China’s Place-Based E-Commerce Development Policies Generated Beneficial Spatial Spillover Effects on the Environment
Abstract
1. Introduction
1.1. Research Background
1.2. E-Commerce Policy Context in China
1.3. Research Objective and Contributions
- (1)
- Existing studies have not sufficiently analyzed whether the development of e-commerce has a spatial spillover influence on environmental quality. Our research fills this gap by empirically demonstrating that China’s two important e-commerce development policies can significantly benefit environmental quality in non-policy implementation areas. This finding contributes to a deeper understanding of the environmental implications of e-commerce. Our study reveals the existence of spatial spillover effects in e-commerce development, indicating that some conclusions and policy evaluations in the previous literature that did not account for such spillover effects may be biased. Our research also highlights the need for policymakers to explicitly consider spatial spillover effects and policy externalities when designing e-commerce development strategies, and to coordinate policies across regions. Only through appropriate policy design and coordination can the overall impact of regional policies be optimized.
- (2)
- This paper examines multiple environmental quality indicators, including concentrations of various air pollutants, carbon emission scale, as well as vegetation greenness levels. Compared to previous related studies, our analysis provides a more comprehensive portrayal of the multidimensional changes in environmental quality in China. The analysis offers new empirical evidence for understanding the country’s environmental issues. Our findings demonstrate that e-commerce development policies can influence a wide range of environmental indicators. This suggests to both researchers and policymakers that the environmental impacts of e-commerce are multidimensional, extending beyond the narrow set of indicators—particularly PM2.5 and carbon emissions—that have been the primary focus of existing literature.
2. Literature Review and Hypothesis Development
2.1. Literature Review
2.1.1. Environmental Impacts of E-Commerce
2.1.2. Impacts of China’s E-Commerce Development Policies
2.2. Hypothesis Development
2.2.1. Spatial Spillover Effects on the Environment
2.2.2. Possible Mechanisms
- (1)
- E-commerce may promote industrial structure upgrading in other regions. By integrating regional value chains, e-commerce enables different areas to engage in more refined specialization based on their comparative advantages. Furthermore, e-commerce platforms create a unified national market, intensifying competition among enterprises across regions and compelling them to transform. Industrial structure upgrading enhances the efficiency of economic activities, reducing resource consumption and waste, thereby improving environmental quality. Based on the above logic, we propose the following research hypothesis:
- (2)
- E-commerce may promote technological progress in other regions. Development models and digital technologies from leading regions—such as platform architecture, big data analytics, and logistics algorithms—can diffuse to other areas through business cooperation, talent mobility, learning, and imitation. Such processes of technology spillover and knowledge dissemination facilitate technological advancement in other regions, thereby improving resource use efficiency and enhancing environmental quality. Therefore, we posit the following research hypothesis:
- (3)
- E-commerce may stimulate green innovation in other regions. In particular, both the BNEDC and CPZCE policies implemented in China explicitly emphasize promoting green economic development. As a result, local governments have adopted various economic and administrative measures to encourage enterprises to pursue energy conservation, emission reduction, and green innovation while developing e-commerce. Such policy demonstration effects and the spillover of green innovation technologies can enhance green innovation in non-policy regions, thereby contributing to energy saving, emission reduction, and improved environmental quality. We construct the following research hypothesis:
- (4)
- E-commerce may influence the stringency of environmental regulations in other regions. However, the direction of this effect is ambiguous. On the one hand, China’s e-commerce policies emphasize green development, which can help raise awareness of environmental protection and lead to stricter environmental regulations. On the other hand, governments may relax environmental regulations to reduce operational costs for businesses, enhancing regional competitiveness. To inspect the impact of e-commerce on environmental regulation, we will test the following research hypothesis:
3. Materials and Methods
3.1. Empirical Model
u = λWu + ε
3.2. Variables
3.2.1. Explained Variables
- (1)
- Air quality, represented by four indicators: the concentrations of four air pollutants—CO, NO2, PM2.5, and SO2—in ambient air. Higher concentrations of these pollutants indicate more severe air pollution and poorer air quality.
- (2)
- Carbon emissions, represented by one indicator: the scale of total CO2 emissions. Excessive carbon emissions exacerbate global warming, trigger abnormal climate conditions, and negatively affect ecosystems and human health. Higher carbon emissions indicate poorer environmental quality. To mitigate heteroscedasticity issues in regression estimation, we apply the natural logarithm transformation to the carbon emission indicator.
- (3)
- Vegetation greenness, represented by three indicators: FVC, NDVI and NPP. Higher FVC and NDVI indicate greater vegetation cover density, while a higher NPP reflects more vigorous vegetation growth and stronger carbon sequestration capacity. Higher values of these indicators signify better vegetation conditions and higher environmental quality.
3.2.2. Core Explanatory Variable
3.2.3. Covariates
3.3. Data Sources
3.4. Research Sample
4. Results
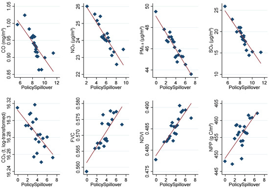
4.1. Main Results
4.2. Detecting How Far the Policy Impacts Reach
+ α3PolicySpillover(1500km, 2000km] + Covariatesβ + s + v + u
u = λWu + ε
4.3. Respective Impacts of Two Policies
- (1)
- When the dependent variables are NO2, PM2.5, and SO2 concentrations, the total effects of both terms BNEDCSpilloverit and CPZCESpilloverit are significantly negative. This indicates that both policies significantly reduced air pollution in non-policy regions, thereby improving air quality. It is noteworthy that when the dependent variable is CO, the total effects of both BNEDCSpilloverit and CPZCESpilloverit, while negative, are statistically nonsignificant. This may be because neither policy alone can produce a significant impact, and their simultaneous implementation is required to generate a significant spillover effect on CO.
- (2)
- When the dependent variable is the indicator of carbon emissions, the total effect of BNEDCSpilloverit is significantly negative, whereas the total effect of CPZCESpilloverit is negative but statistically nonsignificant. This suggests that the BNEDC policy did reduce carbon emissions in neighboring regions, while the CPZCE policy had no significant effect on carbon emissions in those areas.
- (3)
- When the dependent variable becomes FVC and NDVI, the total effect of BNEDCSpilloverit is positive but statistically nonsignificant, while the total effect of CPZCESpilloverit is significantly positive. When the dependent variable is NPP, the total effect of BNEDCSpilloverit is significantly positive, whereas the total effect of CPZCESpilloverit is positive but statistically nonsignificant. These results indicate that both policies contribute to some extent to the promotion of vegetation growth, though the specific effects depend on the measure of vegetation growth being considered.
4.4. Robustness Checks
4.5. Heterogeneity Analysis
- (1)
- The literature on the “network effects” of technology diffusion suggests that once a technology matures and forms a network, its diffusion speed and pattern become relatively uniform, with minimal constraints from geographical distance [43,44]. E-commerce relies on the internet and logistics networks, both of which possess strong connectivity and standardization characteristics [45]. Once a region is integrated into such networks, the barriers and costs to accessing information, technology, and green business models (e.g., the sharing economy reducing resource wastes, optimized logistics routes lowering carbon emissions) are largely comparable to those in other regions. Therefore, the spillover of positive environmental externalities from e-commerce resembles a “network-based inclusive effect” rather than a “preferential effect” dependent on specific local conditions. Our robust results confirm that once digital technology diffusion surpasses a critical threshold, its positive impacts become widespread and uniform, demonstrating strong robustness in the effects observed.
- (2)
- The literature on “spatial integration” in new economic geography argues that reducing trade costs and information barriers can lead to a restructuring of economic spatial structures, forming a more efficient unified market [46,47]. E-commerce significantly lowers inter-regional information barriers and transaction costs [48], effectively creating a more integrated “digital common market”. Within this market, green technologies, products, and standards can diffuse across regions at lower costs, with their effectiveness less dependent on initial local conditions. For digital technology-driven policies, the spatial effects are universal, thus resulting in the robustness we observe in our findings.
