The Impact of NPO Credibility on Enterprise Brand Image in Cause-Related Marketing: A Study Based on the Mediating Effect of Perceived Corporate Hypocrisy
Abstract
1. Introduction
2. Literature Review and Research Hypotheses
2.1. Affect-Transfer Model
2.2. NPO Credibility and Enterprise Brand Image
2.3. Mediating Effect of Perceived Corporate Hypocrisy
2.4. Moderating Effect of Public Emergency
3. Empirical Studies
3.1. Experiment 1
3.1.1. Participants, Procedure and Stimuli
3.1.2. Analysis and Results
3.2. Experiment 2
3.2.1. Participants, Procedure and Stimuli
3.2.2. Analysis and Results
3.3. Experiment 3
3.3.1. Participants, Procedure and Stimuli
3.3.2. Analysis and Results
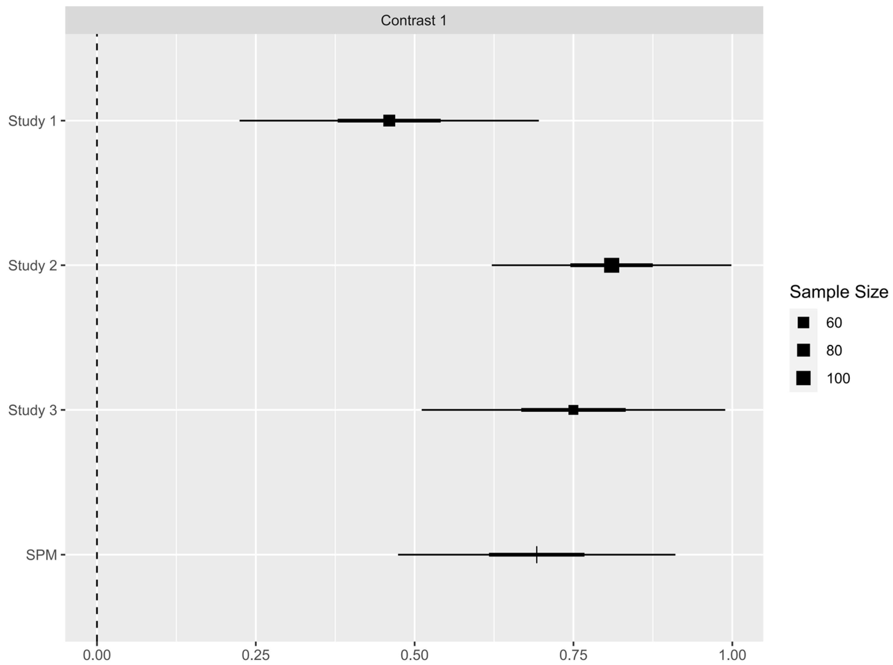
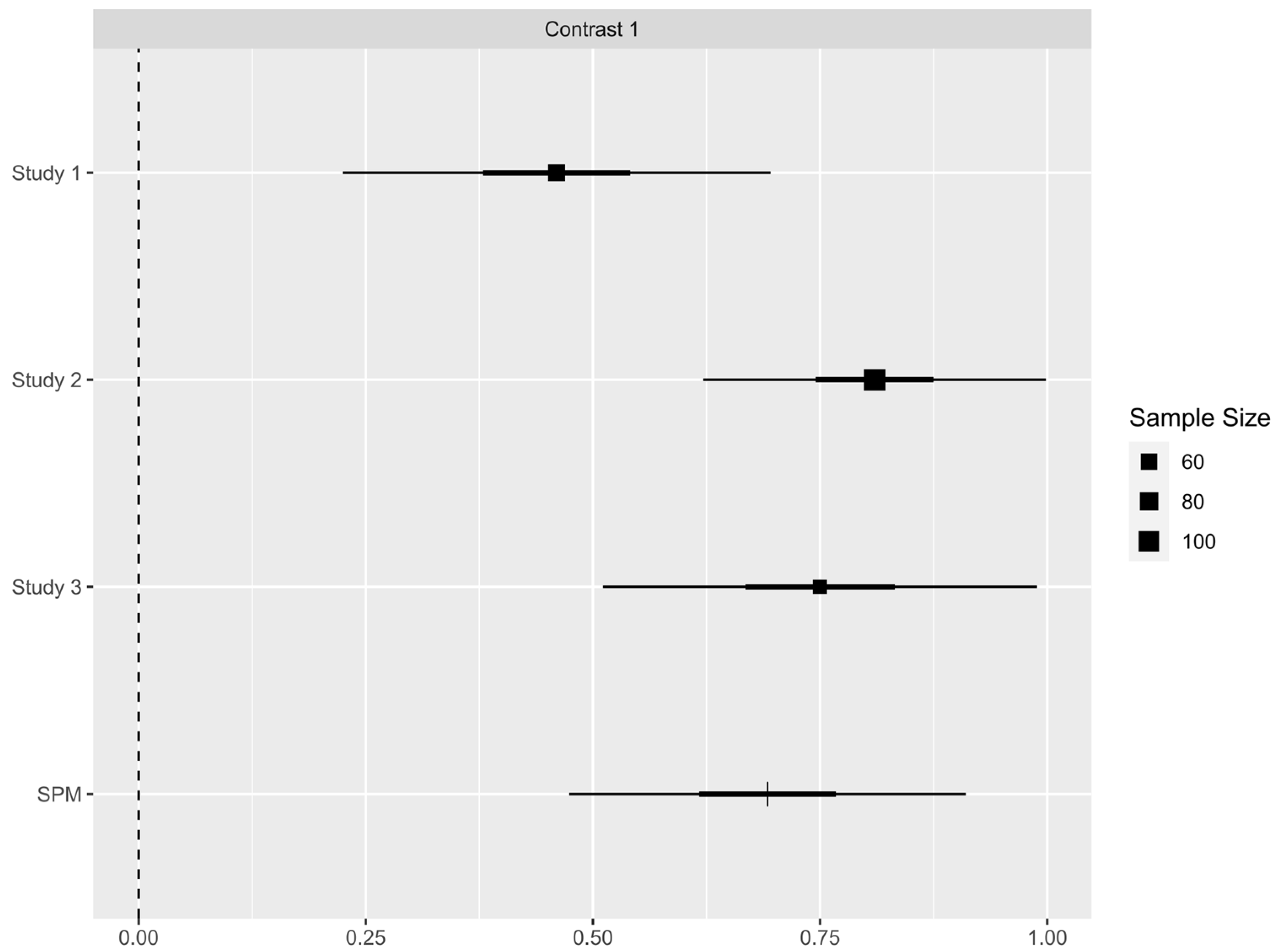
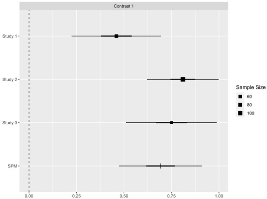
3.4. Single-Paper Meta-Analysis
4. Discussion
4.1. Theoretical Implications
4.2. Practical Implications
4.3. Limitation and Future Research
Author Contributions
Funding
Institutional Review Board Statement
Informed Consent Statement
Data Availability Statement
Conflicts of Interest
References
