Private Brand Product on Online Retailing Platforms: Pricing and Quality Management
Abstract
1. Introduction
2. Literature Review
2.1. Private Brands in Traditional Supply Chains
2.2. Private Brands in ORP Supply Chain
3. The Model
3.1. Model Framework
3.2. Demands
4. Equilibrium Analysis
4.1. The Base Problem: No PB Product Introduction
4.2. PB Introducing Low-Total-Value Products
4.2.1. Retailer Strategy
4.2.2. ORP Strategy
4.3. PB Introducing High-Total-Value Products
4.3.1. Retailer Strategy
4.3.2. ORP Strategy
4.4. The PB Product with Identical Total Value
4.4.1. Retailer Strategy
4.4.2. ORP Strategy
- 1.
- 2.
5. Analysis
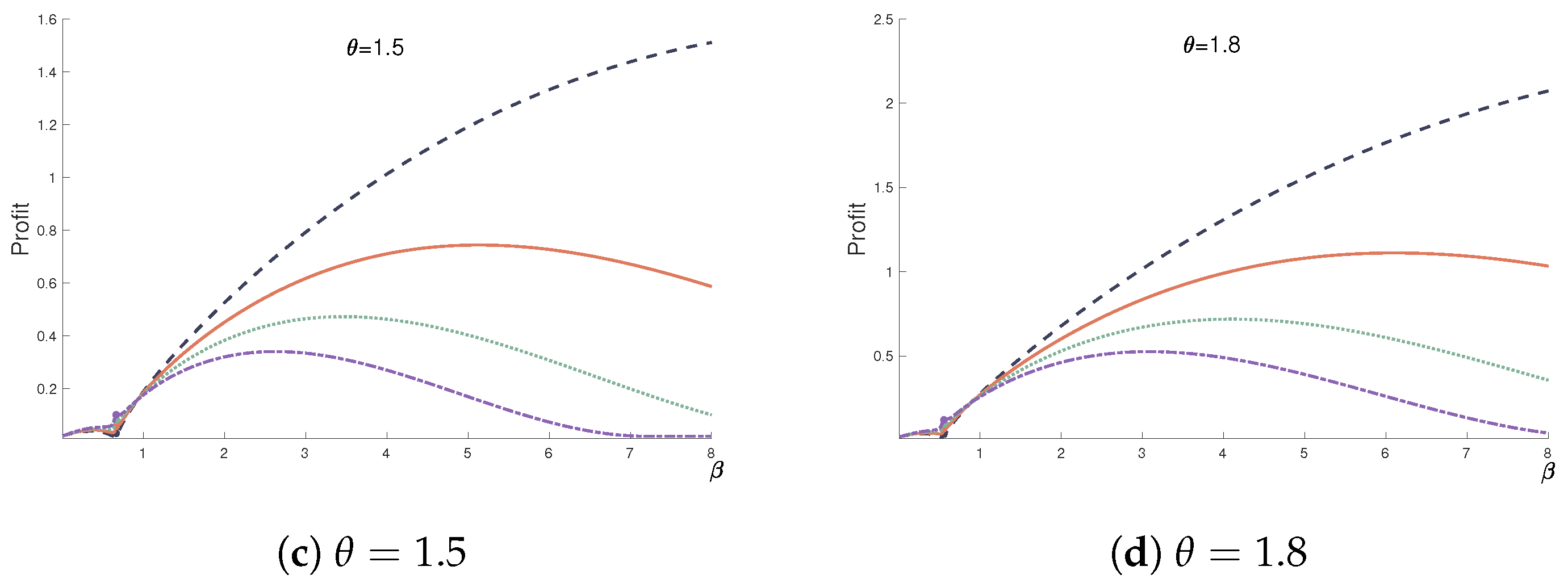
5.1. Product Introduction Motivation and Competitive Pressure
5.1.1. Retailer Strategy
5.1.2. ORP Strategy
5.1.3. Product Introduction, Motivation, and Competitive Pressure
- For product categories of any brand value, the ORP always has an incentive to introduce it due to profit growth.
- The ORP can exert “competitive pressure” on the retailer by setting the PB product price, adjusting the NB product price, and demand to maximize the ORP commission revenue.
