional k-means clustering to address the two-echelon collaborative multi-depot multi-time-slot vehicle routing problem. Focusing on “last-mile” delivery in B2C e-commerce, Liu et al. [13] tackled the problem of optimizing green logistics paths for traditional trucks and autonomous delivery robots, proposing a clustering-based artificial immune algorithm to solve a mixed-integer programming model aimed at minimizing both cost and emissions. Theeb et al. [14] presented a multi-objective optimization model combining the 2E-VRP with vaccine supply chains (VSC), and designed a greedy random search-based heuristic algorithm to solve this problem. Gutierrez et al. [15] studied the time-dependent two-echelon vehicle routing problem and proposed a two-phase metaheuristic algorithm. Experimental results show that considering time-varying travel times is crucial for enhancing the practical applicability of urban logistics models. Zhou et al. [16] designed a memetic algorithm (MA) incorporating various adaptive operators to solve the two-echelon vehicle routing problem with time dependencies and synchronized pick-up and delivery functions. Xu et al. [17] focused on the e-commerce community group-buying scenario. They studied the two-echelon vehicle routing problem with dual satisfaction objectives, considering both time windows and freshness. To solve this problem, they proposed an adaptive genetic hyper-heuristic algorithm combined with k-means clustering. Dahimi et al. [18] investigated a dual-echelon vehicle routing problem in e-commerce contexts. This problem involves multiple commodities, multiple warehouses, and mobile satellites, termed 3M-2E-VRP. For its solution, they introduced an innovative metaheuristic algorithm. This algorithm integrates approximate scheduling with large-scale neighborhood search.
Nevertheless, existing research on the 2E-VRP still primarily relies on professional fleets and traditional distribution structures, without systematically considering the hybrid delivery mode that combines professional vehicles with crowd-sourced drivers. Moreover, the integration of green objectives has not been fully addressed; this gap provides a research opportunity for this paper, which introduces a hybrid delivery mode of professional vehicles and crowd-sourced drivers along with carbon emission constraints.
In recent years, with the increasing emphasis on sustainable development, VRP research has gradually incorporated environmental factors, leading to the emergence of the green vehicle routing problem (GVRP) as a significant subfield. Scholars have mainly approached this from two angles: one by introducing carbon emission costs, and the other by considering fuel consumption.
Abad et al. [19] proposed a multi-objective mathematical programming model that seeks to minimize both total costs and fuel consumption. Androutsopoulos and Zografos [20] developed and solved a dual-objective time-dependent vehicle routing problem with load and path dependencies for freight transportation in e-commerce logistics. Rohmer et al. [21] investigated the two-echelon inventory-routing problem for perishable goods in e-commerce platforms, modeling it as a mixed-integer linear programming problem and designing a hybrid ALNS algorithm for solving it. Wang et al. [22] proposed an adaptive genetic algorithm to solve the green multi-vehicle 2E-VRP with time windows. Liu and Liao [23] studied the two-echelon collaborative garbage collection vehicle routing problem, constructing an optimization model that minimizes both total costs and carbon emissions, and designed a three-stage heuristic algorithm to solve it. Sherif et al. [24] proposed a simulated annealing algorithm (SAA) that combines a mixed-integer nonlinear programming model with an exchange neighborhood search method to address the two-echelon green supply chain network optimization problem in the battery manufacturing industry. Guo Ning et al. [25] proposed a mathematical model for the green two-echelon multi-period vehicle routing problem with flexible time windows and developed a hybrid K-means clustering and ant colony optimization algorithm with time window constraints. Liao et al. [26] proposed a multi-objective evolutionary algorithm (MEAE1C) combined with a nighttime light data regression model to address the vehicle routing problem with stochastic demand in waste collection and transportation (VRPSD). To address the issues of limited service scope, unreasonable allocation, and tight time windows in the food delivery process, Lu et al. [27] proposed a collaborative delivery model involving multiple distribution centers. This approach employs drones and riders for long-distance orders, while utilizing occasional drivers for long-distance deliveries and some short-range orders.

2.2. Crowdsourced Vehicle Routing Problem

With the rapid development of the sharing economy and digital platforms, occasional drivers have gradually been introduced into the logistics delivery field, particularly focusing on the crucial last-mile delivery segment. The inclusion of occasional drivers brings multiple benefits to both customers and logistics service providers, including economic, social, and environmental advantages. However, it also introduces new challenges. Archetti et al. [28] were the first to propose integrating crowdsourced couriers into the classic capacity-constrained vehicle routing problem, which is known as the Vehicle Routing Problem with On-Demand Couriers (VRPOD). Breunig et al. [29] focused on e-commerce and urban distribution, investigating the two-echelon vehicle routing problem and the two-echelon electric vehicle routing problem, proposing a heuristic algorithm based on large neighborhood search (LNS) for solving it. Macrina et al. [30] within the context of e-commerce logistics enterprises, extended the VRPOD by considering three new factors: (1) both customers and couriers have preferred time windows; (2) each crowdsourced courier is allowed to make multiple trips; and (3) couriers can perform parcel splitting deliveries. This more comprehensive approach aims to improve the efficiency of crowdsourced delivery. Later, Sampaio et al. [31] introduced the idea of adding alternative pick-up points (also known as transshipment points) to shorten the travel distance for crowdsourced couriers, benefiting companies operating in congested transportation systems.
Enthoven et al. [32] considered the introduction of a two-stage vehicle routing problem for last-mile urban deliveries in e-commerce, where customers can either receive home delivery or pick up goods from a pick-up point, and conducted a cost analysis for the different delivery options. Vincent et al. [33] addressed a new variant of the vehicle routing problem in the context of e-commerce, called the two-echelon vehicle routing problem with time windows, coverage options, and occasional drivers, and proposed an effective ALNS algorithm to solve it. Zhou et al. [34] introduced a two-echelon vehicle routing problem with direct deliveries and access time windows in urban logistics, presenting a new mixed-integer linear programming (MILP) model. Yağmur et al. [35] developed two metaheuristic solution methods, the memetic algorithm (MA) and the simulated annealing algorithm (SA), to address the last-mile joint delivery route optimization problem based on parcel lockers and crowd-sourced couriers. Nguyen et al. [36] proposed a hierarchical heuristic algorithm combining K-means clustering and variable neighborhood search to solve the path optimization problem (CSPTW-TN-DO) in e-commerce crowd-sourced logistics, which involves time windows, transshipment nodes, and multiple delivery options. Lu et al. [37] were the first to introduce the crowdsourcing mode into the field of truck road freight transportation. They developed a bi-objective green vehicle routing problem model that considers joint delivery by heterogeneous regular vehicles and occasional drivers, aiming to minimize both transportation costs and carbon emissions. The model was solved using an improved NSGA-II algorithm, and its effectiveness in reducing total costs and greenhouse gas emissions through crowdsourced joint delivery was validated based on Walmart instances.

2.3. Summary of the Current Research Status

Current academic research on the classic VRP has been well-established, and there is growing interest in the two-echelon vehicle routing problem (2E-VRP). However, recent studies focus on addressing the shortcomings of existing algorithms in solving VRPs in complex environments, improving or adding new strategies to tackle these issues. Customer demands are becoming increasingly diverse. Urban logistics also faces new requirements, such as carbon reduction, pollution control, and green expansion. Existing research on the two-echelon vehicle routing problem (2E-VRP) still struggles to address these emerging needs. Regarding the crowdsourcing model, scholars have made significant contributions to its theoretical development and practical applications. However, few studies have integrated the crowdsourcing model into the two-echelon vehicle routing problem. Therefore, by integrating specialized vehicles with occasional drivers and considering multi-objective optimization, these practical requirements can be better met. This study aims to optimize delivery routes for both specialized vehicles and occasional drivers. The goals are to reduce delivery costs, minimize delivery time, and enhance delivery efficiency. Additionally, by considering factors such as carbon emissions and fuel consumption, the study seeks to support environmental sustainability and green development.

3. Problem Description and Formulation

3.1. Description

In the context of e-commerce logistics, logistics providers establish depots to deliver goods to end customers. Between the depots and customer, there are satellite The depot must deliver goods to customers via the satellite. The depot uses trucks to transport goods to the satellite points, while occasional drivers and specialized vehicles depart from the satellites to deliver the goods to the respective customer locations. The demand and service time windows of customers are known. The delivery vehicles’ travel speeds during different time periods are calculated based on their average speed. The objective is to minimize the total delivery cost and carbon emission cost, while satisfying customer requirements and various constraints. The delivery process is illustrated in Figure 1.

3.2. Formulation

We define G = ( V , A ) on an undirected graph, where V represents the set of vertices and A represents the set of edges. The vertex set V consists of the origin depot O , the satellite locations S , the customer locations C , the crowdsource vehicle start points D , the set of warehouse locations V O , the set of satellite locations V S , the set of customer locations V C , and the set of occasional drivers destination locations V D . The vehicle set K consists of the truck set K T , the specialized vehicle set K P , and the occasional vehicle set K D .
Based on the above, this paper makes the following assumptions:
(1)
Trucks are responsible for delivering packages from the warehouse to the satellite points.
(2)
Occasional drivers and specialized vehicles are responsible for delivering packages from the satellite points to the customer locations.
(3)
Occasional drivers can make multiple deliveries.
(4)
All types of vehicles travel at a constant speed while delivering packages.
The parameters are described as follows:
A.
The parameter defined are shown in Table 1.
B.
The decision variables are shown in Table 2.