4.6. Mechanism Analysis
- (1)
- Following previous studies [49,50], we construct an industrial structure upgrading index (ISUI), calculated as ISUI = I1 × 1 + I2 × 2 + I3 × 3, where I1, I2, and I3 represent the share of value-added from the primary, secondary, and tertiary industries in local GDP, respectively. A higher value of the ISUI indicates a greater degree of industrial structure upgrading. We replace the explained variable in Equation (1) with this index to estimate the impact of e-commerce policies on industrial structure upgrading in non-policy regions. The regression results are reported in Column (i) of Table 11. The total effect of PolicySpillover is significantly positive, indicating that e-commerce policies indeed significantly promoted industrial structure upgrading in non-policy regions.
- (2)
- We measure technological progress by taking the logarithm of the number of patent applications plus one, and substitute this indicator as the explained variable in Equation (1). The regression results are recorded in Column (ii) of Table 11. The total effect of PolicySpillover is significantly positive, indicating that the e-commerce policies have indeed significantly promoted technological progress in non-policy regions.
- (3)
- We measure green innovation by taking the logarithm of the number of green patent applications plus one, and utilize this indicator to replace the explained variable in Equation (1). The regression results are shown in Column (iii) of Table 11. The significantly positive total effect of PolicySpillover indicates that the e-commerce policies have significantly promoted green innovation in non-policy regions.
- (4)
- Following previous research [51], we measure the stringency of environmental regulations using the proportion of environment-related terms in the text of the local government annual work reports. This indicator is used as the explained variable in Equation (1). The estimation results are shown in Column (iv) of Table 11. The total effect of PolicySpillover is statistically nonsignificant. We find no evidence that the e-commerce policies significantly altered the stringency of environmental regulations in non-policy regions.
4.7. Summary of Empirical Results
5. Discussion
5.1. Academic Implications
5.2. Practical Implications
6. Conclusions, Limitations, and Future Research Directions
6.1. Conclusions
6.2. Limitations
6.3. Future Research Directions
- (1)
- Collecting more updated and multidimensional data. Future studies could utilize more recent and diverse data sources, such as satellite remote sensing data, online transaction data from e-commerce platforms, and logistics route data, to verify the robustness of the conclusions presented in this paper.
- (2)
- Distinguishing between different types and industries of e-commerce. Future research may further classify e-commerce models to allow for an examination of the differences among their environmental effects. For instance, in terms of business models, comparisons can be made among business-to-business (B2B), business-to-consumer (B2C), and consumer-to-consumer (C2C) transactions to determine whether their environmental impacts differ. From an industry perspective, e-commerce in different sectors, such as agriculture, manufacturing, and services, may exhibit distinct environmental influences.
- (3)
- Incorporating an international perspective. Given the cross-country differences in economic development levels, infrastructure conditions, energy structures, regulatory intensity, and digital governance capacity, the environmental consequences of e-commerce may vary across nations. For example, developed countries have accumulated experience in areas such as green logistics, circular packaging, and sustainable supply chains, while many developing countries are still in the early stages of building digital infrastructure. Future researchers could build on our analytical framework to explore the environmental influences of e-commerce in other economies. This issue is particularly important for countries with large populations—and thus significant e-commerce potential—that also face severe environmental challenges, such as Bangladesh, India, Indonesia, Nigeria, and Pakistan.
Author Contributions
Funding
Institutional Review Board Statement
Informed Consent Statement
Data Availability Statement
Conflicts of Interest
Appendix A. Procedures of Model Selection
Appendix A.1. Assessing the Suitability of the Two-Way Fixed Effects Regression Model
| Year | CO | NO2 | PM2.5 | SO2 | ||||
| Moran’s I | z Statistic | Moran’s I | z Statistic | Moran’s I | z Statistic | Moran’s I | z Statistic | |
| 2000 | - | - | - | - | 0.291 *** | 34.339 | - | - |
| 2001 | - | - | - | - | 0.303 *** | 35.746 | - | - |
| 2002 | - | - | - | - | 0.273 *** | 32.208 | - | - |
| 2003 | - | - | - | - | 0.268 *** | 31.776 | - | - |
| 2004 | - | - | - | - | 0.240 *** | 28.474 | - | - |
| 2005 | - | - | - | - | 0.230 *** | 27.308 | - | - |
| 2006 | - | - | - | - | 0.182 *** | 21.714 | - | - |
| 2007 | - | - | - | - | 0.222 *** | 26.345 | - | - |
| 2008 | - | - | 0.186 *** | 22.200 | 0.210 *** | 25.042 | - | - |
| 2009 | - | - | 0.164 *** | 19.565 | 0.166 *** | 19.799 | - | - |
| 2010 | - | - | 0.090 *** | 10.971 | 0.15 *** | 18.085 | - | - |
| 2011 | - | - | 0.142 *** | 17.047 | 0.186 *** | 22.133 | - | - |
| 2012 | - | - | 0.087 *** | 10.631 | 0.237 *** | 28.065 | - | - |
| 2013 | 0.117 *** | 14.155 | 0.149 *** | 17.827 | 0.228 *** | 26.998 | 0.113 *** | 13.715 |
| 2014 | 0.098 *** | 11.897 | 0.136 *** | 16.364 | 0.252 *** | 29.754 | 0.137 *** | 16.584 |
| 2015 | 0.108 *** | 13.146 | 0.100 *** | 12.202 | 0.197 *** | 23.437 | 0.065 *** | 8.066 |
| 2016 | 0.128 *** | 15.400 | 0.089 *** | 10.934 | 0.199 *** | 24.533 | 0.100 *** | 12.306 |
| 2017 | 0.076 *** | 9.427 | 0.076 *** | 9.348 | 0.102 *** | 12.442 | 0.136 *** | 16.520 |
| 2018 | 0.077 *** | 9.519 | 0.110 *** | 13.344 | 0.132 *** | 15.921 | 0.090 *** | 11.051 |
| 2019 | 0.132 *** | 15.856 | 0.128 *** | 15.410 | 0.104 *** | 12.650 | 0.111 *** | 13.425 |
| 2020 | 0.143 *** | 17.142 | 0.099 *** | 11.980 | 0.100 *** | 12.149 | 0.161 *** | 19.250 |
| 2021 | 0.166 *** | 19.830 | 0.153 *** | 18.363 | 0.141 *** | 16.902 | 0.101 *** | 12.3109 |
| Year | CO2 | FVC | NDVI | NPP | ||||