5.2. Product Vertical Differentiation
5.2.1. The PB Product with Lower Brand Value
- The optimal price and functional value are influenced by the product brand value. When brand value is extremely low, the ORP adopts a cost-saving strategy, reducing product functionality and setting competitive prices. Conversely, with moderately low brand value, the ORP pursues a function-enhancing strategy by improving product functionality and setting higher prices.
5.2.2. The PB Product with Higher Brand Value
- The ORP mainly adopts a function-enhancing strategy by improving product functionality and setting higher prices.
5.2.3. Sensitivity Analysis
6. Conclusions
Author Contributions
Funding
Institutional Review Board Statement
Informed Consent Statement
Data Availability Statement
Conflicts of Interest
Appendix A. Retailer Strategy ()
Appendix A.1. Pricing Subspace
- When , the retailer pricing decision is given by which must satisfy the constraint . Substituting into the constraint yields the condition .
- When , the constraint must hold. Substituting this into Equation (A3), we solve for , , and obtain the condition from .
Appendix A.2. Pricing Subspace
- When , the retailer response function can be expressed as follows:Substituting into the constraint in Equation (A5) yields the range of . Given that , a solution exists when .
- When and ,the retailer decision is . Substituting this price into Equation (A7) yields . Consequently, we can derive from .
- When and ,the retailer decision is . Substituting this price into Equation (A7) yields . Consequently, we can derive from .
Appendix A.3. Retailer Best Response
Appendix B. ORP Strategy ()
Appendix B.1. Pricing Subspace
- When , the ORP decision is given by which must satisfy the constraint . Substituting into the constraint yields the condition .
- When must hold. Substituting into the Equation (A13) yields . Consequently, we can derive the condition from .
Appendix B.2. Pricing Subspace
- When , the price of the PB product can be calculated as follows:The price of the PB product needs to satisfy the constraints in the Equation (A16). The following conditions can be derived:
- When and , must hold. Substituting into the Equation (A18) yields . Consequently, we can derive the condition from . Additionally, is also confirmed.
- When and , must hold. Substituting into the Equation (A18) yields . Consequently, we can derive the condition from . Additionally, is also confirmed.
Appendix B.3. Pricing Subspace
- When , the price of the PB product, , can be calculated to satisfy the constraint . Furthermore, substituting into the equation , we can derive the condition .
- When and , must hold and satisfy the constraint . Substituting into the Equation (A25) yields . Consequently, we can derive the condition from .
Appendix C. Retailer Strategy ()
Appendix C.1. Pricing Subspace
- When , the retailer pricing decision is given by which must satisfy the constraint . Substituting into the constraint yields the condition .
- When , the constraint must hold. Substituting this into Equation (A29), we solve for , and obtain the condition from .
Appendix C.2. Pricing Subspace
- When , the retailer response function can be expressed as follows:Substituting into the constraint in Equation (A32) yields the range of : . Given that , a solution exists when .
- When and , the retailer decision is . Substituting this price into Equation (A34) yields . Consequently, we can derive from .
- When and , the retailer decision is . Substituting this price into Equation (A34) yields . Consequently, we can derive from .
Appendix C.3. Retailer Best Response
Appendix D. ORP Strategy ()
Appendix D.1. Pricing Subspace
- When , the ORP decision is given by which must satisfy the constraint . Substituting into the constraint yields the condition .
- When , must hold. Substituting into the Equation (A40) yields . Consequently, we can derive the condition from .
Appendix D.2. Pricing Subspace
- When , the price of the PB product can be calculated as followsThe price of the PB product needs to satisfy the constraints in the Equation (A46). The following conditions can be derived:
- When and , must hold. Substituting into the Equation (A47) yields . Consequently, we can derive the condition from . Additionally, is also confirmed.
- When and , must hold. Substituting into the Equation (A45) yields . Consequently, we can derive the condition from . Additionally, is also confirmed.
Appendix D.3. Pricing Subspace
- When , the price of the PB product, , can be calculated to satisfy the constraint . Furthermore, substituting into the equation , we can derive the condition .