3.2.1. Vehicle Carbon Emission Cost Function

The vehicle carbon emission cost in this paper considers both the fuel consumption cost and the environmental pollution cost caused by carbon emissions. The fuel consumption cost of the vehicle is calculated using the load estimation method, where the fuel consumption per unit distance changes linearly with the vehicle’s load. It is assumed that for stage two, the full-load fuel consumption per unit distance for specialized vehicle k and occasional driver o are ρ k α and ρ o α , respectively, and the empty-load fuel consumption per unit distance for specialized vehicle k and occasional drivers o are ρ k β and ρ o β , respectively. When the cargo load is L , the fuel consumption per unit distance for specialized vehicle k and occasional driver o are as follows:
ρ k ( L ) = L Q k ( ρ k α ρ k β ) + ρ k β
ρ o ( L ) = L Q o ( ρ o α ρ o β ) + ρ o α
The fuel consumption for the entire delivery process when the specialized vehicle completes the delivery service is given by the following formula:
ρ k = k i , j y i j k ρ k ( L i j ) d i j
Similarly, the fuel consumption for the entire delivery process when the occasional driver completes the delivery service is given by the following formula:
ρ o = k i , j o i j k ρ k ( L i j ) d i j
where ρ K ( L i j ) is the fuel consumption per unit distance of the specialized vehicle with load L i j traveling from point i to point j , ρ o ( L i j ) is the fuel consumption per unit distance of the occasional driver with load L i j traveling from point i to point j , and d i j is the distance from point i to point j .
According to the study by Ottmar [38], the vehicle’s carbon emissions are linearly related to its fuel consumption. Therefore, this paper uses fuel consumption to represent the vehicle’s carbon emissions. Here, σ is the emission coefficient, and γ is the carbon tax. The environmental pollution cost is as follows:
Z 2 = σ ( ρ k + ρ o ) + γ λ ( ρ k + ρ o ) = ( σ + γ λ ) ( ρ k + ρ o )

3.2.2. Time Window Penalty Cost Function

Maximum customer satisfaction is achieved when arriving at the customer location within the specified time window [ e i , l i ] , with a penalty cost of 0. If the delivery is made earlier than the window e i , the vehicle will incur a waiting cost θ 1 , and the penalty cost decreases as time increases. If the delivery is delayed beyond the time window l i , the vehicle will incur a tardiness cost θ 2 , and the penalty cost increases as time increases. Therefore, the time window penalty cost function is as follows:
C ( t j ) = θ 1 ( e j t j ) , t j < e j             0             , e j t j l j θ 2 ( t j l j ) , t j > l j
where t i j is the time at which the second-phase specialized vehicle or occasional driver arrives at the customer point j . θ 1 and θ 2 are the penalty coefficients for early arrival and late arrival, respectively.
t j = y i j k t j 2 p + o i j k t j 2 o , i V S V C , j V C , k K P K D
Here, t j 2 p represents the time for the second-phase specialized vehicle to arrive at customer point j , and t j 2 o represents the time for the second-phase occasional driver to arrive at customer point j :
t j 2 p = t i k + k K P t i j 2 p y i j k , i , j V S V C , i j
t j 2 o = t i k + k K D t i j 2 o o i j k , i , j V S V C , i j
Here, t i k e represents the total time for first-echelon truck k to reach satellite point i , t i j 2 p represents the time for second-echelon s p to travel from point i to point j , and t i j 2 o represents the time for second-echelon occasional drivers to travel from point i to point j :
t i k = t i k + a i k , i V O V S , k K T
t i j 2 p = d i j v 2 p , i , j V S V C , i j
t i j 2 o = d i j v 2 o , i , j V S V C , i j

3.2.3. Model Construction

Based on the above description, a green two-echelon vehicle routing model based on the crowdsourcing mode is constructed, with the objective function being the minimization of the sum of the total delivery cost, vehicle carbon emission cost, and penalty cost for violating time windows.
Objective Function:
Z 1 = i V L V S j V L V S k K T c 1 d i j x i j k + i V S V C j V S V C k K P c 2 p d i j y i j k + i V S V C j V S V C k K D c 2 o d i j o i j k + k K T f 1 x ijk + k K P f 2 y i j k
Z 2 = σ ( ρ k + ρ o ) + γ λ ( ρ k + ρ o ) = ( σ + γ λ ) ( ρ k + ρ o )
Z 3 = j V C C ( t j )
Z = Z 1 + Z 2 + Z 3
Constraints:
i V L V S , j i x i j k = j V L V S , j i x j i k , i V L , k K T
j V L V S , j i k K T x i j k m 1 , i V L V S
i V L V S j V L V S w i j k 1 Q 1 , i j , k K T
w i j k 1 w i j k 1 q i 1 + M ( 1 x i j k ) , i , j V L V S , i j , k K T
j V S V C , j i k K P y i j k m 2 p , i V S V C
j V S V C , j i k K D o i j k m 2 o , i V S V C
i V S V C j V S V C w i j k 2 p Q 2 p , i j , k K P
i V S V C j V S V C w i j k 2 o Q 2 o , i j , k K D
i V O V S , i j k K T w i j k 1 x i j k = i V S q i 1 , i , j V
i V S q i 1 = j V S V C , i j k K P w i j k 2 p y i j k + j V S V C , i j k K D w i j k 2 o o i j k
j V S V C , k K P w i j k 2 p y i j k + j V S V C k K D w i j k 2 o o i j k = i V C q i 2 , i j
j V C , j i y i j k = j V C , j i y j i k , i V S , k K P
d i j r , i V S , j V C
i V S V C k K P y i j k + i V S V C k K D o i j k = 1 , j V C , i j
i V S V C j V S V C d i j o i j k + d j p k R i p k ( 1 + λ ) , i j , k K D , p V D
w i j k 1 w i j k 1 q i 1 + M 1 x i j k , i , j V D V S , i j , k K T
w i j k 2 p w i j k 2 p q i 2 + M 1 y i j k , i , j V S V C , i j , k K P , p V D
w i j k 2 o w i j k 2 o q i 2 + M 1 o i j k , i , j V S V C , i j , k K D , p V D
t j t i + t i j 2 p y i j k + t i j 2 o o i j k + M ( 1 y i j k o i j k ) , i , j V S V C , i j , k K
Equation (17) represents that the truck returns to the starting point after completing the delivery in the first phase. Equation (18) represents that the number of vehicles used for delivery in the first phase cannot exceed the maximum number of trucks that can be scheduled. Equation (19) represents that the total weight of the packages carried by the truck cannot exceed its maximum load capacity. Equation (20) represents the flow constraint during the truck’s delivery process. Equations (21) and (22) represent that the number of vehicles used for delivery in the second phase cannot exceed the maximum number of specialized vehicles and occasional drivers that can be scheduled. Equations (23) and (24) represent that the total weight of the packages carried by the specialized vehicles and occasional drivers in the second phase cannot exceed their respective maximum load capacities. Equations (25)–(27) represent the conservation of cargo flow in the distribution network. Equation (28) represents that the specialized vehicles in the second phase return to the starting point after completing their deliveries. Equation (29) represents that only customers within the coverage area of the transfer points can receive the packages. Equation (30) represents that each customer point can only be visited once. Equation (31) represents that occasional drivers will only deliver packages if the detour distance condition is satisfied. Equation (32) represents the elimination of sub-cycles in the truck’s delivery process in the first phase. Equations (33) and (34) represent the elimination of sub-cycles in the delivery process in the second phase. Equation (35) represents the time constraint for the delivery process.

4. Sparrow–Whale Optimization Algorithm

To solve the proposed bi-objective optimization model, this paper follows the common approach in most research in this field, using the weighted sum method to transform the bi-objective problem into a single-objective problem for solution. For the solution algorithm, a hybrid heuristic method, the Sparrow–Whale Optimization Algorithm (S-WOA), is designed by integrating the sparrow search mechanism [39] with the whale optimization algorithm [40,41], aiming to enhance overall solution performance.
The selection and improvement of the algorithm are motivated by preliminary experimental comparisons. These comparisons show that the standard whale optimization algorithm demonstrates strong local search capability. However, it also reveals limitations in global exploration. Specifically, it tends to become trapped in local optima when solving the problem addressed in this study. To overcome this issue, this paper introduces the group division mechanism from the sparrow search algorithm. The purpose of this enhancement is to strengthen the algorithm’s global exploration ability during the early stages. This step also provides a higher-quality initial population for subsequent local fine-tuning searches.