| Moran’s I | z statistic | Moran’s I | z statistic | Moran’s I | z statistic | Moran’s I | z statistic | |
| 2000 | −0.013 | −1.055 | 0.1773 *** | 21.141 | 0.170 *** | 20.317 | - | - |
| 2001 | −0.014 | −1.073 | 0.1669 *** | 19.928 | 0.190 *** | 22.583 | 0.180 *** | 21.460 |
| 2002 | −0.014 | −1.102 | 0.186 *** | 22.129 | 0.206 *** | 24.540 | 0.147 *** | 17.609 |
| 2003 | −0.013 | −1.033 | 0.148 *** | 17.694 | 0.120 *** | 14.480 | 0.155 *** | 18.642 |
| 2004 | −0.011 | −0.789 | 0.050 *** | 6.406 | 0.137 *** | 16.471 | 0.229 *** | 27.213 |
| 2005 | 0.054 *** | 6.957 | 0.200 *** | 23.871 | 0.080 *** | 9.829 | 0.197 *** | 23.511 |
| 2006 | 0.055 *** | 7.104 | 0.071 *** | 8.783 | 0.032 *** | 4.215 | 0.118 *** | 14.268 |
| 2007 | 0.049 *** | 6.369 | 0.157 *** | 18.845 | 0.167 *** | 19.935 | 0.169 *** | 20.135 |
| 2008 | 0.010 * | 1.796 | 0.157 *** | 18.788 | 0.206 *** | 24.478 | 0.174 *** | 20.770 |
| 2009 | 0.014 ** | 2.254 | 0.180 *** | 21.472 | 0.111 *** | 13.408 | 0.157 *** | 18.787 |
| 2010 | 0.013 ** | 2.235 | 0.147 *** | 17.579 | 0.154 *** | 18.436 | 0.14 *** | 16.854 |
| 2011 | −0.001 | 0.427 | 0.136 *** | 16.411 | 0.162 *** | 19.456 | 0.128 *** | 15.421 |
| 2012 | −0.007 | −0.275 | 0.253 *** | 30.012 | 0.094 *** | 11.528 | 0.183 *** | 21.905 |
| 2013 | 0.020 *** | 2.919 | 0.149 *** | 17.845 | 0.157 *** | 18.767 | 0.165 *** | 19.753 |
| 2014 | 0.020 *** | 3.088 | 0.125 *** | 15.124 | 0.095 *** | 11.660 | 0.146 *** | 17.495 |
| 2015 | 0.012 ** | 2.082 | 0.163 *** | 19.515 | 0.156 *** | 18.617 | 0.198 *** | 23.602 |
| 2016 | 0.006 | 1.290 | 0.184 *** | 21.909 | 0.108 *** | 13.036 | 0.170 *** | 20.322 |
| 2017 | 0.017 ** | 2.548 | 0.118 *** | 14.290 | 0.103 *** | 12.525 | 0.099 *** | 11.997 |
| 2018 | 0.024 *** | 3.337 | 0.163 *** | 19.542 | 0.146 *** | 17.664 | 0.124 *** | 14.920 |
| 2019 | 0.026 *** | 3.565 | 0.174 *** | 20.807 | 0.124 *** | 14.896 | 0.181 *** | 21.620 |
| 2020 | 0.020 *** | 2.835 | 0.126 *** | 15.184 | 0.101 *** | 12.280 | 0.127 *** | 15.253 |
| 2021 | 0.026 *** | 3.590 | 0.123 *** | 14.808 | 0.093 *** | 11.399 | - | - |
Appendix A.2. Selecting Spatial Econometric Regression Models
u = λWu + ε
u = λWu + ε
| Model | CO | NO2 | PM2.5 | SO2 | ||||
| AIC | BIC | AIC | BIC | AIC | BIC | AIC | BIC | |
| SAC | 9.94 | 93.87 | 10,805.86 | 10,896.41 | 22,915.38 | 23,012.72 | 9060.76 | 9142.92 |
| SDM | 29.94 | 169.83 | 10,875.79 | 11,026.72 | 23,993.86 | 24,156.09 | 9115.01 | 9251.95 |
| Model | CO2 | FVC | NDVI | NPP | ||||
| AIC | BIC | AIC | BIC | AIC | BIC | AIC | BIC | |
| SAC | −7168.05 | −7070.72 | −25,115.73 | −25,018.39 | −29,723.88 | −29,626.54 | 40,215.95 | 40,311.86 |
| SDM | −7252.35 | −7090.12 | −24,500.88 | −24,338.65 | −29,439.61 | −29,277.38 | 40,992.48 | 41,152.33 |
Appendix B. The Distributions of the Dependent Variables



Appendix C. The Changes in Variables During the Sample Period
| Variables | Mean at the Start of the Sample Period | Mean at the End of the Sample Period | Absolute Change from the Start to the End of the Sample Period | Percentage Change from the Start to the End of the Sample Period | Mean Annual Absolute Change | Mean Annual Percentage Change (Arithmetic Mean) | Mean Annual Percentage Change (Geometric Mean) |
|---|---|---|---|---|---|---|---|
| CO | 1.174 | 0.675 | −0.499 | −42.5% | −0.062 | −5.3% | −6.7% |
| NO2 | 24.702 | 18.187 | −6.515 | −26.4% | −0.501 | −2.0% | −2.3% |
| PM2.5 | 42.516 | 29.504 | −13.012 | −30.6% | −0.620 | −1.5% | −1.7% |
| SO2 | 30.381 | 10.045 | −20.335 | −66.9% | −2.542 | −8.4% | −12.9% |
| CO2 | 15.568 | 16.658 | 1.090 | 7.0% | 0.052 | 0.3% | 0.3% |
| NDVI | 0.469 | 0.515 | 0.046 | 9.8% | 0.002 | 0.5% | 0.4% |
| FVC | 0.527 | 0.626 | 0.099 | 18.7% | 0.005 | 0.9% | 0.8% |
| NPP | 408.707 | 489.363 | 80.656 | 19.7% | 4.245 | 1.0% | 1.0% |
| PolicySpillover | 0.000 | 13.324 | 13.324 | - | 0.634 | - | - |
| Precipitation | 0.843 | 0.929 | 0.086 | 10.1% | 0.004 | 0.5% | 0.5% |
| WindSpeed | 2.486 | 2.516 | 0.030 | 1.2% | 0.001 | 0.1% | 0.1% |
| Temperature | 11.053 | 12.151 | 1.098 | 9.9% | 0.052 | 0.5% | 0.5% |
| GDPPerCapita | 8.474 | 10.199 | 1.725 | 20.4% | 0.082 | 1.0% | 0.9% |
| PopulationDensity | 0.273 | 0.304 | 0.031 | 11.2% | 0.001 | 0.5% | 0.5% |
| SecondaryIndustry | 0.386 | 0.381 | −0.006 | −1.5% | 0.000 | −0.1% | −0.1% |
| GovernmentSize | 0.125 | 0.298 | 0.173 | 138.5% | 0.008 | 6.6% | 4.2% |
| FinancialDevelopment | 0.829 | 1.119 | 0.290 | 35.0% | 0.014 | 1.7% | 1.4% |
| TradeOpenness | 0.109 | 0.174 | 0.066 | 60.4% | 0.003 | 2.9% | 2.3% |
| EnvironmentalPolicies | 0.002 | 0.281 | 0.279 | 12525.3% | 0.013 | 596.4% | 25.9% |
| EconomicPolicies | 0.000 | 0.241 | 0.241 | - | 0.011 | - | - |
References
- Abdulkarem, A.; Hou, W. The impact of organizational context on the levels of cross-border e-commerce adoption in Chinese SMEs: The moderating role of environmental context. J. Theor. Appl. Electron. Commer. Res. 2021, 16, 2732–2749. [Google Scholar] [CrossRef]
- Liu, A.; Osewe, M.; Shi, Y.; Zhen, X.; Wu, Y. Cross-border e-commerce development and challenges in China: A systematic literature review. J. Theor. Appl. Electron. Commer. Res. 2022, 17, 69–88. [Google Scholar] [CrossRef]
- Sun, X.; Huang, Q.; Zhang, H.; Zhao, X. Comprehensive pilot zones for cross-border E-commerce propel the digital transformation of manufacturing enterprises: New evidence from China. Electron. Commer. Res. 2024. [Google Scholar] [CrossRef]
- Yao, T.; Qiu, Z. Can e-commerce narrow regional economic disparities? Evidence from national e-commerce demonstration cities policy in China. GeoJournal 2024, 89, 165. [Google Scholar] [CrossRef]
- Liu, D.; Qiu, Z. Can e-commerce reduce urban CO2 emissions? Evidence from National E-commerce Demonstration Cities policy in China. Environ. Sci. Pollut. Res. 2023, 30, 58553–58568. [Google Scholar] [CrossRef]
- Zhou, C.; Li, B. How does e-commerce demonstration city improve urban innovation? Evidence from China. Econ. Transit. Institutional Change 2023, 31, 915–940. [Google Scholar] [CrossRef]
- Shenzhen Municipal People’s Government. Notice of the Shenzhen Municipal People’s Government on Issuing the Development Plan for Reinvigorating the Internet Industry in Shenzhen (2009–2015). 2009. Available online: https://www.sz.gov.cn/zfgb/2010/gb681/content/post_4999761.html (accessed on 1 September 2025).