- When and , must hold and satisfy the constraint . Substituting into the Equation (A52) yields . Consequently, we can derive the condition from .
Appendix E. Figures When θ = 1.8

Appendix F. Proof of Proposition 3
References
- Ministry of Commerce of the People’s Republic of China. China E-Commerce Report 2022; Technical Report; China Business Press: Beijing, China, 2023. [Google Scholar]
- Lauren Fernandes. Mid-Year Consumer Outlook: Guide to 2025; Technical Report; NielsenIQ: Chicago, IL, USA, 2024. [Google Scholar]
- Doyle, P. Building successful brands: The strategic options. J. Consum. Mark. 1990, 7, 5–20. [Google Scholar] [CrossRef]
- Aaker, D.A. Building Strong Brands; Simon and Schuster: New York, NY, USA, 2012. [Google Scholar]
- Fombrun, C.J.; Van Riel, C.B. Fame & Fortune: How Successful Companies Build Winning Reputations; FT Press: Upper Saddle River, NJ, USA, 2004. [Google Scholar]
- Tadelis, S. Reputation and feedback systems in online platform markets. Annu. Rev. Econ. 2016, 8, 321–340. [Google Scholar] [CrossRef]
- Mu, J.; Zhang, J.Z. Seller marketing capability, brand reputation, and consumer journeys on e-commerce platforms. J. Acad. Mark. Sci. 2021, 49, 994–1020. [Google Scholar] [CrossRef]
- Mills, D.E. Why retailers sell private labels. J. Econ. Manag. Strategy 1995, 4, 509–528. [Google Scholar] [CrossRef]
- Baltas, G.; Doyle, P.; Dyson, P. A model of consumer choice for national vs private label brands. J. Oper. Res. Soc. 1997, 48, 988–995. [Google Scholar] [CrossRef]
- Baltas, G.; Doyle, P. An empirical analysis of private brand demand recognising heterogeneous preferences and choice dynamics. J. Oper. Res. Soc. 1998, 49, 790–798. [Google Scholar] [CrossRef]
- Geyskens, I.; Gielens, K.; Gijsbrechts, E. Proliferating Private-Label Portfolios: How Introducing Economy and Premium Private Labels Influences Brand Choice. J. Mark. Res. 2010, 47, 791–807. [Google Scholar] [CrossRef]
- Liu, R.L.; Sprott, D.E.; Spangenberg, E.R.; Czellar, S.; Voss, K.E. Consumer preference for national vs. private brands: The influence of brand engagement and self-concept threat. J. Retail. Consum. Serv. 2018, 41, 90–100. [Google Scholar] [CrossRef]
- Tran, T.P.; Guzmán, F.; Paswan, A.K.; Blankson, C. National versus private brand: A regulatory focus perspective. J. Retail. Consum. Serv. 2020, 57, 102198. [Google Scholar] [CrossRef]
- Amrouche, N.; Zaccour, G. A shelf-space-dependent wholesale price when manufacturer and retailer brands compete. OR Spectr. 2009, 31, 361–383. [Google Scholar] [CrossRef]
- Zhang, Z.; Song, H.; Gu, X.; Shi, V.; Zhu, J. How to compete with a supply chain partner: Retailer’s store brand vs. manufacturer’s encroachment. Omega 2021, 103, 102412. [Google Scholar] [CrossRef]
- Inderst, R.; Shaffer, G. Managing channel profits when retailers have profitable outside options. Manag. Sci. 2019, 65, 642–659. [Google Scholar] [CrossRef]
- Liu, L.; Wu, L.; Hong, X. Cross-brand and cross-channel advertising strategies in a dual-channel supply chain. RAIRO-Oper. Res. 2020, 54, 1631–1656. [Google Scholar] [CrossRef]
- Amrouche, N.; Martín-Herrán, G.; Zaccour, G. Feedback Stackelberg equilibrium strategies when the private label competes with the national brand. Ann. Oper. Res. 2008, 164, 79–95. [Google Scholar] [CrossRef]
- Karray, S.; Martín-Herrán, G. A dynamic model for advertising and pricing competition between national and store brands. Eur. J. Oper. Res. 2009, 193, 451–467. [Google Scholar] [CrossRef]
