Research on the Optimal Live-Streaming Strategy Under the Influence of Consumer Preferences: Taking Agriculture and Cultural Tourism Enterprise as an Example
Abstract
1. Introduction
- (i)
- The current literature primarily relies on qualitative and case-based analyses of ACT projects, lacking quantitative research that could support ACT practice.
- (ii)
- Most prior studies on consumer types are inadequate, which diminishes both the theoretical value and practical significance of the related methods.
- (i)
- How do different consumer types influence ACT market demand?
- (ii)
- What are the conditions for establishing separating and pooling equilibria?
- (iii)
- How does the ACT enterprise maximize its profit under various scenarios?
- (iv)
- How do changes in consumer types and the impact of the first-stage live-streaming strategy on consumer behavior in the second stage affect the enterprise’s live-streaming strategy and profits?
- (i)
- Investigating different strategies employed by the ACT enterprise to attract consumers with varying consumption preferences and meet market demand.
- (ii)
- Constructing a signaling game model to analyze the conditions for the formation of the separating equilibrium and the pooling equilibrium under different parameter settings.
- (iii)
- Comparing the ACT enterprise’s profits under various circumstances and examining the influence of consumer type on optimal pricing.
- (iv)
- In a dynamic scenario, considering the increased probability of consumers consuming the high-quality project and the impact of the first-stage live-streaming strategy on the second stage, both factors jointly determine the profit gap between dynamic and static scenarios and the optimal investment in live-streaming strategies.
- (i)
- Theoretical significance: This study establishes a signaling game between the ACT enterprise and consumers, quantitatively analyzing the impact of consumer types on live-streaming strategies. It provides a reference for the subsequent theoretical research on ACT projects.
- (ii)
- Practical significance: this study derives conclusions based on theoretical models and extracts actionable management insights, providing decision-making guidance for the ACT enterprise and providing practical references for the comprehensive implementation of rural revitalization strategies.
2. Theoretical Background
2.1. Research About ACT
2.2. Research About Live Streaming
2.3. Research About Consumer Classification
3. Problem Description and Assumptions
- (i)
- For the high-quality project, ① when , all three types of consumers will buy products, ② when , quality-sensitive and quality-oriented consumers will buy products, and ③ when , only quality-sensitive consumers will buy products.
- (ii)
- For the low-quality project, ① when , both price- and quality-sensitive consumers will buy products, and ② when , only quality-sensitive consumers will buy products.
4. Static Equilibrium Analysis
4.1. Separating Equilibrium
4.2. Pooling Equilibrium
- (i)
- ① If or , there is only a pooling equilibrium;② If , there is only a separating equilibrium;③ If , we have and , pooling equilibrium belongs to LMSE.
- (ii)
- ① If or , there is only a pooling equilibrium;② If , there is only a separating equilibrium;③ If , we have and , the pooling equilibrium belongs to LMSE,where , , , , under the premise of .
- (i)
- High-quality project in separating/pooling equilibrium.① Whenthe maximum profit is achieved by choosing ;② Whenthe maximum profit is acquired by choosing ;③ Whenthe maximum profit is realized by choosing .
- (ii)
- Low-quality project in separating/pooling equilibrium.① Whenthe maximum profit is achieved by choosing ;② Whenthe maximum profit is realized by choosing .Note: , , , , , , , , and . , , and are meaningful when they are less than 1.