4.1. Chromosome Encoding and Decoding

The chromosome encoding in this algorithm uses positive integer encoding. The encoding is divided into two stages for the problem being solved. In the first stage, trucks transport goods from the distribution center to satellites. The length of the chromosome in this stage is the total number of vehicles and satellites minus one. In the second stage, crowd-sourced vehicles or professional vehicles depart from the satellites to deliver orders to customer locations. The length of the chromosome in this stage is the sum of the number of crowd-sourced vehicles, professional vehicles, customer points at the satellite, and crowd-sourced destinations. Different chromosomes represent different delivery plans.
The decoding method in the second stage differs from that in the first stage. The second stage employs strong constraints, requiring that the travel distance of crowd-sourced vehicles must meet the detour distance; otherwise, no delivery will occur. Additionally, there is a strong constraint on professional vehicles, ensuring that the total weight of goods transported does not exceed the vehicle’s capacity. If the total weight exceeds this limit, no delivery will occur.
For example, in a problem with 2 satellites and 10 customer points, given a first-stage chromosome of {3, 1, 2} and second-stage chromosomes for satellite 1 and 2 as {1, 2, 3, 5, 4, 6, 9, 10, 8, 7, 11, 12} and {2, 1, 5, 3, 4, 10, 7, 6, 8, 9, 12, 11, respectively, the decoded delivery plan can be summarized as follows: Truck 2 delivers goods to both satellites. From Satellite 1, customers 1, 5, 7, 4, and 3 will be served in sequence; from Satellite 2, customers 10, 6, 2, 8, and 9 will be served in sequence.
A delivery route diagram is shown in Figure 2.

4.2. Global Search Operation

The core design of the S-WOA is as follows: Inspired by the producer–follower–explorer model in the sparrow search algorithm, this approach divides the whale population individuals into different roles. Among them, most individuals are designated as “producers”, responsible for extensively exploring the solution space. The remaining individuals are assigned as “followers”, who leverage the information provided by the producers to further develop the search process. Additionally, 10–20% of the individuals are randomly selected as “explorers”, continuously monitoring environmental risks, and when necessary, guiding the population to escape local optima.
The position update formula for producers is as follows:
X i , j t + 1 = X i , j t · exp i α i t e r max i f       R 2 < S T X i , j t + Q · L i f       R 2 S T
Here, t represents the current iteration number, t = 1 , 2 , 3 . X i , j t denotes the value of the j -th row of the i -th chromosome at iteration t . i t e r max is the number of iterations. α ( 0 , 1 ) is a random number. R 2 ( R 2 [ 0 , 1 ] ) and S T ( S T [ 0.5 , 1 ] ) represent the alarm value and the safety threshold, respectively. Q is a random number following a normal distribution. L represents a matrix filled entirely with ones.
The position update formula for followers is as follows:
X i , j t + 1 = Q · exp X w o r s t t X i , j t i 2                             i f               i > n / 2 X p t + 1 + X i , j t X p t + 1 · A · L                   i f             o t h e r w i s e
A = A T ( A A T ) 1
Here, X P represents the best individual in the initial population. X w o r s t denotes the worst individual in the initial population. A represents a random number between −1 and 1.
The update formula for discoverers is as follows:
X i , j t + 1 = X b e s t t + β · X i , j t X b e s t t                                 i f               f i > f g X i , j t + K · ( X i , j t X w o r s t t ( f i f w ) + ε )                   i f               f i = f g
Here, β is a random number following the standard normal distribution (with a mean of 0 and a standard deviation of 1), K [ 1 , 1 ] is a random number, f i denotes the fitness of the current individual, f g represents the best fitness in the population, and f w denotes the worst fitness in the population.
After the population changes, in order to ensure normal decoding operations, an integer normalization process is applied to the chromosomes. The changed chromosomes are sorted, and the serial number corresponding to each position of the chromosome is recorded. Finally, these serial numbers are used to replace the corresponding positions in the chromosomes.

4.3. Algorithm Flow

The steps of Sparrow–Whale Optimization Algorithm (S-WOA) are as follows:
Step 1: Initialization. Initialize the vehicle-related parameters, including cargo capacity, fuel consumption per unit distance, cost per unit distance, and fixed vehicle usage costs, etc. Set the population size, algorithm parameters, and maximum number of iterations. Generate the initial population.
Step 2: Population Evaluation and Role Division. Evaluate the fitness of the initial population based on Equations (13)–(15) and rank the individuals accordingly. Select the individuals with better fitness as producers, according to the predefined producer ratio, and record f g , f w and the producer individuals.
Step 3: Record Current Status. Record the current population, best solution, best individual, worst solution, and worst individual.
Step 4: Iterative Optimization. Set the maximum number of iterations max g e n , and the current iteration number g e n = 1 . Enter the loop structure:
Step 4.1: Parameter Generation. Randomly generate the warning value S T for the current iteration and the explorer ratio S D i .
Step 4.2: Producer Update. Generate a random number R 2 [ 0 , 1 ] and update the producer’s position according to Equation (36). The new individual is then normalized. If the new individual’s fitness is better than the original one, replace the original individual; otherwise, keep the original individual.
Step 4.3: Follower Update. Update the follower’s individual based on Equation (37), normalize the new position, and compare the fitness of the new and old individuals. Retain the individual with better fitness.
Step 4.4: Explorer Update. Randomly select a proportion of individuals to act as explorers. Update their positions according to Equation (38) and normalize their positions. Retain the better individuals.
Step 4.5: Local Search. Perform a local search operation on the updated population P2.
Step 4.6: Record Update. Re-identify and record the best solution, best individual, worst solution, and worst individual in the updated population.
Step 5: Termination Check. If g e n max g e n , then g e n = g e n + 1 ; set P 2 as the initial population for the next generation and return to Step 4.1. If the termination condition is met, proceed to Step 6.
Step 6: Output Results. Output the global best solution, and the algorithm ends.
The flowchart of the algorithm is shown in Figure 3.

5. Experiments and Analysis

This section evaluates the performance of the improved S-WOA and the feasibility of the collaborative delivery model through extensive computational experiments. The dataset and the parameter settings of the S-WOA algorithm are described, and the experimental results are discussed.

5.1. Data and Parameter Settings

In the computational experiments, the dataset used in this study is an adaptive adjustment of the widely used two-level vehicle routing problem benchmark dataset in the industry. The original dataset contains six series from set1 to set6, and this study selects three series: set2, set3, and set5, totaling 18 instances, to cover different problem sizes. To systematically validate the performance of the improved algorithm in different scenarios, the selected instances are divided into three size levels: Scale I: (1 distribution center—2 or 4 transfer centers—50 customer points), Scale II: (1 distribution center—5 or 10 transfer centers—100 customer points), Scale III: (1 distribution center—10 transfer centers—200 customer points).
Regarding parameter settings, this study first determines the initial range of the parameters based on the relevant literature, and then further optimizes the range through trial and error to arrive at the optimal parameter combination. The specific parameter values are shown in Table 3.
The remaining part of this section presents experiments conducted using the S-WOA and other heuristic algorithms at different scales, based on the parameters mentioned above. All algorithms in this paper were written in MATLAB R2020b, and all experiments were tested on a machine with 8 GB RAM and an Intel Core i5-8265U CPU, 1.80 GHz processor.