- Liu, M.; Li, G.; Wu, H.; Li, X. Does free brand spillover benefit online retailers? Roles of logistics service selection. Transp. Res. Part E Logist. Transp. Rev. 2023, 178, 103270. [Google Scholar] [CrossRef]
- Heese, H.S. Competing with channel partners: Supply chain conflict when retailers introduce store brands. Nav. Res. Logist. (NRL) 2010, 57, 441–459. [Google Scholar] [CrossRef]
- Chakraborty, T.; Chauhan, S.S.; Huang, X. Quality competition between national and store brands. Int. J. Prod. Res. 2022, 60, 2703–2732. [Google Scholar] [CrossRef]
- Wang, X.; Chaolu, T.; Gao, Y.; Wen, Y.; Liu, P. Marketplace channel encroachment under private brand introduction of online platform. Int. J. Ind. Eng. Comput. 2023, 14, 403–414. [Google Scholar] [CrossRef]
- Wei, J.; Xu, Z. How does manufacturer’s self-operating channel interact with platform retailer’s E-commerce brand introduction? Transp. Res. Part Logist. Transp. Rev. 2022, 168, 102951. [Google Scholar] [CrossRef]
- Li, H.; Leng, K.; Qing, Q.; Zhu, S.X. Strategic interplay between store brand introduction and online direct channel introduction. Transp. Res. Part E Logist. Transp. Rev. 2018, 118, 272–290. [Google Scholar] [CrossRef]
- Li, D.; Liu, Y.; Hu, J.; Chen, X. Private-brand introduction and investment effect on online platform-based supply chains. Transp. Res. Part Logist. Transp. Rev. 2021, 155, 102494. [Google Scholar] [CrossRef]
- Li, Y.; Chu, M.; Bai, X. To fight or not? product introduction and channel selection in the presence of a platform’s private label. Transp. Res. Part Logist. Transp. Rev. 2024, 181, 103373. [Google Scholar] [CrossRef]
- Ke, W.; Zhou, X.; Lev, B.; Zhang, K. Agency, reselling, or hybrid mode? Competing with store brand. Transp. Res. Part Logist. Transp. Rev. 2024, 184, 103487. [Google Scholar] [CrossRef]
- Liu, P.; Zhang, R.; Wang, Y.; Yang, H.; Liu, B. Manufacturer’s sales format selection and information sharing strategy of platform with a private brand. J. Bus. Ind. Mark. 2024, 39, 244–255. [Google Scholar] [CrossRef]
- Renlei, C.; Jiajia, N. The Influence of E-commerce Introduction Strategy of Private Brands on the Choice of Manufacturers’ Sales Modes. Ind. Eng. J. 2019, 22, 118. [Google Scholar] [CrossRef]
- Yu, J.; Zhao, J.; Zhou, C.; Ren, Y. Strategic business mode choices for e-commerce platforms under brand competition. J. Theor. Appl. Electron. Commer. Res. 2022, 17, 1769–1790. [Google Scholar] [CrossRef]
- Zhang, Z.; Xu, H.; Chen, K.; Zhao, Y.; Liu, Z. Channel mode selection for an e-platform supply chain in the presence of a secondary marketplace. Eur. J. Oper. Res. 2022, 305, 1215–1235. [Google Scholar] [CrossRef]
- Zhao, Q.; Fan, Z.P.; Sun, M. Manufacturer blockchain technology adoption strategies for different sales channels in an e-commerce platform supply chain. Transp. Res. Part Logist. Transp. Rev. 2024, 185, 103507. [Google Scholar] [CrossRef]
- Mondal, C.; Giri, B.C. Analyzing strategies in a green e-commerce supply chain with return policy and exchange offer. Comput. Ind. Eng. 2022, 171, 108492. [Google Scholar] [CrossRef]
- Shen, L.; Wang, X.; Liu, Q.; Wang, Y.; Lv, L.; Tang, R. Carbon trading mechanism, low-carbon e-commerce supply chain and sustainable development. Mathematics 2021, 9, 1717. [Google Scholar] [CrossRef]
- Siqin, T.; Choi, T.M.; Chung, S.H. Optimal E-tailing channel structure and service contracting in the platform era. Transp. Res. Part Logist. Transp. Rev. 2022, 160, 102614. [Google Scholar] [CrossRef]