5. Dynamic Equilibrium Analysis
- (i)
- In the separating equilibrium, the optimal live-streaming strategies are
- (ii)
- In the pooling equilibrium, the optimal live-streaming strategies are
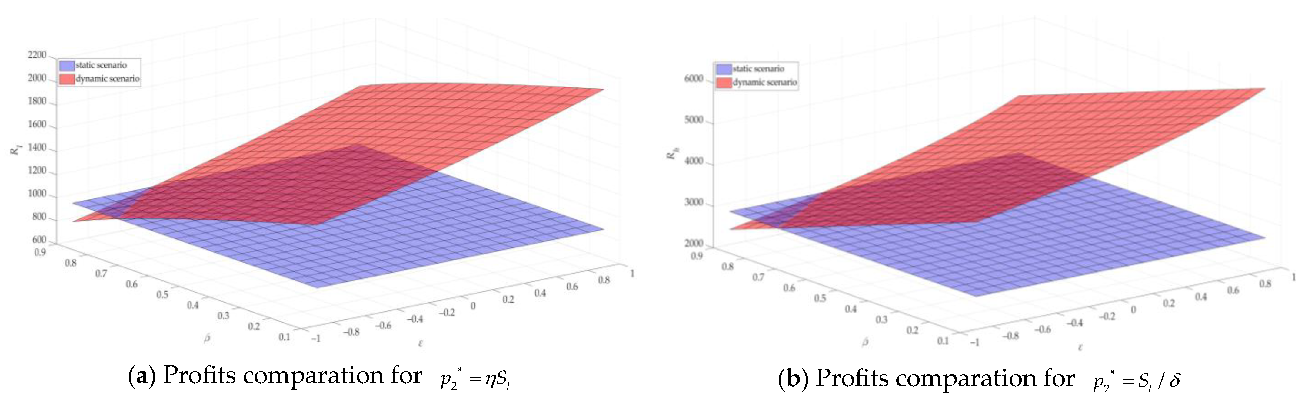
- (i)
- There is a threshold . The profits in the dynamic scenario are greater than in the static scenario when , and the profits in the static scenario are greater than in the dynamic scenario when .
- (ii)
- As β increases, when only quality-sensitive consumers participate in consumption, the profit gap continues to decrease. When multiple types of consumers participate, the profit gap first increases and then decreases.
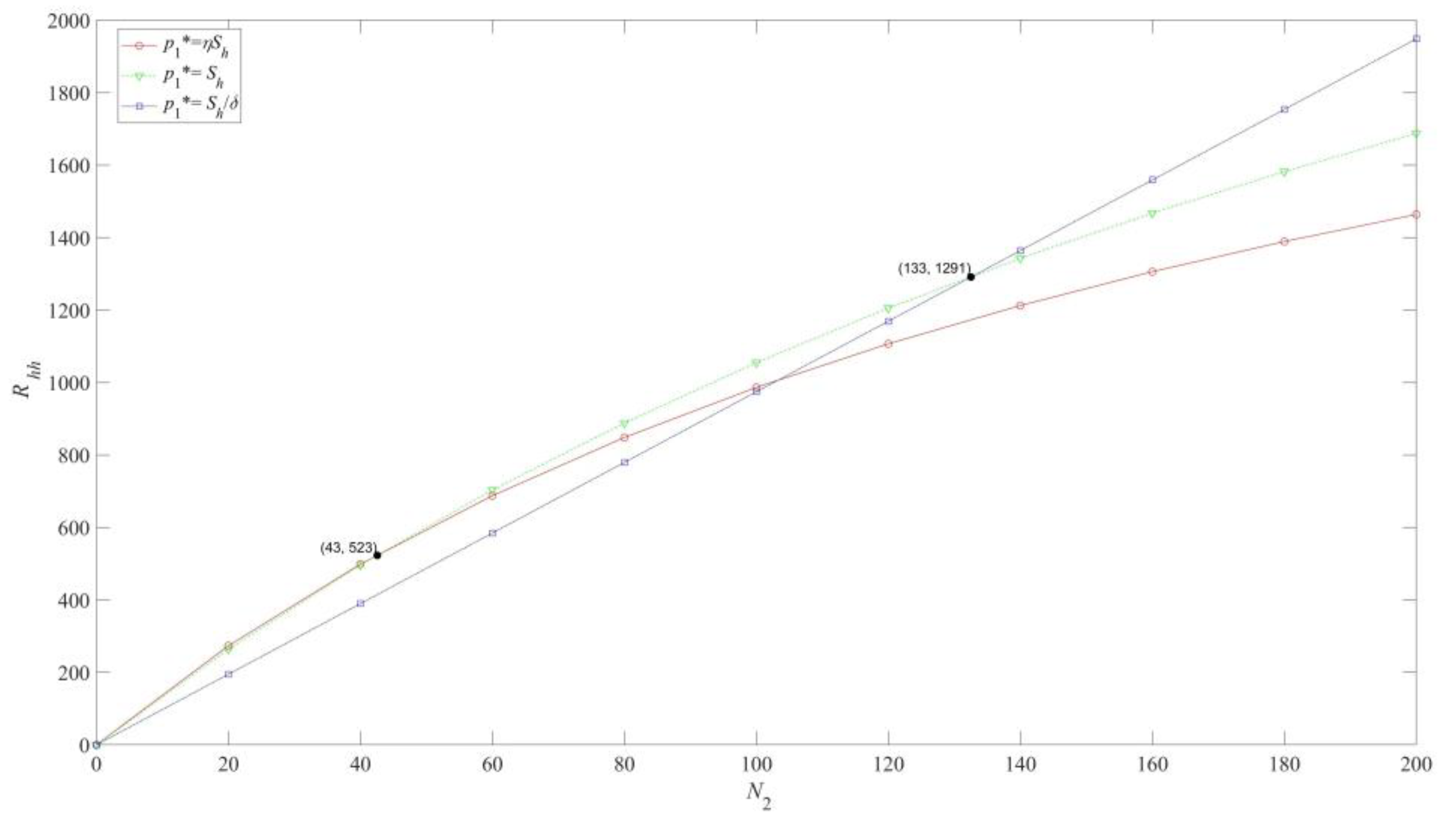
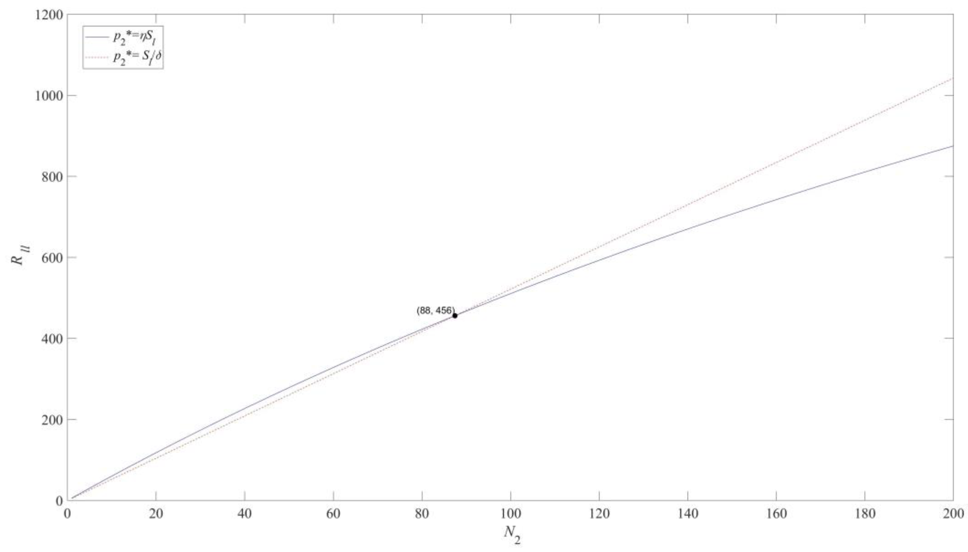
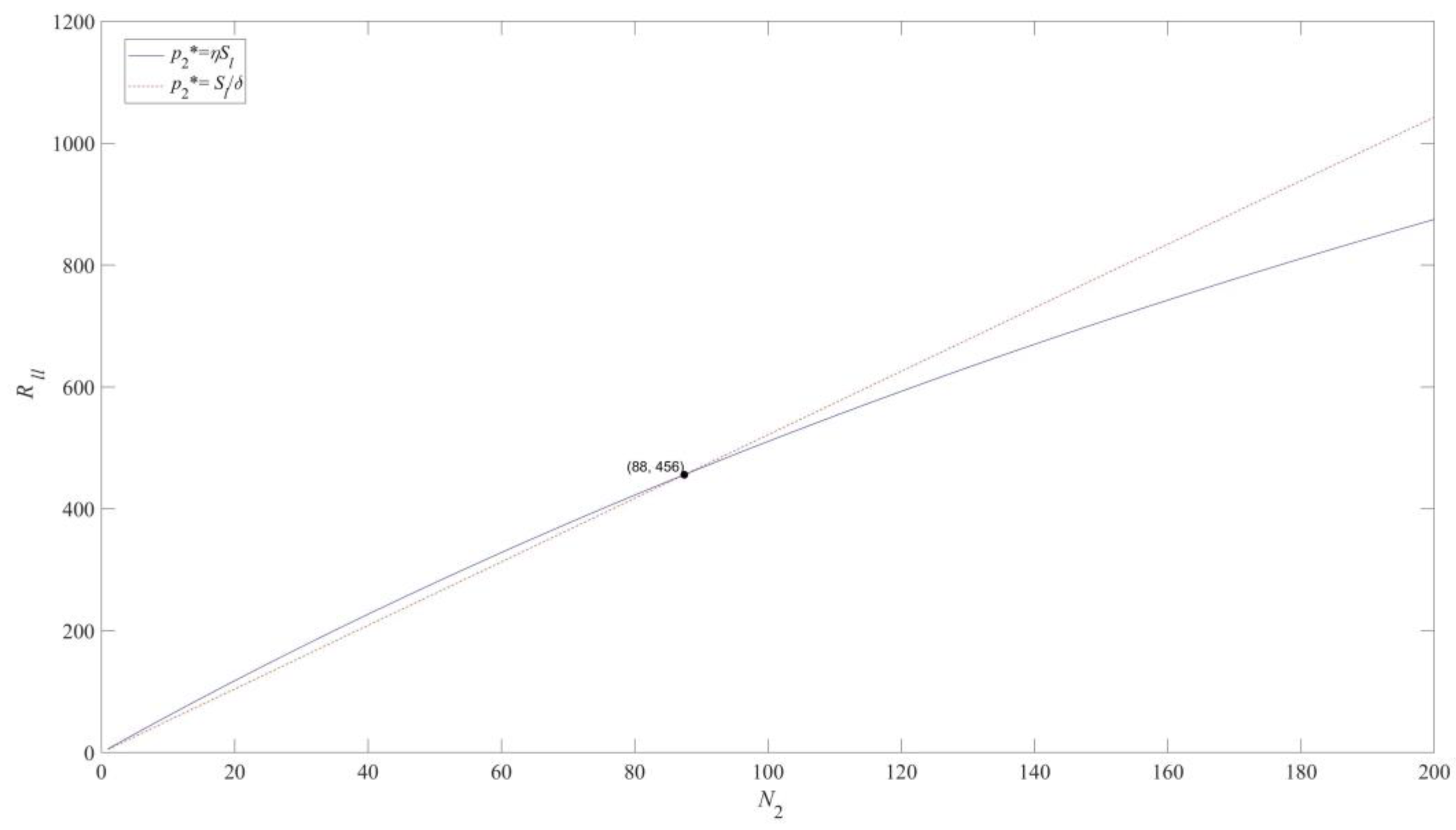
6. Numerical Analysis
7. Conclusions
- (1)