- The State Council of the People’s Republic of China. State Council Approval on the Establishment of the China (Hangzhou) Comprehensive Pilot Zone for Cross-Border E-commerce. 2015. Available online: https://www.gov.cn/gongbao/content/2015/content_2838169.htm (accessed on 1 September 2025).
- Jiang, P.; Qin, S. E-commerce empowers urban entrepreneurial activity—Empirical evidence from the construction of national e-commerce demonstration cities. Cities 2024, 150, 105092. [Google Scholar] [CrossRef]
- Pan, X.; Zhou, C. The impact of e-commerce city pilot on the spatial agglomeration of high-end service industry in China. Int. Stud. Econ. 2023, 18, 326–350. [Google Scholar] [CrossRef]
- Wang, W.; Sun, M.; Zhou, D. The impact of cross-border e-commerce comprehensive pilot zone on corporate financial constraints in China. Humanit. Soc. Sci. Commun. 2025, 12, 1107. [Google Scholar] [CrossRef]
- Manta, A.G.; Doran, N.M.; Hurduzeu, G.; Bădîrcea, R.M.; Doran, M.D.; Manta, F.L. Is there a direct benefit of using electronic commerce and electronic banking in mitigating climate change? Clim. Change 2024, 177, 152. [Google Scholar] [CrossRef]
- Xie, H.; Chang, S.; Wang, Y.; Afzal, A. The impact of e-commerce on environmental sustainability targets in selected European countries. Econ. Res.-Ekon. Istraživanja 2023, 36, 230–242. [Google Scholar] [CrossRef]
- Liu, X.; Cui, W.; Zhang, S. Better e-commerce less carbon emissions in China? Energy 2025, 318, 134820. [Google Scholar] [CrossRef]
- Chen, W.; Yan, W. Impact of internet electronic commerce on SO2 pollution: Evidence from China. Environ. Sci. Pollut. Res. 2020, 27, 25801–25812. [Google Scholar] [CrossRef] [PubMed]
- Yu, W.; Wu, Y.; Tan, X.; Guo, X. The nexus between electronic commerce and environmental pollution: The roles of energy efficiency and resource consumption. Bus. Strategy Environ. 2024, 33, 2287–2300. [Google Scholar] [CrossRef]
- Bjerkan, K.Y.; Bjørgen, A.; Hjelkrem, O.A. E-commerce and prevalence of last mile practices. Transp. Res. Procedia 2020, 46, 293–300. [Google Scholar] [CrossRef]
- Le, H.T.K.; Carrel, A.L.; Shah, H. Impacts of online shopping on travel demand: A systematic review. Transp. Rev. 2021, 42, 273–295. [Google Scholar] [CrossRef]
- Kemp, R.; Volpi, M. The diffusion of clean technologies: A review with suggestions for future diffusion analysis. J. Clean. Prod. 2008, 16, S14–S21. [Google Scholar] [CrossRef]
- Ali, S.A.S.; Ilankoon, I.M.S.K.; Zhang, L.; Tan, J. Packaging plastic waste from e-commerce sector: The Indian scenario and a multi-faceted cleaner production solution towards waste minimisation. J. Clean. Prod. 2024, 447, 141444. [Google Scholar] [CrossRef]
- Kim, Y.; Kang, J.; Chun, H. Is online shopping packaging waste a threat to the environment? Econ. Lett. 2022, 214, 110398. [Google Scholar] [CrossRef]
- Okubo, T.; Picard, P.M.; Thisse, J. The spatial selection of heterogeneous firms. J. Int. Econ. 2010, 82, 230–237. [Google Scholar] [CrossRef]
- Liu, Y.; Zhang, M.; Fan, B.; Fu, S.; Liu, Y. The green side of digital trade: Evaluating the impact of National E-commerce Demonstration Cities policy. Int. Rev. Econ. Financ. 2025, 99, 104071. [Google Scholar] [CrossRef]
- Qiao, L.; Huo, D.; Sun, T.; Zhao, Z.; Ma, L.; Wu, Z. Cross-border e-business and air quality: A quasi-natural experiment from the perspective of natural resources. Sustainability 2025, 17, 2836. [Google Scholar] [CrossRef]
- Zhang, Z.; Sun, Z.; Lu, H. Does the e-commerce city pilot reduce environmental pollution? Evidence from 265 cities in China. Front. Environ. Sci. 2022, 10, 813347. [Google Scholar] [CrossRef]
- Jiang, H.; Hu, W.; Guo, Z.; Hou, Y.; Chen, T. E-commerce development and carbon emission efficiency: Evidence from 240 cities in China. Econ. Anal. Policy 2024, 82, 586–603. [Google Scholar] [CrossRef]
- Wen, L.; Sun, S. The impact of urban e-commerce transformation on carbon emissions in Chinese cities: An empirical analysis based on the PSM-DID method. Sustainability 2023, 15, 5659. [Google Scholar] [CrossRef]
- Ni, L.; Wen, H.; Ding, X. Impact of digital trade policy on regional carbon efficiency: A quasi-experimental study in China. Sci. Rep. 2024, 14, 28871. [Google Scholar] [CrossRef]
- Zhang, R.; Liu, H.; Xie, K.; Xiao, W.; Bai, C. Toward a low carbon path: Do e-commerce reduce CO2 emissions? Evidence from China. J. Environ. Manag. 2024, 351, 119805. [Google Scholar] [CrossRef]
- Delgado, M.S.; Florax, R.J.G.M. Difference-in-differences techniques for spatial data: Local autocorrelation and spatial interaction. Econ. Lett. 2015, 137, 123–126. [Google Scholar] [CrossRef]
- Ferman, B. Inference in difference-in-differences: How much should we trust in independent clusters? J. Appl. Econom. 2023, 38, 358–369. [Google Scholar] [CrossRef]
- Santika, T.; Nelson, V.; Haggar, J.; Thushari, I. Trade agreements and environmental provisions: A counterfactual analysis of environmental impact shifting under global economic inequality. Glob. Environ. Change 2025, 93, 103028. [Google Scholar] [CrossRef]
- Bartram, S.M.; Hou, K.; Kim, S. Real effects of climate policy: Financial constraints and spillovers. J. Financ. Econ. 2022, 143, 668–696. [Google Scholar] [CrossRef]
- Caron, J.; Rausch, S.; Winchester, N. Leakage from sub-national climate policy: The case of California’s cap-and-trade program. Energy J. 2015, 36, 167–190. [Google Scholar] [CrossRef]
- Ambec, S.; Esposito, F.; Pacelli, A. The economics of carbon leakage mitigation policies. J. Environ. Econ. Manag. 2024, 125, 102973. [Google Scholar] [CrossRef]
- Li, Y.; Li, Y.; Shi, Y.; Wang, P.; Zhang, Y. Measuring global FDI-embodied carbon emissions. Emerg. Mark. Financ. Trade 2025, 61, 1596–1613. [Google Scholar] [CrossRef]
- Wei, J.; Li, Z.; Lyapustin, A.; Sun, L.; Peng, Y.; Xue, W.; Su, T.; Cribb, M. Reconstructing 1-km-resolution high-quality PM2.5 data records from 2000 to 2018 in China: Spatiotemporal variations and policy implications. Remote Sens. Environ. 2021, 252, 112136. [Google Scholar] [CrossRef]
- Wei, J.; Li, Z.; Wang, J.; Li, C.; Gupta, P.; Cribb, M. Ground-level gaseous pollutants (NO2, SO2, and CO) in China: Daily seamless mapping and spatiotemporal variations. Atmos. Chem. Phys. 2023, 23, 1511–1532. [Google Scholar] [CrossRef]
- Gao, J.; Shi, Y.; Zhang, H.; Chen, X.; Zhang, W.; Shen, W.; Xiao, T.; Zhang, Y. China regional 250m Fractional Vegetation Cover Data Set (2000–2024). National Tibetan Plateau/Third Pole Environment Data Center 2022. Available online: https://data.tpdc.ac.cn/en/data/f3bae344-9d4b-4df6-82a0-81499c0f90f7 (accessed on 1 September 2025).