- Yu, J.; Ren, Y.; Zhou, C. Strategic Interactions in Omnichannel Retailing: Analyzing Brand Competition and Optimal Strategy Selection. J. Theor. Appl. Electron. Commer. Res. 2024, 19, 2557–2581. [Google Scholar] [CrossRef]
- Long, F.; Amaldoss, W. Self-preferencing in e-commerce marketplaces: The role of sponsored advertising and private labels. Mark. Sci. 2024, 43, 925–952. [Google Scholar] [CrossRef]
- Anıl Konuk, F. Trust transfer, price fairness and brand loyalty: The moderating influence of private label product type. Int. J. Retail. Distrib. Manag. 2022, 50, 658–674. [Google Scholar] [CrossRef]
- Perrini, F.; Castaldo, S.; Misani, N.; Tencati, A. The impact of corporate social responsibility associations on trust in organic products marketed by mainstream retailers: A study of Italian consumers. Bus. Strategy Environ. 2010, 19, 512–526. [Google Scholar] [CrossRef]
- Beristain, J.J.; Zorrilla, P. The relationship between store image and store brand equity: A conceptual framework and evidence from hypermarkets. J. Retail. Consum. Serv. 2011, 18, 562–574. [Google Scholar] [CrossRef]
- Kaushik, K.; Mishra, R.; Rana, N.P.; Dwivedi, Y.K. Exploring reviews and review sequences on e-commerce platform: A study of helpful reviews on Amazon. in. J. Retail. Consum. Serv. 2018, 45, 21–32. [Google Scholar] [CrossRef]
- Yadav, S.S.; Kar, S.K. Consumers’ purchase intention of private labels: The case of e-retailers. Glob. Bus. Organ. Excell. 2024, 44, 47–64. [Google Scholar] [CrossRef]
- Chung, H.; Lee, E. Store Brand Quality and Retailer’s Product Line Design. J. Retail. 2017, 93, 527–540. [Google Scholar] [CrossRef]
- Li, X.; Cai, X.; Chen, J. Quality and Private Label Encroachment Strategy. Prod. Oper. Manag. 2022, 31, 374–390. [Google Scholar] [CrossRef]
- Xiao, D.; Yang, Q.; Sun, Q.; Fang, H. Vertical Channel Conflict Coordination Strategy of e-Commerce Supply Chain under Platform Brand Empowerment. Math. Probl. Eng. 2021, 2021, 7314687. [Google Scholar] [CrossRef]
- Li, X.; Ai, X. A choice of selling format in the online marketplace with cross-sales supply chain: Platform selling or traditional reselling? Electron. Commer. Res. 2021, 21, 393–422. [Google Scholar] [CrossRef]
- Xu, Y.; Wang, J.; Cao, K. Logistics mode strategy of firms selling fresh products on e-commerce platforms with private brand introduction. J. Retail. Consum. Serv. 2023, 73, 103306. [Google Scholar] [CrossRef]
- Tan, Y.; Carrillo, J.E. Strategic analysis of the agency model for digital goods. Prod. Opér. Manag. 2017, 26, 724–741. [Google Scholar] [CrossRef]
- Tian, L.; Vakharia, A.J.; Tan, Y.; Xu, Y. Marketplace, reseller, or hybrid: Strategic analysis of an emerging e-commerce model. Prod. Oper. Manag. 2018, 27, 1595–1610. [Google Scholar] [CrossRef]
- Xiong, H.; Chen, Y.J.; Hsiao, L. Developing a store brand or collecting a commission: Amazon’s choice and quality decision. Nav. Res. Logist. (NRL) 2024, 71, 800–815. [Google Scholar] [CrossRef]
- Foster Jr, S.T. Towards an understanding of supply chain quality management. J. Oper. Manag. 2008, 26, 461–467. [Google Scholar] [CrossRef]
- Chao, G.H.; Iravani, S.M.; Savaskan, R.C. Quality improvement incentives and product recall cost sharing contracts. Manag. Sci. 2009, 55, 1122–1138. [Google Scholar] [CrossRef]
- Lehmann-Grube, U. Strategic choice of quality when quality is costly: The persistence of the high-quality advantage. RAND J. Econ. 1997, 28, 372–384. [Google Scholar] [CrossRef]