- Deng, N.; Jiang, X.; Fan, X. How social media’s cause-related marketing activity enhances consumer citizenship behavior: The mediating role of community identification. J. Res. Interact. Mark. 2023, 17, 38–60. [Google Scholar] [CrossRef]
- Schamp, C.; Heitmann, M.; Bijmolt, T.H.A.; Katzenstein, R. The effectiveness of cause-related marketing: A meta-analysis on consumer responses. J. Mark. Res. 2023, 60, 189–215. [Google Scholar] [CrossRef]
- Labyrinth Inc. The Ultimate Guide to Cause Marketing: How Brands Are Driving $2B+ in Social Impact (2025 Playbook). 2025. Available online: https://labyrinthinc.com/cause-marketing-2b-social-impact-guide-2025/ (accessed on 28 January 2025).
- Alibaba. Environmental, Social and Governance Report 2025. 2025. Available online: https://www.alibabagroup.com/esg (accessed on 26 June 2025).
- Wang, M.; Wang, Y. Trust crisis and charity donation: An empirical study based on the provincial data in 2002–2016. Manag. Rev. 2020, 32, 244–253. [Google Scholar] [CrossRef]
- Plant Based News. American Heart Association Facing Lawsuit Over ‘Heart-Check’ Labels on Red Meat. 2022. Available online: https://plantbasednews.org/lifestyle/health/american-heart-association-lawsuit-heart-check-labels-meat/ (accessed on 30 August 2022).