- This study delivers a quantitative analysis of ACT projects from a supply chain perspective. By constructing utility functions for the ACT enterprise grounded in signaling game theory, we effectively compare their profitability across various scenarios.
- (2)
- We integrate consumer-type impacts into the profitability analysis of the ACT enterprise, categorizing consumers into three distinct groups based on previous research. This framework enhances the realism of optimal live-streaming strategies and provides actionable guidance for the successful implementation of ACT projects.
7.1. Research Results
- (i)
- The existence of equilibrium mainly depends on the degree of punishment consumers impose for negative evaluations of the low-quality ACT project. When the degree of punishment exceeds a certain threshold, separating or pooling equilibrium will exist. Thus, only sufficiently severe punishment can curb opportunistic tendencies in the low-quality project. Considering the uncertainty of punishment intensity, there may be situations in the market where both separating and pooling equilibria are satisfied simultaneously. However, the LMSE criterion chooses the most profitable outcome for the high-quality project because it wants to reveal its type. Therefore, in this case, a pooling equilibrium exists.
- (ii)
- The types of consumers attracted by the ACT enterprise directly impact project pricing. When the enterprise targets only quality-sensitive consumers, the price is set at its highest. The price is moderate if it aims at both quality-oriented and quality-sensitive consumers. However, when the enterprise appeals to all types of consumers, the price becomes the lowest. It demonstrates that the pricing structure arises from the interplay between the varying preferences of consumers and the objective of maximizing profits for the enterprise. As the diversity of consumer types increases, the project price tends to decrease.