5.2. Algorithm Comparison and Analysis

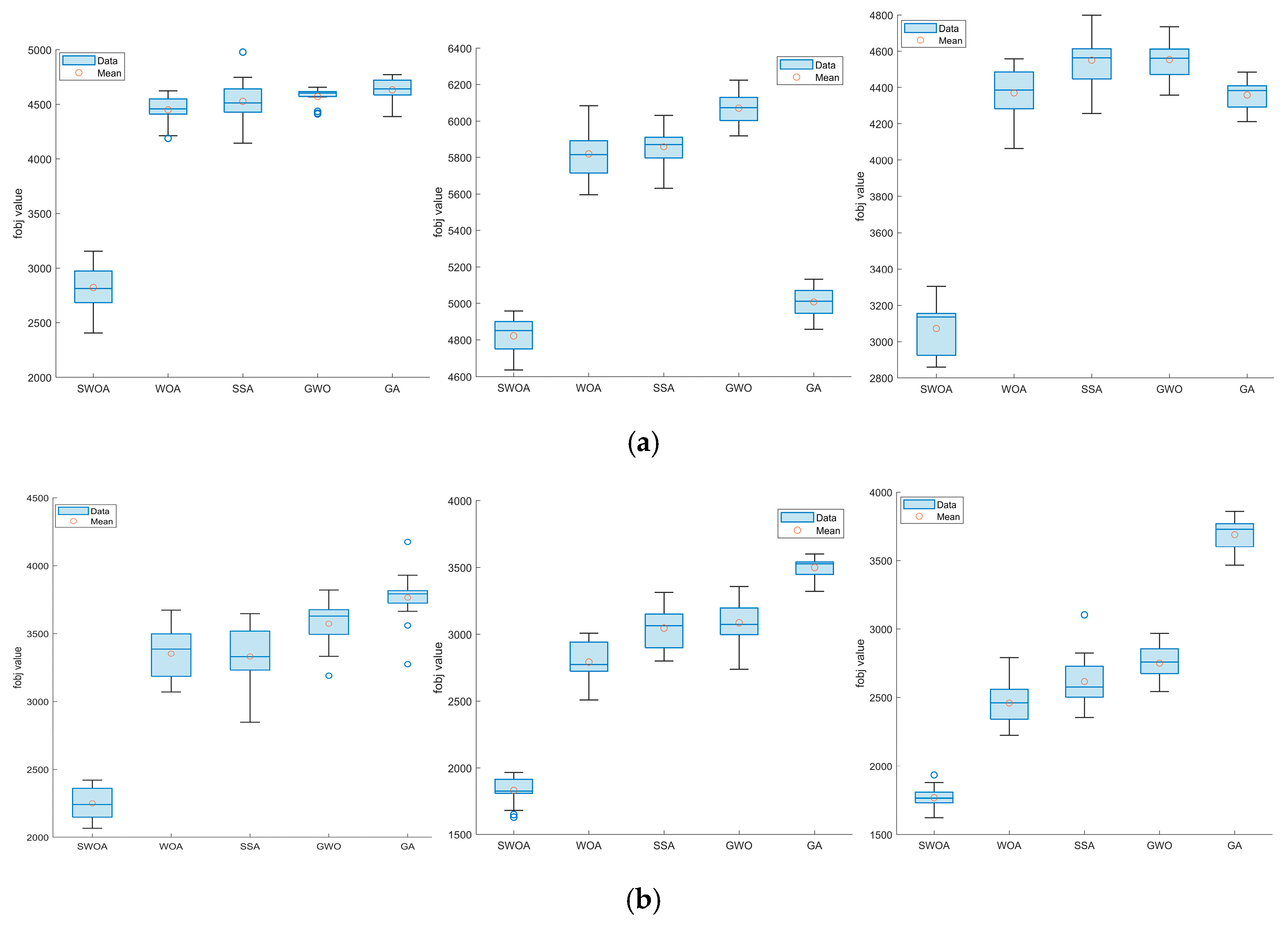
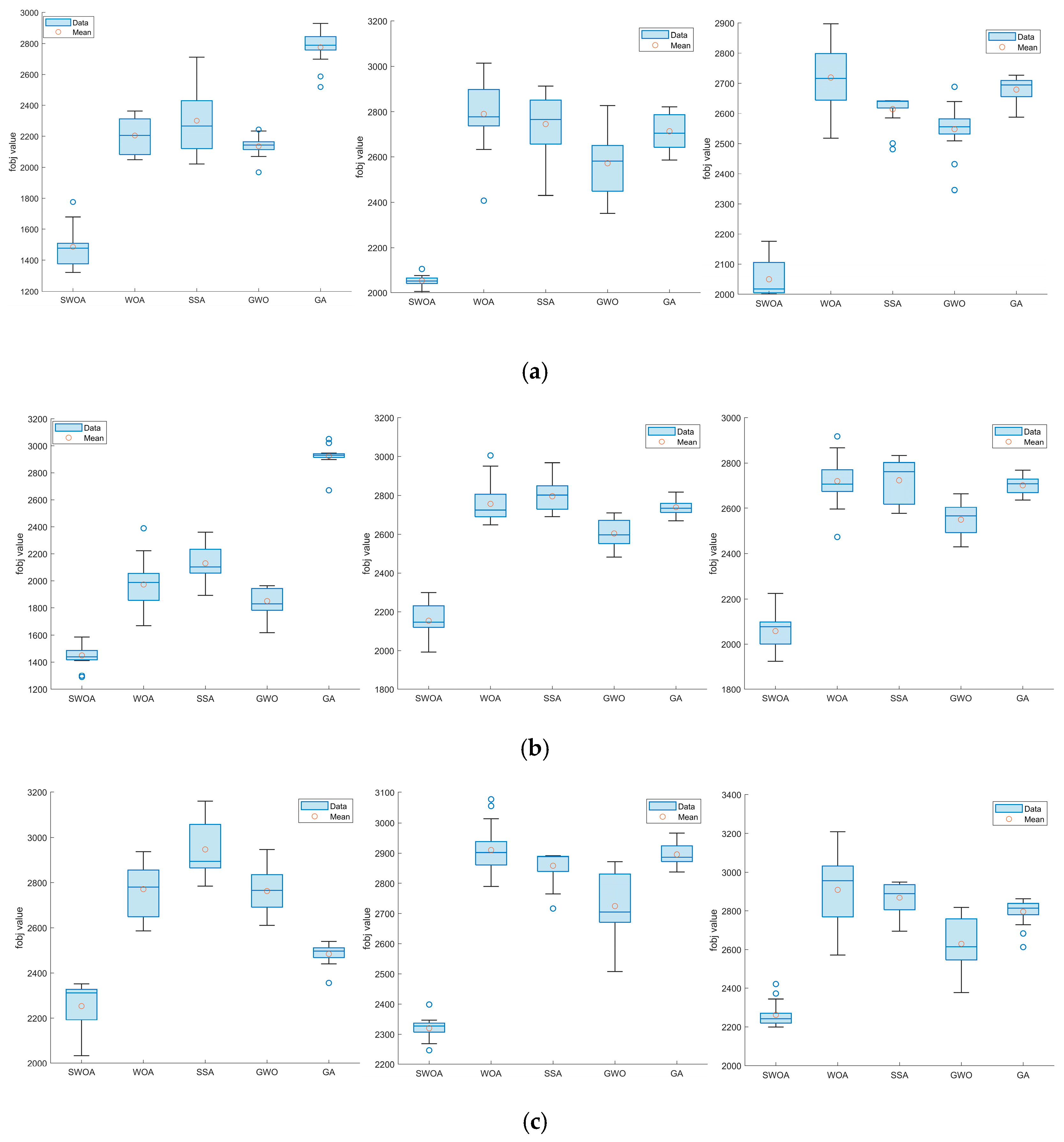
In the testing experiments, this paper first obtains the customer point sets for each transfer center through AP clustering. The improved Whale Optimization Algorithm (S-WOA), Whale Optimization Algorithm (WOA), Grey Wolf Optimization Algorithm (GWO), Sparrow Search Algorithm (SSA), and Genetic Algorithm (GA) are then used to solve the two-level hybrid vehicle routing problem in the crowdsourcing mode. For each test case, the algorithms are run 30 times. Table 4, Table 5, Table 6, Table 7, Table 8 and Table 9 present the comparison results for all test cases, and Figure 4, Figure 5 and Figure 6 show the numerical comparison results after running each algorithm 30 times. Figure 7 show the algorithm iteration diagram for Example I, II, III. The comparison includes the best solution, the worst solution, the average of the 30 solutions, the standard deviation, and the average solution time over 30 runs. Here, ”best” represents the optimal solution, “worst” represents the worst solution, “ave” represents the average value, “SD” represents the standard deviation, and “time” represents the time.
In the comparative experiments on Dataset I, the proposed S-WOA comprehensively outperforms the WOA, SSA, GWO, and GA algorithms in terms of the best, worst, and average solutions. Specifically, the results of S-WOA are significantly better than those of all the compared algorithms, with relative improvements exceeding 18% over the baseline performance, and it demonstrates better stability in most cases. Although the solving time of S-WOA is slightly longer than that of WOA and GWO, it remains within an acceptable range overall.
In Dataset II, S-WOA continues to maintain a comprehensive leading position: its best, worst, and average solutions are all superior to those of the compared algorithms, with relative improvements exceeding 20%, while also exhibiting better stability in most instances. The solving time of S-WOA remains slightly higher than that of WOA and GWO, but compared to SSA and GA, the time performance is within a reasonable range.
In the experiments on Dataset III, S-WOA similarly performs the best across all solution quality metrics: its best, worst, and average solutions outperform all the compared algorithms, with relative improvements exceeding 23%, and it demonstrates good robustness. Consistent with the previous results, its running time is slightly longer than that of WOA and GWO, which is primarily due to the enhancement mechanisms introduced in the algorithm.
In summary, S-WOA consistently and significantly improves solution accuracy and stability across all three datasets. Although the computational time increases slightly, its notable advancements in core performance metrics make it a more competitive solution.

5.3. Mode Comparison Analysis

This study validates the superiority of the proposed collaborative two-echelon logistics and distribution model. This model involves both specialized vehicles and occasional drivers. Its performance is compared with a conventional two-echelon model that uses only specialized vehicles. To conduct this comparison, we solve the aforementioned 18 datasets. The corresponding results are provided in Table 10. The iteration diagram for the representative test case is presented in Figure 8, where C represents the two-echelon logistics and distribution model with collaboration between specialized vehicles and crowdsourced drivers, and S represents the two-echelon logistics and distribution model using only specialized vehicles.
The experimental results show that, for the same instance, compared to the traditional two-echelon logistics and distribution model with specialized vehicles, the two-echelon logistics and distribution model with collaboration between specialized vehicles and occasional drivers performs better in both vehicle path costs and carbon emission costs. This validates the comprehensive advantages of the hybrid delivery mode in terms of both economic and environmental benefits.

5.4. Instance Analysis

To objectively evaluate the performance of the improved Whale Optimization Algorithm in a real-world environment, a small-scale practical application case was introduced for testing. The algorithm was run 30 times, and the average value was taken as the test result. The case comes from a company in China, where the delivery process starts from a depot, with 3 satellite at the first- echelon and a total of 56 customer points at the second level. The test results are shown in Table 11, and the algorithm iteration diagram is shown in Figure 9.
Based on practical application cases, the two-echelon logistics and distribution model with collaboration between specialized vehicles and occasional drivers effectively reduces both operational and carbon emission costs. The model fully utilizes the flexibility of crowdsourced transportation capacity, not only reducing fleet vehicle route costs but also significantly cutting carbon emissions due to more efficient transportation routes.