- Li, M.; Cao, S.; Zhu, Z.; Wang, Z.; Myneni, R.B.; Piao, S. Spatiotemporally consistent global dataset of the GIMMS Normalized Difference Vegetation Index (PKU GIMMS NDVI) from 1982 to 2022. Earth Syst. Sci. Data 2023, 15, 4181–4203. [Google Scholar] [CrossRef]
- Liu, H.; Zhang, H. Regional variations in environmental policy implementation: The impacts of China’s rural human settlement environment policy on rural pollution. J. Environ. Policy Plan. 2024, 26, 543–557. [Google Scholar] [CrossRef]
- Park, D.; Howard, J.; Ridley, W. Regional heterogeneity in environmental quality: The role of firm production networks and trade. J. Assoc. Environ. Resour. Econ. 2024, 11, 1311–1349. [Google Scholar] [CrossRef]
- Anacka, H.; Lechman, E. Network effects—Do they matter for digital technologies diffusion? J. Organ. Change Manag. 2023, 36, 703–723. [Google Scholar] [CrossRef]
- Suarez, F.F. Network effects revisited: The role of strong ties in technology selection. Acad. Manag. J. 2005, 48, 710–720. [Google Scholar] [CrossRef]
- Mashalah, H.A.; Hassini, E.; Gunasekaran, A.; Bhatt, D. The impact of digital transformation on supply chains through e-commerce: Literature review and a conceptual framework. Transp. Res. Part E Logist. Transp. Rev. 2022, 165, 102837. [Google Scholar] [CrossRef]
- Camilli, A.; Catalano, M.; Colacurcio, C.; Dierx, A.; Ilzkovitz, F. Revitalising EU growth: The power of competitive markets. J. Policy Model. 2025, 47, 1056–1075. [Google Scholar] [CrossRef]
- Chepeliev, M.; Maliszewska, M.; Osorio-Rodarte, I.; e Pereira, M.F.S.; van der Mensbrugghe, D. Lowering trade barriers improves income distribution and economic resiliency. J. Policy Model. 2025, 47, 30–48. [Google Scholar] [CrossRef]
- Bellucci, C.; Rubínová, S.; Piermartini, R. Better together: How digital connectivity and regulation reduce trade costs. Rev. Int. Econ. 2025, 33, 796–814. [Google Scholar] [CrossRef]
- Ren, X.; Zeng, G.; Gozgor, G. How does digital finance affect industrial structure upgrading? Evidence from Chinese prefecture-level cities. J. Environ. Manag. 2023, 330, 117125. [Google Scholar] [CrossRef] [PubMed]
- Wu, L.; Sun, L.; Qi, P.; Ren, X.; Sun, X. Energy endowment, industrial structure upgrading, and CO2 emissions in China: Revisiting resource curse in the context of carbon emissions. Resour. Policy 2021, 74, 102329. [Google Scholar] [CrossRef]
- Chen, Z.; Kahn, M.E.; Liu, Y.; Wang, Z. The consequences of spatially differentiated water pollution regulation in China. J. Environ. Econ. Manag. 2018, 88, 468–485. [Google Scholar] [CrossRef]
- Bardaka, E.; Delgado, M.S.; Florax, R.J.G.M. Causal identification of transit-induced gentrification and spatial spillover effects: The case of the Denver light rail. J. Transp. Geogr. 2018, 71, 15–31. [Google Scholar] [CrossRef]
- Shahriari, S.; Siripanich, A.; Rashidi, T. Estimating the impact of cycling infrastructure improvements on usage: A spatial difference-in-differences approach. J. Transp. Geogr. 2024, 121, 104012. [Google Scholar] [CrossRef]
- Vilalta, C.; Lopez-Ramirez, P.; Fondevila, G. Testing the local and spatial spillover effects of police monitored CCTV systems on crime. Appl. Geogr. 2023, 151, 102873. [Google Scholar] [CrossRef]
- Li, G.; Li, X.; Huo, L. Digital economy, spatial spillover and industrial green innovation efficiency: Empirical evidence from China. Heliyon 2023, 9, e12875. [Google Scholar] [CrossRef] [PubMed]
- Liu, J.; Yuan, Y.; Lin, C.; Chen, L. Do agricultural technical efficiency and technical progress drive agricultural carbon productivity? Based on spatial spillovers and threshold effects. Environ. Dev. Sustain. 2025, 27, 7701–7725. [Google Scholar] [CrossRef]
- Luo, C.; Du, J.; Yang, F. Spatial spillover effects of technological progress on energy intensity in China from the productivity improvement perspective. Sci. Rep. 2025, 15, 32202. [Google Scholar] [CrossRef]
- Peng, W.; Yin, Y.; Kuang, C.; Wen, Z.; Kuang, J. Spatial spillover effect of green innovation on economic development quality in China: Evidence from a panel data of 270 prefecture-level and above cities. Sustain. Cities Soc. 2021, 69, 102863. [Google Scholar] [CrossRef]
- Belotti, F.; Hughes, G.; Mortari, A.P. Spatial panel-data models using Stata. Stata J. 2017, 17, 139–180. [Google Scholar] [CrossRef]







| Variables | CO | NO2 | PM2.5 | SO2 | CO2 | FVC | NDVI |
|---|---|---|---|---|---|---|---|
| NO2 | 0.7201 *** | ||||||
| PM2.5 | 0.7581 *** | 0.8218 *** | |||||
| SO2 | 0.7772 *** | 0.6675 *** | 0.6924 *** | ||||
| CO2 | 0.2885 *** | 0.4523 *** | 0.2966 *** | 0.3131 *** | |||
| FVC | 0.0392 * | 0.0673 *** | −0.0234 | −0.0942 *** | 0.128 *** | ||
| NDVI | −0.0151 | −0.0667 *** | −0.1002 *** | −0.1641 *** | 0.0309 ** | 0.9532 *** | |
| NPP | −0.1357 *** | −0.2706 *** | −0.3484 *** | −0.2150 *** | −0.0423 *** | 0.8062 *** | 0.8464 *** |
| Variable Name | Description and Measurement |
|---|---|
| Precipitation | Annual total precipitation (Unit: m) |
| WindSpeed | Annual average wind speed (Unit: m/s) |
| Temperature | Annual average temperature (℃) |
| GDPPerCapita | Natural logarithm of GDP per capita (Unit: CNY in constant 2000 price level) |
| PopulationDensity | Population density (Unit: thousands of people/km2) |
| SecondaryIndustry | Share of secondary industry in the economy, measured by the ratio of value-added of the secondary industry to GDP |
| GovernmentSize | Government size, measured by the ratio of government fiscal expenditure to GDP |
| FinancialDevelopment | Financial development, measured by the ratio of total bank loans to GDP |
| TradeOpenness | Trade openness, measured by the ratio of total imports and exports to GDP |
| EnvironmentalPolicies | Environmental policies, a composite index of place-based environmental policies proxied by the first principal component of the 16 dummy variables for 16 environmental policies listed in Table 3, normalized to the range between 0 and 1 |
| EconomicPolicies | Economic policies, a composite index of place-based economic policies proxied by the first principal component of the 17 dummy variables for 17 economic policies listed in Table 3, normalized to the range between 0 and 1 |
| Policy Start Year | Policy Name | Policy Type |
|---|---|---|