- Ronnen, U. Minimum quality standards, fixed costs, and competition. RAND J. Econ. 1991, 22, 490–504. [Google Scholar] [CrossRef]
- Chiang, W.y.K.; Chhajed, D.; Hess, J.D. Direct marketing, indirect profits: A strategic analysis of dual-channel supply-chain design. Manag. Sci. 2003, 49, 1–20. [Google Scholar] [CrossRef]
- Moorthy, K.S.; Png, I.P. Market segmentation, cannibalization, and the timing of product introductions. Manag. Sci. 1992, 38, 345–359. [Google Scholar] [CrossRef]
- Huang, Z.; Zhang, W.; Liu, B. Strategic introduction of private brand in the online retail platform. RAIRO-Oper. Res. 2023, 57, 1377–1396. [Google Scholar] [CrossRef]
- Cuneo, A.; Milberg, S.J.; Benavente, J.M.; Palacios-Fenech, J. The growth of private label brands: A worldwide phenomenon? J. Int. Mark. 2015, 23, 72–90. [Google Scholar] [CrossRef]
- Cheng, H.K.; Jung, K.S.; Kwark, Y.; Pu, J. Impact of own brand product introduction on optimal pricing models for platform and incumbent sellers. Inf. Syst. Res. 2023, 34, 1131–1147. [Google Scholar] [CrossRef]
- Wen, X.; Siqin, T. How do product quality uncertainties affect the sharing economy platforms with risk considerations? A mean-variance analysis. Int. J. Prod. Econ. 2020, 224, 107544. [Google Scholar] [CrossRef]
- Fernandes, L. Finding Harmony on the Shelf: 2025 Global Outlook on Private Label & Branded Products; Technical Report; NIQ: Chicago, IL, USA, 2025. [Google Scholar]
- Al-Monawer, N.; Davoodi, M.; Qi, L. Brand and Quality Effects on Introduction of Store Brand Products. J. Retail. Consum. Serv. 2021, 61, 102507. [Google Scholar] [CrossRef]
- Cheng, F.; Chen, T.; Shen, Y.; Jing, X. Impact of Green Technology Improvement and Store Brand Introduction on the Sales Mode Selection. Int. J. Prod. Econ. 2022, 253, 108587. [Google Scholar] [CrossRef]
- Providing One More Reliable Choice for Customers with Private Label Brands—JD Corporate Blog. Available online: https://jdcorporateblog.com/providing-one-more-reliable-choice-for-customers-with-private-label-brands/ (accessed on 25 April 2025).
- JD Holds Partners Conference for its Private Brands, Aiming to Create Long-term Value for Customers—JD Corporate Blog. Available online: https://jdcorporateblog.com/jd-holds-partners-conference-for-its-private-brands-aiming-to-create-long-term-value-for-customers/ (accessed on 25 April 2025).
- JD.com. Fee Structure and Category Pricing Rules for JD Open Platform; Technical Report; JingDong: Beijing, China, 2023. [Google Scholar]
- Shaked, A.; Sutton, J. Relaxing Price Competition Through Product Differentiation. Rev. Econ. Stud. 1982, 49, 3–13. [Google Scholar] [CrossRef]
- Makadok, R.; Ross, D.G. Taking industry structuring seriously: A strategic perspective on product differentiation. Strateg. Manag. J. 2013, 34, 509–532. [Google Scholar] [CrossRef]
- Abhishek, V.; Jerath, K.; Zhang, Z.J. Agency selling or reselling? Channel structures in electronic retailing. Manag. Sci. 2016, 62, 2259–2280. [Google Scholar] [CrossRef]
- Hasiloglu, M.; Kaya, O. An analysis of price, service and commission rate decisions in online sales made through E-commerce platforms. Comput. Ind. Eng. 2021, 162, 107688. [Google Scholar] [CrossRef]
- Daibing, W.; Tang, X.; Liu, S. The Impact of Agency Platforms’ Introduction of Private Labels and the Role of Cooperative Advertising Programs. ssrn. Available online: https://papers.ssrn.com/sol3/papers.cfm?abstract_id=4924518 (accessed on 25 April 2025).