5.5. Sensitivity Analysis

To make the proposed management recommendations more accurate and targeted, a sensitivity analysis was conducted on the crowdsourcing detour coefficient and crowdsourcing compensation coefficients used in the model. The dataset used is from the two-level vehicle routing dataset set5 series, specifically the dataset of 5 transfer centers and 100 customer points. Table 12 demonstrates the impact of different crowdsourcing detour coefficients on the number of vehicles used, total costs, and carbon emission costs. “Ave” represents the average total cost after 10 runs, while “carbon” represents the average carbon emission cost after 10 runs. Figure 10a,b show the number of vehicles and cost graphs under different crowdsourcing detour coefficients, with 5 scenarios generated for detour coefficients ranging from 1.1 to 1.5. Table 13 shows the impact of different crowdsourcing compensation coefficients on the number of vehicles used, total costs, and carbon emission costs. Figure 11a,b display the number of vehicles and cost graphs under different crowdsourcing compensation coefficients, with 5 scenarios generated for compensation factors ranging from 1.6 to 2. Here, T represents trucks, S specialized vehicles, and C represents crowdsourced vehicles.
Sensitivity analysis regarding the crowdsourcing detour coefficient is presented in Table 12 and Figure 10a,b. As the detour coefficient increases, the system tends to dispatch more occasional drivers while reducing the number of customer points served by specialized vehicles when solving the same dataset. This adjustment in scheduling strategy not only lowers the total system cost but also reduces carbon emission costs. The results indicate that appropriately increasing the detour coefficient can optimize route planning and vehicle resource allocation, thereby enhancing the overall performance of the two-tier vehicle delivery system.
Analysis of the crowdsourcing compensation coefficient is shown in Table 13 and Figure 11a,b. A rise in the compensation coefficient leads the system to assign more customer points to specialized vehicles, correspondingly decreasing reliance on occasional drivers. However, this shift in strategy results in an increase in both total operating costs and carbon emissions. Thus, from a holistic system optimization perspective, adopting a lower crowdsourcing compensation coefficient is more conducive to achieving synergy between cost and environmental objectives.

5.6. Management Insights

At the management practice level, based on the above experimental results and sensitivity analysis, this study offers the following recommendations for e-commerce logistics management:
(1)
E-commerce platforms should deeply embed the collaboration between specialized vehicles and occasional drivers into their fulfillment infrastructure system, driving the evolution of delivery systems from single fleets to dynamic socialized capacity networks. The results of this study (as shown in Table 8) indicate that this model can effectively integrate professional transportation capacity with distributed crowdsourcing resources. Platforms should establish a closed-loop mechanism for order allocation and vehicle dispatch. This system-level approach enables efficient collaboration between fleet vehicles and occasional drivers, thereby reducing overall operational costs and carbon emissions.
(2)
Delivery platforms and e-commerce platforms should jointly establish a dynamic order allocation mechanism integrated with routing optimization capabilities, enabling real-time synchronization among vehicle route planning, online ordering systems, and delivery platforms. This study validates the potential of such a mechanism through simulations (Figure 8). Within the platform’s decision logic, an optimization model should be developed to determine whether orders are assigned to specialized vehicles or occasional drivers. By incorporating real-time traffic conditions, capacity distribution, and cost structures, this approach achieves intelligent order assignment and synchronized route planning.
(3)
Crowdsourced delivery platforms should develop differentiated detour management strategies and dynamic compensation mechanisms based on the spatial distribution of orders and delivery time requirements. Simulation results from this study (Figure 9) show that rigid detour restrictions can limit crowdsourcing coverage. At the system level, interconnected rules between detour coefficients and compensation pricing should be modeled. This approach should prioritize efficiency in urban areas while appropriately relaxing detour restrictions in suburban and county regions to expand coverage. Additionally, compensation for occasional drivers should be dynamically adjusted based on regional order density, delivery difficulty, and temporal fluctuations, thereby balancing service quality with cost control.
(4)
Establish a credit and incentive system for crowdsourced delivery capacity that integrates routing optimization and environmental objectives. Simulation analysis (Figure 10) shows that reasonable incentives can guide more environmentally friendly and efficient delivery behaviors. Platforms should incorporate occasional delivery vehicles into a unified carbon footprint monitoring system, incorporating route compliance, delivery timeliness, and environmental performance into credit evaluations. Through systematic modeling, a reasonable compensation structure should be established to avoid service quality degradation and secondary delivery waste caused by insufficient incentives.
(5)
Promote the joint establishment of a data collaboration platform by e-commerce enterprises, logistics service providers, and crowdsourcing platforms to integrate order, inventory, delivery capacity, and routing information. Based on the research and analysis, enable high-frequency interaction between route planning and fulfillment systems through system interfaces, supporting real-time dynamic route replanning and capacity rescheduling to systematically address order peaks and delivery capacity fluctuations.
(6)
At the e-commerce platform level, establish a global decision support model to systematically model key decision variables including order allocation logic, compensation strategies, acceptance rate prediction, and route optimization. Comprehensive experimental analysis indicates that systematic modeling is key to success. The platform should develop a decision engine integrated with intelligent optimization algorithms to achieve smart scheduling and sustainable management of the hybrid capacity system, thereby supporting the realization of a green e-commerce logistics framework from the system architecture level.

6. Conclusions

In the current context of the deepening development of sustainability, green, and low-carbon concepts, the logistics delivery system is facing an urgent need for systemic upgrades. However, existing research has mainly focused on efficiency improvement and cost control. Relatively less attention has been given to carbon emissions. Therefore, this paper innovatively introduces an occasional driver model based on the two-echelon vehicle routing problem. It further investigates the green two-echelon hybrid vehicle routing problem under this occasional driver model. A mathematical model is constructed with the aim of reducing both vehicle routing costs and carbon emission costs. This explores new pathways for the green transformation of logistics systems from the perspective of sustainable transportation.
At the theoretical level, this study extends the traditional vehicle routing problem framework. It builds a hybrid delivery model that combines trucks, specialized vehicles, and occasional drivers. This deepens research on resource coordination and green scheduling strategies in e-commerce logistics management. The introduction of occasional drivers not only activates idle social transport capacity but also optimizes route structures. Consequently, it reduces unnecessary driving by specialized vehicles, thereby lowering overall system energy consumption and carbon emissions. This provides new theoretical support for advancing the greening of logistics systems.
In terms of methodology, this paper proposes an improved Whale Optimization Algorithm, referred to as S-WOA. The algorithm is tested through numerical experiments using three instances of different scales. It is compared with the WOA, SSA, GWO, and GA algorithms. The results show that S-WOA outperforms the other algorithms in both solution efficiency and solution quality. Thus, it offers a reliable tool for algorithmic research in sustainable logistics delivery.
Additionally, this paper analyzes the key factors affecting path costs and carbon emission costs under the occasional driver model. Three factors are considered: the delivery model, the occasional driver detour coefficient, and the occasional driver compensation coefficient. The study finds that the collaborative delivery mode significantly reduces total costs. It also reveals that coordinated management of detour flexibility and compensation multipliers is crucial for cost control. These findings offer direct implications for e-commerce platform management. Platforms should establish a dynamic correlation model that integrates detour constraints and compensation mechanisms. This framework should be embedded into the core decision-making logic for order allocation and route planning. Such an approach enables the simultaneous optimization of costs and CO2 emissions while maintaining service quality.
This study still has certain limitations. The basic assumptions made, such as “constant vehicle speed” and “occasional drivers can be immediately replenished”, are relatively idealized and fail to fully account for real-world constraints such as urban traffic congestion, regional disparities in supply capacity, and dynamic changes in road networks. Consequently, the model’s explanatory power and applicability in real-world scenarios are somewhat diminished. Specifically, uncertainties in travel time due to traffic congestion and shortages in supply capacity during peak hours are not sufficiently captured in the current model, which limits the practical relevance of the findings.
Future research could be expanded in the following directions: First, explore flexible scheduling mechanisms and real-time route planning methods under conditions of uncertain crowdsourced supply capacity. Second, develop collaborative delivery models that integrate real-time traffic prediction and dynamic route adjustment. Third, design robust optimization algorithms capable of handling demand fluctuations and unexpected disruptions. Research in these directions is expected to significantly enhance the stability and adaptability of crowdsourced logistics systems in complex real-world environments, thereby providing stronger theoretical support and practical pathways for the development of sustainable logistics systems.

Author Contributions

Conceptualization, F.L. and Y.Z.; methodology, F.L.; software, Y.Z.; validation, Y.Z.; formal analysis, Y.Z.; resources, F.L.; data curation, F.L.; writing—original draft preparation, F.L. and Y.Z.; writing—review and editing, F.L., H.B. and Y.Z.; visualization, Y.Z.; supervision, H.B.; project administration, F.L.; funding acquisition, F.L. All authors have read and agreed to the published version of the manuscript.