- Fan, X.; Deng, N.; Qian, Y.; Dong, X. Factors affecting the effectiveness of cause-related marketing: A meta-analysis. J. Bus. Ethics 2022, 175, 339–360. [Google Scholar] [CrossRef]
- Vyravene, R.; Rabbanee, F.K. Corporate negative publicity–the role of cause related marketing. Australas. Mark. J. 2016, 24, 322–330. [Google Scholar] [CrossRef]
- Wagner, T.; Lutz, R.J.; Weitz, B.A. Corporate hypocrisy: Overcoming the threat of inconsistent corporate social responsibility perceptions. J. Mark. 2009, 73, 77–91. [Google Scholar] [CrossRef]
- Tong, Z.; Wang, X.; Li, D.; Zhou, L.; Zhou, N. The negative consumer perception of brand charity geographical inconsistency and its reversal mechanism. J. Manag. World 2016, 1, 129–138. [Google Scholar] [CrossRef]
- Davvetas, V.; Ulqinaku, A.; Abi, G.S. Local impact of global crises, institutional trust, and consumer well-being: Evidence from the COVID-19 pandemic. J. Int. Mark. 2022, 30, 73–101. [Google Scholar] [CrossRef]
- Coombs, W.T. Protecting organization reputations during a crisis: The development and application of situational crisis communication theory. Corp. Reput. Rev. 2007, 10, 163–176. [Google Scholar] [CrossRef]
- Leyva-Hernández, S.N.; Terán-Bustamante, A.; Martínez-Velasco, A. COVID-19, social identity, and socially responsible food consumption between generations. Front. Psychol. 2023, 14, 1080097. [Google Scholar] [CrossRef]
- Elcheroth, G.; Drury, J. Collective resilience in times of crisis: Lessons from the literature for socially effective responses to the pandemic. Br. J. Soc. Psychol. 2020, 59, 703–713. [Google Scholar] [CrossRef] [PubMed]
- Lei, L.; Ma, M. The mechanism of the parent brand effect in brand extension. Adv. Psychol. Sci. 2003, 11, 350–354. [Google Scholar] [CrossRef]
- Levin, I.P.; Levin, A.M. Modeling the role of brand alliances in the assimilation of product evaluations. J. Consum. Psychol. 2000, 9, 43–52. [Google Scholar] [CrossRef]
- Rao, A.R.; Ruekert, R.W. Brand alliances as signals of product quality. Sloan Manag. Rev. 1994, 36, 87–97. [Google Scholar] [CrossRef]
- Huang, W.; Wang, Y. Damage to the reputation of government-owned charitable organizations, reputation punishment and donation of private enterprises. Manag. Rev. 2023, 35, 257–271. [Google Scholar] [CrossRef]
- Jamal, J.; Abu Bakar, H. Revisiting organizational credibility and organizational Reputation—A situational crisis communication approach. SHS Web Conf. 2017, 33, 00083. [Google Scholar] [CrossRef]
- Schloderer, M.P.; Sarstedt, M.; Ringle, C.M. The relevance of reputation in the nonprofit sector: The moderating effect of socio-demographic characteristics. Int. J. Nonprofit Volunt. Sect. Mark. 2014, 19, 110–126. [Google Scholar] [CrossRef]
- Liu, G.; Ko, W.W. An analysis of cause-related marketing implementation strategies through social alliance: Partnership conditions and strategic objectives. J. Bus. Ethics 2011, 100, 253–281. [Google Scholar] [CrossRef]
- Lichtenstein, D.R.; Drumwright, M.E.; Braig, B.M. The effect of corporate social responsibility on customer donations to corporate-supported nonprofits. J. Mark. 2004, 68, 16–32. [Google Scholar] [CrossRef]
- Rim, H.; Yang, S.U.; Lee, J. Strategic partnerships with nonprofits in corporate social responsibility (CSR): The mediating role of perceived altruism and organizational identification. J. Bus. Res. 2016, 69, 3213–3219. [Google Scholar] [CrossRef]
- Lafferty, B.A.; Lueth, A.K.; Mccafferty, R. An evolutionary process model of cause-related marketing and systematic review of the empirical literature. Psychol. Mark. 2016, 33, 951–970. [Google Scholar] [CrossRef]
- Goswami, S.; Ha-Brookshire, J.; Bonifay, W. Measuring perceived corporate hypocrisy: Scale development in the context of U.S. retail employees. Sustainability 2018, 10, 4756. [Google Scholar] [CrossRef]