- Cao, B.; Gao, J. Quality contracts with the supplier’s private product manufacturability information. Comput. Ind. Eng. 2018, 125, 309–318. [Google Scholar] [CrossRef]
- Kumar, N.; Radhakrishnan, S.; Rao, R.C. Private label vendor selection in a supply chain: Quality and clientele effects. J. Retail. 2010, 86, 148–158. [Google Scholar] [CrossRef]
- Zhang, Z.; Xu, H.; Tang, T.; Liu, Z.; Chen, K. Retailing encroaching decision in an E-commerce platform supply chain with multiple online retailers. Expert Syst. Appl. 2024, 249, 123537. [Google Scholar] [CrossRef]












| Related Studies | ORP Supply Chain | Private Brand | Optimal Quality Decision | Quality-Related Cost | Consumer Preference | Product Quality |
|---|---|---|---|---|---|---|
| Li et al. [26] | ✓ | ✓ | ||||
| Wang et al. [23] | ✓ | ✓ | ✓ | |||
| Liu et al. [29] | ✓ | ✓ | ✓ | |||
| Wei and Xu [24] | ✓ | ✓ | ✓ | ✓ | ||
| Li et al. [27] | ✓ | ✓ | ✓ | ✓ | ||
| Chung and Lee [44] | ✓ | ✓ | ✓ | ✓ | ||
| Li et al. [45] | ✓ | ✓ | ✓ | ✓ | ||
| This study | ✓ | ✓ | ✓ | ✓ | ✓ | ✓ |
| Parameters | |
|---|---|
| N | Index for National Brand (NB) product |
| E | Index for Private Brand (PB) product |
| The relative brand value of the PB product to the NB product, | |
| The functional values of the RB and PB products, | |
| r | The commission rate, |
| The demands of the NB and PB products | |
| The profits of the retailer and the ORP | |
| k | The sensitivity factor of cost, |
| The unit cost of the NB and PB products | |
| c | The integrated unit cost of the NB product with a commission rate of r |
| Variables | |
| NB product price decided by the retailer | |
| PB product price decided by the ORP | |
Disclaimer/Publisher’s Note: The statements, opinions and data contained in all publications are solely those of the individual author(s) and contributor(s) and not of MDPI and/or the editor(s). MDPI and/or the editor(s) disclaim responsibility for any injury to people or property resulting from any ideas, methods, instructions or products referred to in the content. |
© 2025 by the authors. Licensee MDPI, Basel, Switzerland. This article is an open access article distributed under the terms and conditions of the Creative Commons Attribution (CC BY) license (https://creativecommons.org/licenses/by/4.0/).
Share and Cite
Wang, X.; Zhang, L.; Qin, Y.; Wang, Y. Private Brand Product on Online Retailing Platforms: Pricing and Quality Management. J. Theor. Appl. Electron. Commer. Res. 2025, 20, 170. https://doi.org/10.3390/jtaer20030170
Wang X, Zhang L, Qin Y, Wang Y. Private Brand Product on Online Retailing Platforms: Pricing and Quality Management. Journal of Theoretical and Applied Electronic Commerce Research. 2025; 20(3):170. https://doi.org/10.3390/jtaer20030170
Chicago/Turabian StyleWang, Xinyu, Luping Zhang, Yue Qin, and Yinsu Wang. 2025. "Private Brand Product on Online Retailing Platforms: Pricing and Quality Management" Journal of Theoretical and Applied Electronic Commerce Research 20, no. 3: 170. https://doi.org/10.3390/jtaer20030170
APA StyleWang, X., Zhang, L., Qin, Y., & Wang, Y. (2025). Private Brand Product on Online Retailing Platforms: Pricing and Quality Management. Journal of Theoretical and Applied Electronic Commerce Research, 20(3), 170. https://doi.org/10.3390/jtaer20030170