| 2003 | ecological environment monitoring pilot zones | environmental policy |
| 2006 | plan on the rise of Central China | economic policy |
| 2007 | pollution emissions trading system pilot zones | environmental policy |
| 2008 | resource-exhausted city support policy | economic policy |
| 2009 | national independent innovation demonstration zones | economic policy |
| 2010 | low-carbon city pilot project | environmental policy |
| 2011 | comprehensive demonstration cities for energy saving and emission reduction fiscal policies | environmental policy |
| grassland ecological compensation policy | environmental policy | |
| pilot project to promote the integration of technology and finance | economic policy | |
| 2012 | clean energy demonstration provinces | environmental policy |
| smart-tourism city pilot project | economic policy | |
| 2013 | action plan for air pollution prevention and control | environmental policy |
| carbon emissions trading system pilot zones | environmental policy | |
| internet demonstration cities | economic policy | |
| national sustainable development plan for resource-based cities | economic policy | |
| smart-city pilot project | economic policy | |
| south-to-north water diversion project | environmental policy | |
| 2014 | Broadband China pilot project | economic policy |
| household registration system reform | economic policy | |
| information benefiting-the-people pilot cities | economic policy | |
| national new-type urbanization comprehensive pilot zones | economic policy | |
| new energy demonstration cities | environmental policy | |
| 2016 | circular-economy city pilot project | environmental policy |
| energy-use rights trading system pilot zones | environmental policy | |
| national big data comprehensive pilot zones | economic policy | |
| national ecological conservation pilot zones | environmental policy | |
| pilot program for innovative development of service trade | economic policy | |
| 2017 | clean winter-heating plan in Northern China | environmental policy |
| demonstration zones for industrial transformation and upgrading in old industrial cities and resource-based cities | economic policy | |
| 2018 | three-year action plan to fight air pollution | environmental policy |
| 2019 | pilot program for zero-waste city construction | environmental policy |
| pilot program on central government fiscal support for housing rental market development | economic policy | |
| 2021 | urban renewal pilot program | economic policy |
| Variables | Measurement Unit | Number of Observations | Mean | Standard Deviation | Minimum | Maximum |
|---|---|---|---|---|---|---|
| CO | mg/m3 | 1989 | 0.935 | 0.290 | 0.393 | 2.157 |
| NO2 | µg/m3 | 3094 | 24.230 | 8.989 | 9.125 | 54.265 |
| PM2.5 | µg/m3 | 4862 | 46.205 | 17.088 | 12.817 | 112.078 |
| SO2 | µg/m3 | 1989 | 18.802 | 12.219 | 4.952 | 102.562 |
| CO2 | t | 4862 | 16.285 | 0.952 | 13.207 | 19.938 |
| FVC | - | 4862 | 0.571 | 0.215 | 0.028 | 0.908 |
| NDVI | - | 4862 | 0.485 | 0.163 | 0.115 | 0.799 |
| NPP | gC/m2 | 4420 | 456.001 | 264.697 | 2.085 | 1639.293 |
| PolicySpillover | - | 4862 | 3.697 | 4.973 | 0.000 | 23.579 |
| Precipitation | m | 4862 | 0.862 | 0.487 | 0.027 | 2.499 |
| WindSpeed | m/s | 4862 | 2.501 | 0.691 | 1.088 | 6.708 |
| Temperature | °C | 4862 | 11.647 | 6.526 | −7.822 | 24.301 |
| GDPPerCapita | CNY | 4862 | 9.459 | 0.757 | 7.056 | 11.723 |
| PopulationDensity | 1000 persons/km2 | 4862 | 0.291 | 0.271 | 0.000 | 1.537 |
| SecondaryIndustry | - | 4862 | 0.434 | 0.129 | 0.066 | 0.910 |
| GovernmentSize | - | 4862 | 0.244 | 0.238 | 0.043 | 3.581 |
| FinancialDevelopment | - | 4862 | 0.775 | 0.385 | 0.000 | 5.748 |
| TradeOpenness | - | 4862 | 0.121 | 0.343 | 0.000 | 7.919 |
| EnvironmentalPolicies | - | 4862 | 0.060 | 0.126 | 0.000 | 1.000 |
| EconomicPolicies | - | 4862 | 0.087 | 0.140 | 0.000 | 1.000 |
| Variables | CO | NO2 | PM2.5 | SO2 |
| (i) | (ii) | (iii) | (iv) | |
| PolicySpillover | −0.00847 * | −0.254 *** | −0.398 *** | −0.975 *** |
| [0.005] | [0.044] | [0.079] | [0.162] | |
| Precipitation | 0.0232 | −0.885 *** | −2.715 *** | 0.127 |
| [0.026] | [0.228] | [0.324] | [0.985] | |
| WindSpeed | −0.00677 | −3.073 *** | −2.150 *** | −2.145 |
| [0.037] | [0.471] | [0.685] | [1.606] | |
| Temperature | 0.0327 *** | 0.392 *** | 0.648 *** | 0.740 *** |
| [0.007] | [0.087] | [0.163] | [0.273] | |
| GDPPerCapita | −0.00274 | 0.0778 | −1.275 ** | 3.768 ** |
| [0.035] | [0.505] | [0.498] | [1.661] | |
| PopulationDensity | 0.0159 | 2.762 * | 1.946 | 4.953 * |
| [0.062] | [1.663] | [1.699] | [2.574] | |
| SecondaryIndustry | −0.0425 | 2.890 ** | 2.376 | −7.784 * |
| [0.092] | [1.286] | [1.532] | [4.359] | |
| GovernmentSize | −0.0566 | −0.431 | −3.516 *** | 1.053 |
| [0.040] | [0.470] | [0.667] | [1.706] | |
| FinancialDevelopment | −0.0061 | −0.485 ** | −0.871 *** | 0.831 |
| [0.015] | [0.198] | [0.324] | [0.728] | |
| TradeOpenness | 0.0133 * | 0.201 *** | 0.190 * | 0.317 |
| [0.007] | [0.067] | [0.103] | [0.277] | |
| EnvironmentalPolicies | −0.364 *** | −4.618 *** | −9.323 *** | −17.31 *** |
| [0.045] | [0.771] | [1.723] | [2.499] | |
| EconomicPolicies | 0.0987 | 0.202 | 1.894 * | −11.41 ** |
| [0.080] | [0.842] | [1.050] | [5.414] | |
| WY | 0.953 *** | 0.937 *** | 0.969 *** | 0.961 *** |
| [0.004] | [0.007] | [0.002] | [0.004] | |
| Wu | 0.945 *** | 0.935 *** | 0.969 *** | 0.950 *** |
| [0.004] | [0.008] | [0.002] | [0.007] | |
| City-fixed effect | Yes | Yes | Yes | Yes |
| Year-fixed effect | Yes | Yes | Yes | Yes |
| Number of observations | 1989 | 3094 | 4862 | 1989 |
| Within R2 | 0.617 | 0.454 | 0.482 | 0.511 |
| Variables | CO2 | FVC | NDVI | NPP |
| (v) | (vi) | (vii) | (viii) | |
| PolicySpillover | −0.0112 *** | 0.00154 *** | 0.000885 ** | 1.606 *** |
| [0.003] | [0.001] | [0.000] | [0.616] | |
| Precipitation | −0.0088 | 0.00718 ** | 0.00771 *** | 19.07 *** |
| [0.012] | [0.003] | [0.002] | [5.870] | |
| WindSpeed | −0.0283 | −0.0225 *** | −0.0178 *** | −3.898 |
| [0.024] | [0.006] | [0.004] | [6.762] | |
| Temperature | 0.000182 | 0.00329 *** | 0.00104 | −8.361 *** |
| [0.004] | [0.001] | [0.001] | [1.397] | |
| GDPPerCapita | −0.0301 | 0.0101 ** | 0.00543 * | 12.02 ** |
| [0.023] | [0.005] | [0.003] | [4.972] | |