- Ju, F.; Xie, Z.; Huang, W. Charity or hypocrisy: Public perception and evaluation of CSR activities of companies with undesirable reputation. Collect. Essays Financ. Econ. 2014, 10, 68–75. [Google Scholar] [CrossRef]
- Heider, F. The Psychology of Interpersonal Relations; Psychology Press: New York, NY, USA, 2013. [Google Scholar] [CrossRef]
- Weiner, B. An attributional theory of achievement motivation and emotion. Psychol. Rev. 1985, 92, 548–573. [Google Scholar] [CrossRef]
- Fan, S.; Tian, Z. A study on the formation mechanism of consumers’ perception of CSR hypocrisy. J. Zhongnan Univ. Econ. Law 2017, 2, 22–31. [Google Scholar] [CrossRef]
- Xu, H. Innovation of emergency system model and collaborative path of artificial intelligence in modern governance of global public emergency risk under the background of COVID-19 prevention and control. China Soft Sci. 2021, 7, 52–63. [Google Scholar] [CrossRef]
- Cui, Y.; Trent, E.S.; Sullivan, P.M.; Matiru, G.N. Cause-related marketing: How generation Y responds. Int. J. Retail Distrib. Manag. 2003, 31, 310–320. [Google Scholar] [CrossRef]
- Hou, J.; Du, L.; Li, J. Cause’s attributes influencing consumer’s purchasing intention: Empirical evidence from China. Asia Pac. J. Mark. Logist. 2008, 20, 363–380. [Google Scholar] [CrossRef]
- Ham, C.D.; Kim, J. The effects of CSR communication in corporate crises: Examining the role of dispositional and situational CSR skepticism in context. Public Relat. Rev. 2020, 46, 101792. [Google Scholar] [CrossRef]
- Zheng, L.; Zhu, Y.; Jiang, R. The mediating role of moral elevation in cause-related marketing: A moral psychological perspective. J. Bus. Ethics 2019, 156, 439–454. [Google Scholar] [CrossRef]
- Cho, Y.; Kim, H.E.; Youn, N. Together or alone on the prosocial path amidst the COVID-19 pandemic: The partitioning effect in experiential consumption. J. Res. Interact. Mark. 2022, 16, 64–81. [Google Scholar] [CrossRef]
- Jin, X.; Huang, E.; Song, W.; Zhao, T. The effects of public health emergencies on altruistic behaviors: Empirical research on the COVID-19 pandemic in China. Res. Sq. 2020. [Google Scholar] [CrossRef]
- Lafferty, B.A. The relevance of fit in a cause-brand alliance when consumers evaluate corporate credibility. J. Bus. Res. 2007, 60, 447–453. [Google Scholar] [CrossRef]
- Ferle, C.L.; Kuber, G.; Edwards, S.M. Factors impacting responses to cause-related marketing in India and the United States: Novelty, altruistic motives, and company origin. J. Bus. Res. 2013, 66, 364–373. [Google Scholar] [CrossRef]
- Vanhamme, J.; Lindgreen, A.; Reast, J.; van Popering, N. To do well by doing good: Improving corporate image through cause-related marketing. J. Bus. Ethics 2012, 109, 259–274. [Google Scholar] [CrossRef]
- Preacher, K.J.; Hayes, A.F. Asymptotic and resampling strategies for assessing and comparing indirect effects in multiple mediator models. Behav. Res. Methods 2008, 40, 879–891. [Google Scholar] [CrossRef]
- Mcshane, B.B.; Böckenholt, U. Single-paper meta-analysis: Benefits for study summary, theory testing, and replicability. J. Consum. Res. 2017, 43, 1048–1063. [Google Scholar] [CrossRef]
- Partouche, J.; Vessal, S.; Khelladi, I.; Castellano, S.; Sakka, G. Effects of cause-related marketing campaigns on consumer purchase behavior among French millennials: A regulatory focus approach. Int. Mark. Rev. 2020, 37, 923–943. [Google Scholar] [CrossRef]
- Van den Brink, D.; Odekerken-Schröder, G.; Pauwels, P. The effect of strategic and tactical cause-related marketing on consumers’ brand loyalty. J. Consum. Mark. 2006, 23, 15–25. [Google Scholar] [CrossRef]
- Havlinova, A.; Kukacka, J. Corporate social responsibility and stock prices after the financial crisis: The role of strategic CSR activities. J. Bus. Ethics 2023, 182, 223–242. [Google Scholar] [CrossRef]
- Luo, Z.; Guo, Y.; Lv, L.; Wu, Y. Literature review and prospects of virtual CSR co-creation. Soft Sci. 2021, 35, 112–116+130. [Google Scholar] [CrossRef]