Funding

This research was funded by the National Key R&D Program of China grant number No. 2020YFB1712802, the Research Project of Humanities and Social Sciences of the Ministry of Education grant number No.24YJC630129, the Hebei Provincial Department of Education Higher Education Science and Technology Project grant number No. QN2025009, and the Hebei Provincial Natural Science Foundation Project grant number No. G2024203003.

Institutional Review Board Statement

Not applicable.

Informed Consent Statement

Not applicable.

Data Availability Statement

The original data presented in this study are openly available in Mendeldy Date at 10.17632/rxm98px352.2.

Acknowledgments

We extend our sincere gratitude to the editor and the reviewers. Their dedicated work has significantly improved the manuscript and allowed it to reach publication.

Conflicts of Interest

The authors declare no conflict of interest.

References

  1. Lu, F.; Jiang, R.; Bi, H.; Gao, Z. Order distribution and routing optimization for takeout delivery under drone–rider joint delivery mode. J. Theor. Appl. Electron. Commer. Res. 2024, 19, 774–796. [Google Scholar] [CrossRef]
  2. Bi, H.; Gu, Y.; Lu, F.; Mahreen, S. Site selection of electric vehicle charging station expansion based on GIS-FAHP-MABAC. J. Clean. Prod. 2025, 507, 145557. [Google Scholar] [CrossRef]
  3. Punel, A.; Ermagun, A.; Stathopoulos, A. Studying determinants of crowd-shipping use. Travel Behav. Soc. 2018, 12, 30–40. [Google Scholar] [CrossRef]
  4. Boysen, N.; Emde, S.; Schwerdfeger, S. Crowdshipping by employees of distribution centers: Optimization approaches for matching supply and demand. Eur. J. Oper. Res. 2022, 296, 539–556. [Google Scholar] [CrossRef]
  5. Galante, N.; López, E.G.; Monroe, S. The Future of Online Grocery in Europe; McKinsey & Company: New York, NY, USA, 2013; pp. 22–31. [Google Scholar]
  6. Gammelgaard, B. The emergence of city logistics: The case of Copenhagen’s Citylogistik-kbh. Int. J. Phys. Distrib. Logist. Manag. 2015, 45, 333–351. [Google Scholar] [CrossRef]
  7. Erdoğan, S.; Miller-Hooks, E. A green vehicle routing problem. Transp. Res. E Logist. Transp. Rev. 2012, 48, 100–114. [Google Scholar] [CrossRef]
  8. Dantzig, G.B.; Ramser, J.H. The truck dispatching problem. Manag. Sci. 1959, 6, 80–91. [Google Scholar] [CrossRef]
  9. Kim, G.; Ong, Y.S.; Heng, C.K.; Tan, P.S.; Zhang, N.A. City vehicle routing problem (city VRP): A review. IEEE Trans. Intell. Transp. Syst. 2015, 16, 1654–1666. [Google Scholar] [CrossRef]
  10. Wang, R.; Wang, Z.T. Research on Vehicle Routing Optimization Based on Improved Ant Colony Algorithm. Appl. Mech. Mater. 2013, 385, 1917–1920. [Google Scholar] [CrossRef]
  11. Wang, Y.; Li, Q.; Guan, X.; Xu, M.; Liu, Y.; Wang, H. Two-echelon collaborative multi-depot multi-period vehicle routing problem. Expert Syst. Appl. 2021, 167, 114201. [Google Scholar] [CrossRef]
  12. Liu, D.; Kaisar, E.I.; Yang, Y.; Yan, P. Physical Internet-enabled E-grocery delivery Network: A load-dependent two-echelon vehicle routing problem with mixed vehicles. Int. J. Prod. Econ. 2022, 254, 108632. [Google Scholar] [CrossRef]
  13. Al Theeb, N.; Abu-Aleqa, M.; Diabat, A. Multi-objective optimization of two-echelon vehicle routing problem: Vaccines distribution as a case study. Comput. Ind. Eng. 2024, 187, 109590. [Google Scholar] [CrossRef]
  14. Gutierrez, A.; Labadie, N.; Prins, C.A. Two-echelon Vehicle Routing Problem with time-dependent travel times in the city logistics context. EURO J. Transp. Logist. 2024, 13, 100133. [Google Scholar] [CrossRef]
  15. Zhou, G.; Li, D.; Bian, J.; Zhang, Y. Two-echelon time-dependent vehicle routing problem with simultaneous pickup and delivery and satellite synchronization. Comput. Oper. Res. 2024, 167, 106600. [Google Scholar] [CrossRef]
  16. Xu, S.; Ou, X.; Govindan, K.; Chen, M.; Yang, W. An adaptive genetic hyper-heuristic algorithm for a two-echelon vehicle routing problem with dual-customer satisfaction in community group-buying. Transp. Res. E Logist. Transp. Rev. 2025, 194, 103874. [Google Scholar] [CrossRef]
  17. Dahimi, A.; Lurkin, V.; Mohammadi, M.; Van Woensel, T. A two-echelon vehicle routing problem with mobile satellites and multiple commodities. Eur. J. Oper. Res. 2025, 326, 124–140. [Google Scholar] [CrossRef]
  18. Lu, F.; Gao, Z.; Jiang, R.; Bi, H. Routing Optimization of Takeout Delivery Routes Under Joint Delivery Model of Drones, Occasional Drivers, and Riders. IEEE Trans. Intell. Transp. Syst. 2025, 26, 21784–21793. [Google Scholar] [CrossRef]
  19. Abad, H.K.E.; Vahdani, B.; Sharifi, M.; Etebari, F. A bi-objective model for pickup and delivery pollution-routing problem with integration and consolidation shipments in cross-docking system. J. Clean. Prod. 2018, 193, 784–801. [Google Scholar] [CrossRef]
  20. Androutsopoulos, K.N.; Zografos, K.G. An integrated modelling approach for the bicriterion vehicle routing and scheduling problem with environmental considerations. Transp. Res. C. Emerg. Technol. 2017, 82, 180–209. [Google Scholar] [CrossRef]
  21. Rohmer, S.U.K.; Claassen, G.D.H.; Laporte, G. A two-echelon inventory routing problem for perishable products. Comput. Oper. Res. 2019, 107, 156–172. [Google Scholar] [CrossRef]
  22. Wang, Z.; Wen, P. Optimization of a low-carbon two-echelon heterogeneous-fleet vehicle routing for cold chain logistics under mixed time window. Sustainability 2020, 12, 1967. [Google Scholar] [CrossRef]
  23. Liu, L.; Liao, W. Optimization and profit distribution in a two-echelon collaborative waste collection routing problem from economic and environmental perspective. Waste Manag. 2021, 120, 400–414. [Google Scholar] [CrossRef] [PubMed]
  24. Sherif, S.U.; Asokan, P.; Sasikumar, P.; Mathiyazhagan, K.; Jerald, J. Integrated optimization of transportation, inventory and vehicle routing with simultaneous pickup and delivery in two-echelon green supply chain network. J. Clean. Prod. 2021, 287, 125434. [Google Scholar] [CrossRef]
  25. Guo, N.; Qian, B.; Shen, Q.; Na, J.; Hu, R.; Geng, Y. Solving the Green Two-level Multi-period Vehicle Routing Problem with Flexible Time Windows using an Enhanced Ant Colony Optimization Algorithm. Control. Decis. 2024, 40, 745–754. [Google Scholar] [CrossRef]
  26. Liao, S.; Xu, Y.; Niu, Y.; Cao, Z. Learning-guided bi-objective evolutionary optimization for green municipal waste collection vehicle routing. J. Clean. Prod. 2025, 501, 145316. [Google Scholar] [CrossRef]
  27. Archetti, C.; Savelsbergh, M.; Speranza, M.G. The vehicle routing problem with occasional drivers. Eur. J. Oper. 2016, 254, 472–480. [Google Scholar] [CrossRef]
  28. Breunig, U.; Schmid, V.; Hartl, R.F.; Vidal, T. A large neighbourhood based heuristic for two-echelon routing problems. Comput. Oper. Res. 2016, 76, 208–225. [Google Scholar] [CrossRef]
  29. Macrina, G.; Di Puglia Pugliese, L.; Guerriero, F.; Laganà, D. The vehicle routing problem with occasional drivers and time windows. In Optimization and Decision Science: Methodologies and Applications; Springer: Cham, Switzerland, 2017; Volume 9, pp. 577–587. [Google Scholar]
  30. Sampaio, A.; Savelsbergh, M.; Veelenturf, L.P.; Van Woensel, T. Delivery systems with crowd-sourced drivers: A pickup and delivery problem with transfers. Networks 2020, 76, 232–255. [Google Scholar] [CrossRef]
  31. Vincent, F.Y.; Jodiawan, P.; Hou, M.L.; Gunawan, A. Design of a two-echelon freight distribution system in last-mile logistics considering covering locations and occasional drivers. Transp. Res. E Logist. Transp. Rev. 2021, 154, 102461. [Google Scholar]
  32. Enthoven, D.L.; Jargalsaikhan, B.; Roodbergen, K.J.; Uit het Broek, M.A.; Schrotenboer, A.H. The two-echelon vehicle routing problem with covering options: City logistics with cargo bikes and parcel lockers. Comput. Oper. Res. 2020, 118, 104919. [Google Scholar] [CrossRef]
  33. Zhou, S.; Zhang, D.; Ji, B.; Li, S. Two-echelon vehicle routing problem with direct deliveries and access time windows. Expert Syst. Appl. 2024, 244, 121150. [Google Scholar] [CrossRef]
  34. Lu, F.; Du, Z.; Wang, Z.; Wang, L.; Wang, S. Towards enhancing the crowdsourcing door-to-door delivery: An effective model in Beijing. J. Ind. Manag. Optim. 2025, 21, 2371–2395. [Google Scholar] [CrossRef]
  35. Yağmur, E. Joint vehicle and courier routing problem in last mile delivery with parcel lockers. Expert Syst. Appl. 2025, 271, 126617. [Google Scholar] [CrossRef]
  36. Nguyen, N.N.T.; Van Hop, N. Hierarchical allocation-routing heuristic algorithm for crowd-ship problem with time windows, transshipment nodes, and delivery options. Expert Syst. Appl. 2025, 268, 126325. [Google Scholar] [CrossRef]
  37. Lu, F.; Gao, Z.; Bi, H. Bi-objective green vehicle routing problem with heterogeneous regular vehicles and occasional drivers joint delivery. Comput. Manag. Sci. 2025, 22, 18. [Google Scholar] [CrossRef]
  38. Ottmar, R.D. Wildland fire emissions, carbon, and climate: Modeling fuel consumption. For. Ecol. Manag. 2014, 317, 41–50. [Google Scholar] [CrossRef]
  39. Mirjalili, S.; Lewis, A. The whale optimization algorithm. Adv. Eng. Softw. 2016, 95, 51–67. [Google Scholar] [CrossRef]
  40. Lu, F.; Yan, T.; Bi, H.; Feng, M.; Wang, S.; Huang, M. A bilevel whale optimization algorithm for risk management scheduling of information technology projects considering outsourcing. Knowl.-Based Syst. 2022, 235, 107600. [Google Scholar] [CrossRef]
  41. Xue, J.; Shen, B. A novel swarm intelligence optimization algorithm: Sparrow search algorithm. Syst. Sci. Control Eng. 2022, 1, 22–34. [Google Scholar]
Figure 1. An illustrative example of Two-Echelon Vehicle Routing with specialized and occasional drivers.
Figure 1. An illustrative example of Two-Echelon Vehicle Routing with specialized and occasional drivers.
Jtaer 21 00052 g001
Figure 2. The delivery route diagram.
Figure 2. The delivery route diagram.
Jtaer 21 00052 g002
Figure 3. S-WOA Flowchart.
Figure 3. S-WOA Flowchart.
Jtaer 21 00052 g003
Figure 4. (a). Experimental results of the set2b-50 customer points dataset. (b). Experimental results of the set2c-50 customer points dataset. (c). Experimental results of the set3-50 customer points dataset.
Figure 4. (a). Experimental results of the set2b-50 customer points dataset. (b). Experimental results of the set2c-50 customer points dataset. (c). Experimental results of the set3-50 customer points dataset.
Jtaer 21 00052 g004
Figure 5. (a). Experimental results of the set5-5-100 customer points dataset. (b). Experimental results of the set5-10-100 customer points dataset.
Figure 5. (a). Experimental results of the set5-5-100 customer points dataset. (b). Experimental results of the set5-10-100 customer points dataset.
Jtaer 21 00052 g005
Figure 6. Experimental results of the set5-10-200 customer points dataset.
Figure 6. Experimental results of the set5-10-200 customer points dataset.