| PopulationDensity | 0.0962 | 0.00692 | 0.00616 | −21.68 * |
| [0.085] | [0.022] | [0.014] | [13.119] | |
| SecondaryIndustry | −0.113 | −0.0328 *** | −0.0162 ** | −36.04 *** |
| [0.071] | [0.011] | [0.007] | [13.742] | |
| GovernmentSize | −0.118 *** | −0.00764 | −0.0117 *** | −3.307 |
| [0.040] | [0.005] | [0.004] | [5.059] | |
| FinancialDevelopment | 0.0137 | −0.00462 ** | 0.0000961 | −6.143 ** |
| [0.016] | [0.002] | [0.002] | [2.877] | |
| TradeOpenness | −0.0196 | 0.00230 ** | 0.00217 | −1.340 |
| [0.018] | [0.001] | [0.002] | [1.793] | |
| EnvironmentalPolicies | 0.0355 | −0.00449 | −0.00588 | −3.402 |
| [0.043] | [0.007] | [0.005] | [7.448] | |
| EconomicPolicies | 0.110 ** | 0.00323 | −0.00131 | 10.55 |
| [0.055] | [0.008] | [0.006] | [8.379] | |
| WY | 0.469 *** | 0.951 *** | 0.937 *** | 0.959 *** |
| [0.135] | [0.002] | [0.006] | [0.002] | |
| Wu | −0.0541 | 0.952 *** | 0.936 *** | 0.960 *** |
| [0.281] | [0.002] | [0.006] | [0.002] | |
| City-fixed effect | Yes | Yes | Yes | Yes |
| Year-fixed effect | Yes | Yes | Yes | Yes |
| Number of observations | 4862 | 4862 | 4862 | 4420 |
| Within R2 | 0.645 | 0.568 | 0.574 | 0.233 |
| Effects of | CO | NO2 | PM2.5 | SO2 |
| PolicySpillover | (i) | (ii) | (iii) | (iv) |
| Direct effect | −0.00909 * | −0.271 *** | −0.453 *** | −1.083 *** |
| [0.005] | [0.049] | [0.093] | [0.189] | |
| Indirect effect | −0.165 * | −3.787 *** | −12.41 *** | −23.94 *** |
| [0.093] | [0.808] | [2.677] | [5.394] | |
| Total effect | −0.174 * | −4.058 *** | −12.87 *** | −25.03 *** |
| [0.098] | [0.849] | [2.767] | [5.571] | |
| Effects of | CO2 | FVC | NDVI | NPP |
| PolicySpillover | (v) | (vi) | (vii) | (viii) |
| Direct effect | −0.0111 *** | 0.00170 *** | 0.000965 ** | 1.807 *** |
| [0.004] | [0.001] | [0.000] | [0.700] | |
| Indirect effect | −0.0108 | 0.0304 *** | 0.0135 ** | 37.59 *** |
| [0.008] | [0.011] | [0.007] | [14.403] | |
| Total effect | −0.0219 ** | 0.0321 *** | 0.0144 ** | 39.40 *** |
| [0.010] | [0.012] | [0.007] | [15.098] |
| Total Effects | CO | NO2 | PM2.5 | SO2 |
| (i) | (ii) | (iii) | (iv) | |
| PolicySpillover[0, 1000km] | −0.104 *** | −0.661 *** | −3.126 *** | −5.876 *** |
| [0.017] | [0.094] | [0.425] | [1.209] | |
| PolicySpillover(1000km, 1500km] | 0.0391 | −0.571 *** | 0.212 | −1.912 * |
| [0.026] | [0.189] | [0.956] | [1.157] | |
| PolicySpillover(1500km, 2000km] | −0.0145 | 0.483 | 1.378 | −5.122 *** |
| [0.040] | [0.389] | [1.341] | [1.423] | |
| Total effects | CO2 | FVC | NDVI | NPP |
| (v) | (vi) | (vii) | (viii) | |
| PolicySpillover[0, 1000km] | −0.00255 ** | 0.00309 * | 0.00128 | 0.212 |
| [0.001] | [0.002] | [0.001] | [3.516] | |
| PolicySpillover(1000km, 1500km] | −0.00770 *** | 0.0209 *** | 0.00907 *** | 30.60 *** |
| [0.003] | [0.004] | [0.002] | [5.939] | |
| PolicySpillover(1500km, 2000km] | 0.00266 | −0.00271 | −0.00251 | −3.239 |
| [0.004] | [0.002] | [0.002] | [5.164] |
| Effects | Variables | CO | NO2 | PM2.5 | SO2 |
| (i) | (ii) | (iii) | (iv) | ||
| Direct effect | BNEDCSpillover | −0.0913 | −2.711 *** | −2.266 ** | −47.60 *** |
| [0.158] | [0.580] | [0.910] | [13.246] | ||
| CPZCESpillover | −0.124 *** | −4.399 *** | −12.56 *** | −11.81 *** | |
| [0.048] | [0.620] | [1.256] | [2.581] | ||
| Indirect effect | BNEDCSpillover | −0.754 | −41.41 * | −64.01 * | −946.1 *** |
| [5.429] | [23.039] | [33.096] | [277.452] | ||
| CPZCESpillover | −0.810 | −66.85 ** | −354.8 *** | −236.5 *** | |
| [1.533] | [30.282] | [102.807] | [62.907] | ||
| Total effect | BNEDCSpillover | −0.845 | −44.12 * | −66.28 * | −993.7 *** |
| [5.495] | [23.346] | [33.848] | [289.966] | ||
| CPZCESpillover | −0.934 | −71.25 ** | −367.4 *** | −248.3 *** | |
| [1.545] | [30.549] | [103.552] | [65.342] | ||
| Effects | Variables | CO2 | FVC | NDVI | NPP |
| (v) | (vi) | (vii) | (viii) | ||
| Direct effect | BNEDCSpillover | −0.203 *** | 0.000958 | −0.00476 | 26.75 *** |
| [0.027] | [0.026] | [0.015] | [8.214] | ||
| CPZCESpillover | −0.0526 | 0.0158 ** | 0.0106 * | 12.36 | |
| [0.034] | [0.008] | [0.006] | [12.976] | ||
| Indirect effect | BNEDCSpillover | −0.214 * | 0.0161 | −0.0642 | 601.2 ** |
| [0.112] | [0.429] | [0.214] | [258.482] | ||
| CPZCESpillover | −0.0551 | 0.268 ** | 0.147 * | 282.6 | |
| [0.047] | [0.134] | [0.080] | [329.784] | ||
| Total effect | BNEDCSpillover | −0.417 *** | 0.0171 | −0.0689 | 628.0 ** |
| [0.118] | [0.454] | [0.229] | [264.886] | ||
| CPZCESpillover | −0.108 | 0.284 ** | 0.158 * | 294.9 | |
| [0.076] | [0.141] | [0.085] | [341.836] |
| Types of Robustness Checks | Variables | CO | NO2 | PM2.5 | SO2 |
| (i) | (ii) | (iii) | (iv) | ||
| (a) Use alternative spatial weights matrix W0.5 | PolicySpillover | −0.175 ** | −3.027 *** | −9.717 *** | −19.83 *** |
| [0.078] | [0.616] | [2.062] | [3.915] | ||
| (b) Use alternative spatial weights matrix W[0, 1000km] | PolicySpillover | −0.0864 *** | −0.881 *** | −3.107 *** | −5.625 *** |
| [0.019] | [0.172] | [0.578] | [1.217] | ||
| (c) Exclude sample before 2006 | PolicySpillover | −0.174 * | −4.058 *** | −15.68 *** | −25.03 *** |
| [0.098] | [0.849] | [2.685] | [5.571] | ||
| (d) Use winsorized variables | PolicySpillover | −0.209 ** | −4.179 *** | −13.66 *** | −29.01 *** |
| [0.099] | [0.851] | [2.832] | [5.746] | ||
| (e) Use one-year-lagged socioeconomic covariates | PolicySpillover | −0.133 | −3.798 *** | −13.71 *** | −22.61 *** |
| [0.100] | [0.826] | [2.666] | [5.541] | ||
| (f) Without covariates in the regression equation | PolicySpillover | −0.336 *** | −6.329 *** | −16.59 *** | −42.36 *** |
| [0.130] | [1.186] | [3.203] | [7.271] | ||
| Types of robustness checks | Variables | CO2 | FVC | NDVI | NPP |
| (v) | (vi) | (vii) | (viii) | ||
| (a) Use alternative spatial weights matrix W0.5 | PolicySpillover | −0.0170 ** | 0.0339 *** | 0.0156 *** | 38.26 *** |
| [0.008] | [0.007] | [0.005] | [9.982] | ||
| (b) Use alternative spatial weights matrix W[0, 1000km] | PolicySpillover | −0.00461 ** | 0.00841 *** | 0.00442 *** | 8.796 *** |
| [0.002] | [0.002] | [0.001] | [3.134] | ||
| (c) Exclude sample before 2006 | PolicySpillover | −0.0217 ** | 0.0233 ** | 0.00541 | 35.23 *** |
| [0.010] | [0.010] | [0.005] | [12.278] | ||
| (d) Use winsorized variables | PolicySpillover | −0.0271 | 0.0329 *** | 0.0144 ** | 38.47 *** |
| [0.094] | [0.011] | [0.007] | [14.292] | ||