| Demographics | Exp. 1 (n = 131) | Exp. 2 (n = 220) | Exp. 3 (n = 188) | |
|---|---|---|---|---|
| Gender | Male | 55.7% | 38.2% | 58.5% |
| Female | 44.3% | 61.8% | 41.5% | |
| Age | –18 | 0.0% | 0.9% | 3.7% |
| 19–22 | 62.6% | 18.2% | 71.8% | |
| 23–26 | 32.1% | 25.0% | 20.7% | |
| 27– | 5.3% | 55.9% | 3.7% | |
| Political status | Masses | 16.0% | 55.9% | 16.5% |
| Member of the Communist Youth League of China | 66.4% | 22.7% | 61.2% | |
| Member of the Communist Party of China | 17.6% | 20.9% | 21.8% | |
| Member of other democratic parties | 0.0% | 0.5% | 0.5% | |
| Disposable income | –Ұ2000 | 73.3% | 13.2% | 84.6% |
| Ұ2001–Ұ4000 | 19.1% | 10.9% | 13.8% | |
| Ұ4001–Ұ6000 | 3.1% | 17.3% | 0.5% | |
| Ұ6001–Ұ8000 | 4.6% | 22.7% | 0.5% | |
| Ұ8001–Ұ10,000 | 0.0% | 11.4% | 0.0% | |
| Ұ10,001– | 0.0% | 24.5% | 0.5% | |
| Low-Credibility NPO | High-Credibility NPO | |
|---|---|---|
| Establishment time | in 2014 | in 1982 |
| Historical experience in CSR | The number of charity campaigns ranks at a low level in the industry | The number of charity campaigns ranks among the top three in the industry |
| Future development | The future development is relatively poor | The future development is relatively good |
| Hypothesis | Prediction | Experiment | Test Result |
|---|---|---|---|
| H1 | Consumers perceive a more negative enterprise brand image when the company partners with a low-credibility NPO compared to a high-credibility NPO | Experiment 1 | Supported |
| H2 | The impact of NPO credibility on enterprise brand image is mediated by perceived corporate hypocrisy | Experiment 2 | Supported |
| H3 | The impact of NPO credibility on enterprise brand image is weakened in the presence of public emergency | Experiment 3 | Supported |
| H4 | Perceived corporate hypocrisy mediates the interactive effects of NPO credibility and public emergency on enterprise brand image | Experiment 3 | Supported |
Disclaimer/Publisher’s Note: The statements, opinions and data contained in all publications are solely those of the individual author(s) and contributor(s) and not of MDPI and/or the editor(s). MDPI and/or the editor(s) disclaim responsibility for any injury to people or property resulting from any ideas, methods, instructions or products referred to in the content. |
© 2025 by the authors. Licensee MDPI, Basel, Switzerland. This article is an open access article distributed under the terms and conditions of the Creative Commons Attribution (CC BY) license (https://creativecommons.org/licenses/by/4.0/).
Share and Cite
Wang, J.; Zheng, L.; Li, X.; Guo, C. The Impact of NPO Credibility on Enterprise Brand Image in Cause-Related Marketing: A Study Based on the Mediating Effect of Perceived Corporate Hypocrisy. J. Theor. Appl. Electron. Commer. Res. 2025, 20, 309. https://doi.org/10.3390/jtaer20040309
Wang J, Zheng L, Li X, Guo C. The Impact of NPO Credibility on Enterprise Brand Image in Cause-Related Marketing: A Study Based on the Mediating Effect of Perceived Corporate Hypocrisy. Journal of Theoretical and Applied Electronic Commerce Research. 2025; 20(4):309. https://doi.org/10.3390/jtaer20040309
Chicago/Turabian StyleWang, Jun, Ling Zheng, Xinyi Li, and Chiquan Guo. 2025. "The Impact of NPO Credibility on Enterprise Brand Image in Cause-Related Marketing: A Study Based on the Mediating Effect of Perceived Corporate Hypocrisy" Journal of Theoretical and Applied Electronic Commerce Research 20, no. 4: 309. https://doi.org/10.3390/jtaer20040309
APA StyleWang, J., Zheng, L., Li, X., & Guo, C. (2025). The Impact of NPO Credibility on Enterprise Brand Image in Cause-Related Marketing: A Study Based on the Mediating Effect of Perceived Corporate Hypocrisy. Journal of Theoretical and Applied Electronic Commerce Research, 20(4), 309. https://doi.org/10.3390/jtaer20040309