Jtaer 21 00052 g006
Figure 7. Algorithm Iteration Diagram for Examples I, II, and III.
Figure 7. Algorithm Iteration Diagram for Examples I, II, and III.
Jtaer 21 00052 g007
Figure 8. Comparison Chart of Examples I, II, and III.
Figure 8. Comparison Chart of Examples I, II, and III.
Jtaer 21 00052 g008
Figure 9. Instance Algorithm Iteration Diagram.
Figure 9. Instance Algorithm Iteration Diagram.
Jtaer 21 00052 g009
Figure 10. Sensitivity Analysis of Different Crowdsourcing Detour Coefficients.
Figure 10. Sensitivity Analysis of Different Crowdsourcing Detour Coefficients.
Jtaer 21 00052 g010
Figure 11. Sensitivity Analysis of Different Crowdsourcing Compensation Coefficients.
Figure 11. Sensitivity Analysis of Different Crowdsourcing Compensation Coefficients.
Jtaer 21 00052 g011
Table 1. Parameters.
Table 1. Parameters.
SymbolsParameter
c 1 Unit Transportation Cost of First-Echelon Trucks
c 2 p Unit Transportation Cost of Second-Echelon Specialized Vehicles
c 2 o Unit Transportation Cost of Second-Echelon Occasional Drivers
d i j Distance from point i to point j
f 1 Fixed Cost of First-Echelon Trucks
f 2 Fixed Cost of Second-Echelon Specialized Vehicles
w i j k 1 Transportation Volume of First-Echelon Trucks on Arc ( i , j )
w i j k 2 p Transportation Volume of Second -Echelon Specialized Vehicles on Arc ( i , j )
w i j k 2 o Transportation Volume of Second -Echelon Occasional Drivers on Arc ( i , j )
t i k Time of Arrival of Truck k at Satellite i
a i k Service Time of Truck k at Satellite i
t j Time when Second-Echelon Specialized Vehicles or Occasional Drivers arrive at the customer point j
t j 2 p Time when Second-Echelon Specialized Vehicles arrive at the customer point j
t j 2 o Time when Second-Echelon Occasional Drivers arrive at the customer point j
t i j 2 p Time for Second-Echelon Specialized Vehicles to travel from point i to point j
t i j 2 o Time for Second-Echelon Occasional Drivers to travel from point i to point j
v 1 Average Speed of First-Echelon Trucks
v 2 p Average Speed of Second-Echelon Specialized Vehicles
v 2 o Average Speed of Second-Echelon Occasional Drivers
q i 1 Demand at Satellite i for the First Echelon
q i 2 Demand at Customer i for the Second Echelon
Q 1 Maximum Capacity of First-Echelon Trucks
Q 2 p Maximum Capacity of Second-Echelon Specialized Vehicles
Q 2 o Maximum Capacity of Second-Echelon Occasional Drivers
m 1 Maximum Number of First-Echelon Trucks
m 2 p Maximum Number of Second-Echelon Specialized Vehicles
m 2 o Maximum Number of Second-Echelon Occasional Drivers
L i j Cargo capacity of the second-level vehicle from point i to point j .
ρ k α Fuel consumption per unit distance for the Second-Echelon Specialized Vehicles when fully loaded
ρ k β Fuel consumption per unit distance for the Second-Echelon Occasional Drivers when fully loaded
ρ o α Fuel consumption per unit distance for the Second-Echelon Specialized Vehicles when empty
ρ o β Fuel consumption per unit distance for the Second-Echelon Occasional Drivers when empty
ρ k ( L i j ) Fuel consumption per unit distance for the Second- Echelon Specialized Vehicles with a load of L i j from point i to point j
ρ o ( L i j ) Fuel consumption per unit distance for the Second-Echelon Occasional Drivers with a load of L i j from point i to point j
R i p k Distance from Satellite i to Occasional Driver k s Destination p
d j p k Distance from Customer j to Occasional Driver k s Destination p
e i , l i Delivery Time Window of the Customer i
θ 1 Waiting Cost for Early Arrival of the Vehicle
θ 2 Penalty Cost for Late Arrival of the Vehicle
λ Detour Factor for Second-Echelon Occasional Drivers
M An Arbitrarily Large Constant
r Coverage Radius of the Transfer Satellite
Table 2. Decision variables.
Table 2. Decision variables.
SymbolsDecision Variables
x i j k decision variables. The decision variable is 1 if First-Echelon Truck k travels from point i to point j , and 0 otherwise.
y i j k decision variables. The decision variable is 1 if Second-Echelon Specialized Vehicle k travels from point i to point j , and 0 otherwise.
o i j k decision variables. The decision variable is 1 if Second-Echelon Occasional Driver k travels from point i to point j , and 0 otherwise.
Table 3. Parameter Values of the S-WOA.
Table 3. Parameter Values of the S-WOA.
ParameterDefinitionValues
max g e n Maximum number of iterations500
P D Proportion of producers0.7
S D i Proportion of discoverersDynamic changes between [ 0.1 , 0.2 ]
S T Warning thresholdDynamic changes between [ 0.7 , 0.9 ]
Table 4. Experimental Results for Dataset I.
Table 4. Experimental Results for Dataset I.
S-WOAWOASSAGWOGA
Set2b-4-50best1321.22049.22021.61967.82517.2
worst1776.12362.72711.92243.32919.1
ave1485.12204.72300.32135.22670.1
SD127.8113.3188.167.4106.7
time(s)6.139.22.311.2
Set2b-2-50(1)best2005.42407.22429.72351.72585.7
worst2105.63013.72912.52827.22821.6
ave2054.12790.32744.72572.32683.3
SD22.3156131.813775.5
time(s)4.52.16.71.68.2
Set2b-2-50(2)best2000.725182481.42345.52587.3
worst2175.52897.42642.42688.32726.2
ave2049.72718.92614.62547.72650.1
SD62.5113.752.680.642.6
time(s)4.62.26.81.78.5
Set2c-4-50best1288.81670.11891.91850.22900.1
worst1586.22389.12359.91963.63050.2
ave1449.91972.82129.61850.22923.1
SD85.8183.5121.899.281.1
time(s)639.22.311.2
Set2c-2-50(1)best1992.92647.62690.32481.92668.5
worst2299.83005.42968.62709.32816.6
ave2154.12756.92795.82604.42700.7
SD102.6104.48072.738.4
time(s)4.52.16.71.68.3
Set2c-2-50(2)best192524742577.52429.82637.1
worst2224.7291828332663.72769
ave2058.72719.92723.22549.82690.4
SD79.1112.796.870.539.7
time(s)5.42.57.61.99.5
Set3-2-50best2033.42586.42784.82610.82355.8
worst2351.72937.43159.72946.72539.6
ave2253.22771.32947.42762.92435.5
SD94.2116.2125.39243.9
time(s)4.82.271.88.7
Set3-2-50(1)best2247.22789.92716.32507.72837.4
worst2398.43076.42891.72870.72965.5
ave2319.729102857.42724.42875.7
SD36.484.755.211236.1
time(s)4.52.26.71.68.3
Set3-2-50(2)best2199.52571.72694.62376.62613.1
worst24213210.22949.82817.82863.3
ave22622909.328682629.92720.6
SD65.9192.277.2139.670.7
time(s)4.52.26.61.68.2
Table 5. Algorithm Comparison Gap Value for Dataset I.
Table 5. Algorithm Comparison Gap Value for Dataset I.
WOASSAGWOGA
best21.9%24.1%19.2%27.8%
worst25.2%24.1%18.5%23.6%
ave24.1%24.9%19.5%25.3%
time(s)−109.3%32.3%−174%45.3%
Table 6. Experimental Results for Dataset II.
Table 6. Experimental Results for Dataset II.
S-WOAWOASSAGWOGA
Set5-5-100(1b)best2405.74188.54144.14412.54387.7
worst3154.94623.24978.54657.24772.4
ave2822.34449.34527.34572.34632.8
SD223.6132.6203.180.9109.4
time(s)8.54.313.23.516.3
Set5-5-100(2b)best4636.15596.05631.25919.34856.8
worst4957.36084.86031.26223.95132.7
ave4821.35819.15859.16071.15007.9
SD89.6131.3105.591.177.1
time(s)8.44.312.83.316.7
Set5-5-100(3b)best2859.34065.44257.94357.94211.4
worst3304.04558.14798.84735.24486.3
ave3071.94370.64550.84554.04359.1
SD153.6137.6136.3111.885.2
time(s)8.54.312.93.416.4
Set5-10-100(1b)best2065.93070.02847.93189.93275.0
worst2421.53673.03646.93820.64175.2
ave2250.33352.43332.03573.03765.7
SD120.5193.9210.7176.5189.5
time(s)11.26.217.14.722.2
Set5-10-100(2b)best1631.62508.12799.62738.23321.1
worst1965.43008.33313.13357.63600.7
ave1832.02792.43046.03086.33500.2
SD104.8152.9158.4166.375.8
time(s)11.36.217.44.822.2
Set5-10-100(3b)best1621.62224.52353.22535.73466.5
worst1933.12792.53105.52967.53860.5
ave1767.82458.32617.52751.83690.7
SD80.3148.2199.212.4311.37
time(s)11.15.917.04.721.0
Table 7. Algorithm Comparison Gap Value for Dataset II.
Table 7. Algorithm Comparison Gap Value for Dataset II.
WOASSAGWOGA
best30.6%32.1%35.5%37.1%
worst29.5%32.9%32.6%33.5%
ave29.8%32.1%34.1%35.3%
time(s)−90.2%34.7%−116.1%48.5%
Table 8. Experimental Results for Dataset III.
Table 8. Experimental Results for Dataset III.
S-WOAWOASSAGWOGA
Set5-10-200(1b)best3803.64490.75134.95176.24988.2
worst4087.95457.05862.35861.25256.9
ave3949.65065.65558.45522.55094.2
SD106.3253.3222.6196.4111.2
time(s)14.27.622.56.128.3
Set5-10-200(2b)best4380.45566.36003.46017.45543.9
worst4889.86430.26716.66768.95624.6
ave4634.26069.46486.26312.65399.5
SD159.1271.9208.9201.7334.1
time(s)15.18.023.36.630.1
Set5-10-200(3b)best3328.44875.65246.95313.55488.8
worst3839.55514.75984.15808.55902.9
ave3565.85151.95646.25566.55793.5
SD113.3225.7236.5166.3107.6
time(s)14.07.522.15.927.5
Table 9. Algorithm Comparison Gap Value for Dataset II.
Table 9. Algorithm Comparison Gap Value for Dataset II.
WOASSAGWOGA
best22.8%29.8%30.4%28.0%
worst26.5%31.1%30.6%23.4%
ave25.5%31.4%30.3%25.0%
time(s)−87.4%36.2%−133.0%49.6%
Table 10. Mode Comparison.
Table 10. Mode Comparison.
Two-Echelon Logistics and Distribution Model with Specialized VehiclesTwo-Echelon Logistics and Distribution Model with Collaboration Between Specialized Vehicles and Occasional Drivers
Vehicle Routing CostCarbon Emission CostVehicle Routing CostCarbon Emission Cost
Set2b-4-501334.0505.3818.8270.1
Set2b-2-50(1)1325.8461.2916.8269.2
Set2b-2-50(2)1033.2491.2885.9327.3
Set2c-4-501498.0503.8735.3225.9
Set2c-2-50(1)1090.4441.2941.0363.0
Set2c-2-50(2)1054.0490.9866.3321.5
Set3-2-501371.2491.1891.2265.4
Set3-2-50(1)1173.0471.1982.8325.6
Set3-2-50(2)1473.2441.1859.0243.8
Set5-5-100(1b)2035.4 821.91248.7389.5
Set5-5-100(2b)2647.1883.52220.2801.1
Set5-5-100(3b)1841.6931.21077.7461.4
Set5-10-100(1b)2133.6955.5927.3380.1
Set5-10-100(2b)1676.2693.2839.8419.0
Set5-10-100(3b)1944.6943.61272.4607.7
Set5-10-200(1b)3233.81130.42114.6669.4
Set5-10-200(2b)3547.01753.82379.21045.1
Set5-10-200(3b)3752.01720.12862.91444.2
Table 11. Instance Analysis Results.
Table 11. Instance Analysis Results.
Vehicle Routing CostCarbon Emission Cost
Two-Echelon Logistics and Distribution Model with Specialized Vehicles829.80294.13
Two-Echelon Logistics and Distribution Model with Collaboration between Specialized Vehicles and Occasional Drivers1295.8548.3
Table 12. Experimental Results for different crowdsourcing detour coefficients.
Table 12. Experimental Results for different crowdsourcing detour coefficients.
1.51.41.31.21.1
Truck22222
Specialized Vehicles2324242525
Occasional Drivers77654
ave4725.694924.025002.955179.605350.24
carbon778.71806.71825.94854.59884.05
Table 13. Experimental Results for different crowdsourcing compensation coefficients.
Table 13. Experimental Results for different crowdsourcing compensation coefficients.
1.61.71.81.92.0
Truck22222
Specialized Vehicles2223232426
Occasional Drivers117654
ave4771.584852.074873.764985.765046.12
carbon752.51771.01781.68794.24816.04
Disclaimer/Publisher’s Note: The statements, opinions and data contained in all publications are solely those of the individual author(s) and contributor(s) and not of MDPI and/or the editor(s). MDPI and/or the editor(s) disclaim responsibility for any injury to people or property resulting from any ideas, methods, instructions or products referred to in the content.