| (e) Use one-year-lagged socioeconomic covariates | PolicySpillover | −0.0225 ** | 0.0289 ** | 0.0111 | 38.61 *** |
| [0.010] | [0.012] | [0.007] | [14.967] | ||
| (f) Without covariates in the regression equation | PolicySpillover | −0.0100 | 0.0411 *** | 0.0207 *** | 50.95 *** |
| [0.007] | [0.012] | [0.007] | [14.572] |
| Types of heterogeneities | Variables | CO | NO2 | PM2.5 | SO2 |
| (i) | (ii) | (iii) | (iv) | ||
| (a) Different geographical locations | PolicySpillover × DGroup1 (eastern and central regions) | −0.180 *** | −3.992 *** | −12.99 *** | −24.24 *** |
| [0.059] | [0.873] | [2.808] | [5.371] | ||
| PolicySpillover × DGroup2 (western region) | −0.0727 | −3.642 *** | −13.49 *** | −21.11 *** | |
| [0.106] | [1.032] | [3.700] | [5.707] | ||
| (b) Different servicification levels | PolicySpillover × DGroup1 (high servicification level) | −0.162 | −3.943 *** | −1.693 *** | −23.33 *** |
| [0.105] | [0.883] | [0.612] | [5.623] | ||
| PolicySpillover × DGroup2 (low servicification level) | −0.191 ** | −4.282 *** | −2.432 *** | −26.86 *** | |
| [0.093] | [0.903] | [0.704] | [5.672] | ||
| (c) Different economic scale | PolicySpillover × DGroup1 (large economic scale) | −0.185 * | −4.051 *** | −12.94 *** | −25.57 *** |
| [0.097] | [0.879] | [2.789] | [5.630] | ||
| PolicySpillover × DGroup2 (small economic scale) | −0.115 | −3.165 *** | −11.75 *** | −21.25 *** | |
| [0.108] | [0.839] | [3.106] | [5.086] | ||
| (b) Different population density | PolicySpillover × DGroup1 (high population density) | −0.203 *** | 0.0325 | −11.70 *** | −23.76 *** |
| [0.062] | [0.031] | [3.472] | [5.530] | ||
| PolicySpillover × DGroup2 (low population density) | −0.230 ** | −0.0676 * | −3.322 * | −16.44 *** | |
| [0.104] | [0.037] | [1.753] | [5.692] | ||
| Types of heterogeneities | Variables | CO2 | FVC | NDVI | NPP |
| (v) | (vi) | (vii) | (viii) | ||
| (a) Different geographical locations | PolicySpillover × DGroup1 (eastern and central regions) | −0.0226 ** | 0.0356 *** | 0.00125 * | 49.19 *** |
| [0.011] | [0.011] | [0.001] | [14.846] | ||
| PolicySpillover × DGroup2 (western region) | −0.0242 * | 0.0543 *** | 0.000818 | 97.92 *** | |
| [0.015] | [0.015] | [0.001] | [21.416] | ||
| (b) Different servicification levels | PolicySpillover × DGroup1 (high servicification level) | −0.0211 ** | 0.0275 ** | 0.0139 * | 31.39 ** |
| [0.010] | [0.012] | [0.007] | [15.111] | ||
| PolicySpillover × DGroup2 (low servicification level) | −0.0235 ** | 0.0375 *** | 0.0154 ** | 49.44 *** | |
| [0.011] | [0.012] | [0.007] | [15.628] | ||
| (c) Different economic scale | PolicySpillover × DGroup1 (large economic scale) | −0.0220 ** | 0.0324 *** | 0.0146 ** | 39.74 *** |
| [0.011] | [0.012] | [0.007] | [14.896] | ||
| PolicySpillover × DGroup2 (small economic scale) | −0.0143 | 0.0291 ** | 0.0158 ** | 24.16 | |
| [0.010] | [0.012] | [0.007] | [16.472] | ||
| (b) Different population density | PolicySpillover × DGroup1 (high population density) | −0.0216 *** | 0.0334 *** | 0.0156 ** | 40.69 *** |
| [0.006] | [0.012] | [0.007] | [15.279] | ||
| PolicySpillover × DGroup2 (low population density) | −0.0180 *** | 0.0371 *** | 0.0194 ** | 33.77 ** | |
| [0.005] | [0.014] | [0.008] | [15.481] |
| Effects of PolicySpillover | Industrial Structural Upgrading | Technological Progress | Green Innovation | Environmental Regulation |
|---|---|---|---|---|
| (i) | (ii) | (iii) | (iv) | |
| Direct effect | 0.575 *** | 0.0420 *** | 0.0514 *** | −0.165 |
| [0.177] | [0.013] | [0.014] | [0.197] | |
| Indirect effect | 1.510 ** | 0.267 *** | 0.130 *** | −0.0788 |
| [0.738] | [0.097] | [0.045] | [0.103] | |
| Total effect | 2.085 ** | 0.309 *** | 0.182 *** | −0.244 |
| [0.883] | [0.108] | [0.058] | [0.296] |
| Parts of Empirical Analysis | Results |
|---|---|
| Core analysis | e-commerce development policies exerted significant beneficial impacts on the environment of non-policy areas: reducing CO, NO2, PM2.5, SO2, and CO2; and increasing FVC, NDVI, and NPP |
| Spatial reach of policy effects | the spatial reach of the policy effects spanned a distance of approximately 1000 to 1500 km |
| Respective impacts of BNEDC and CPZCE policies | both policies contributed to improved environmental quality in non-policy areas |
| Robustness checks | results are robust to alternative model specifications, samples, and variable selections |
| Heterogeneity analysis | no obvious heterogeneity is found |
| Mechanism analysis | policies promoted industrial structure upgrading, technological progress, and green innovation in non-policy areas |
Disclaimer/Publisher’s Note: The statements, opinions and data contained in all publications are solely those of the individual author(s) and contributor(s) and not of MDPI and/or the editor(s). MDPI and/or the editor(s) disclaim responsibility for any injury to people or property resulting from any ideas, methods, instructions or products referred to in the content. |
© 2025 by the authors. Licensee MDPI, Basel, Switzerland. This article is an open access article distributed under the terms and conditions of the Creative Commons Attribution (CC BY) license (https://creativecommons.org/licenses/by/4.0/).
Share and Cite
Zheng, D.; Dong, D. China’s Place-Based E-Commerce Development Policies Generated Beneficial Spatial Spillover Effects on the Environment. J. Theor. Appl. Electron. Commer. Res. 2025, 20, 322. https://doi.org/10.3390/jtaer20040322
Zheng D, Dong D. China’s Place-Based E-Commerce Development Policies Generated Beneficial Spatial Spillover Effects on the Environment. Journal of Theoretical and Applied Electronic Commerce Research. 2025; 20(4):322. https://doi.org/10.3390/jtaer20040322
Chicago/Turabian StyleZheng, Diwei, and Daxin Dong. 2025. "China’s Place-Based E-Commerce Development Policies Generated Beneficial Spatial Spillover Effects on the Environment" Journal of Theoretical and Applied Electronic Commerce Research 20, no. 4: 322. https://doi.org/10.3390/jtaer20040322
APA StyleZheng, D., & Dong, D. (2025). China’s Place-Based E-Commerce Development Policies Generated Beneficial Spatial Spillover Effects on the Environment. Journal of Theoretical and Applied Electronic Commerce Research, 20(4), 322. https://doi.org/10.3390/jtaer20040322