Share and Cite

MDPI and ACS Style

Lu, F.; Zhang, Y.; Bi, H. Green Two-Echelon Vehicle Routing Problem with Specialized Vehicle and Occasional Drivers Joint Delivery. J. Theor. Appl. Electron. Commer. Res. 2026, 21, 52. https://doi.org/10.3390/jtaer21020052

AMA Style

Lu F, Zhang Y, Bi H. Green Two-Echelon Vehicle Routing Problem with Specialized Vehicle and Occasional Drivers Joint Delivery. Journal of Theoretical and Applied Electronic Commerce Research. 2026; 21(2):52. https://doi.org/10.3390/jtaer21020052

Chicago/Turabian Style

Lu, Fuqiang, Yu Zhang, and Hualing Bi. 2026. "Green Two-Echelon Vehicle Routing Problem with Specialized Vehicle and Occasional Drivers Joint Delivery" Journal of Theoretical and Applied Electronic Commerce Research 21, no. 2: 52. https://doi.org/10.3390/jtaer21020052

APA Style

Lu, F., Zhang, Y., & Bi, H. (2026). Green Two-Echelon Vehicle Routing Problem with Specialized Vehicle and Occasional Drivers Joint Delivery. Journal of Theoretical and Applied Electronic Commerce Research, 21(2), 52. https://doi.org/10.3390/jtaer21020052

Article Metrics

Back to TopTop