- (iii)
- The impact of the first-stage live-streaming strategy on the second stage has a specific threshold. When the effect is below this threshold, the influence of the first stage is relatively weak, indicating that the potential for using the first-stage live-streaming strategy to enhance the outcomes of the second stage is limited. In this case, the enterprise will likely invest more in the second stage to capture a larger market share. Conversely, when the impact exceeds this threshold, the enterprise should implement a more robust live-streaming strategy in the first stage. This strong positive effect can be a solid foundation for success in the subsequent stage.
- (iv)
- The profit advantage of the dynamic scenario is driven by two main factors: cross-stage strategic considerations and changes in consumer behavior. Consequently, in most instances, the profit from the dynamic scenario is higher than that from the static scenario. However, if quality-oriented consumers do not engage in consumption, the first-stage strategy can negatively impact the second stage. In this situation, the likelihood of consumers opting for the high-quality option significantly increases, resulting in profits from the static scenario exceeding those from the dynamic scenario.
7.2. Management Remark
- (i)
- Depending on the severity of penalties caused by negative consumer reviews, flexibly adopt either separating signals or pooling signals. Set low or high prices based on changes in the number of consumers and screen potential consumers.
- (ii)
- Monitoring the impact of the first-stage live-streaming strategy is crucial, as a positive influence that exceeds a certain threshold should prompt more investment in the first stage. In comparison, a negative impact should lead to more investment in the second stage.
- (iii)
- In situations where the live-streaming promotion environment in the second stage is unfavorable, opting for a live-streaming strategy tailored to the static scenario can help mitigate losses arising from negative impacts.
7.3. Limitations and Future Work
Author Contributions
Funding
Institutional Review Board Statement
Informed Consent Statement
Data Availability Statement
Conflicts of Interest
Abbreviations
| ACT | Agriculture and cultural tourism |
Appendix A
- (i)
- According to Equations (5), (7) and (9), the maximum profits of the high-quality project in the separating equilibrium can be derived as
- (i)
- From Equations (6), (8) and (10), the maximum profits of the low-quality project in the separating equilibrium are derived as follows:
- i
- Let (r = 1, 2, 3, 4) be shown as the difference between the profit of the enterprise in the dynamic and static scenario. There exists a threshold for each r such that . In a dynamic scenario, profits exceed those in the static scenario when . Conversely, in the static scenario, profits surpass those in the dynamic scenario when .
- ii
- According to Lemma 5, we need to calculate the first- and second-order partial derivatives of Bn (n = 1, 2, 3) with respect to β, where
References
- Chodkowska-Miszczuk, J.; Szymańska, D. Agricultural biogas plants—A chance for diversification of agriculture in Poland. Renew. Sustain. Energy Rev. 2013, 20, 514–518. [Google Scholar] [CrossRef]
- Addai, G.; Suh, J.; Bardsley, D.; Robinson, G.; Guodaar, L. Exploring sustainable development within rural regions in Ghana: A rural web approach. Sustain. Dev. 2024, 32, 3890–3907. [Google Scholar] [CrossRef]
- Ammirato, S.; Felicetti, A.M.; Raso, C.; Pansera, B.A.; Violi, A. Agritourism and Sustainability: What We Can Learn from a Systematic Literature Review. Sustainability 2020, 12, 9575. [Google Scholar] [CrossRef]
- Luo, Y.; Xiong, T.; Meng, D.; Gao, A.; Chen, Y. Does the Integrated Development of Agriculture and Tourism Promote Farmers’ Income Growth? Evidence from Southwestern China. Agriculture 2023, 13, 1817. [Google Scholar] [CrossRef]
- Wang, J.; Zhou, F.; Xie, A.; Shi, J. Impacts of the integral development of agriculture and tourism on agricultural eco-efficiency: A case study of two river basins in China. Environ. Dev. Sustain. 2024, 26, 1701–1730. [Google Scholar] [CrossRef]
- Ohe, Y. Impact of Rural Tourism Operated by Retiree Farmers on Multifunctionality: Evidence from Chiba, Japan. Asia Pac. J. Tour. Res. 2008, 13, 343–356. [Google Scholar] [CrossRef]
- Jiang, G. How Does Agro-Tourism Integration Influence the Rebound Effect of China’s Agricultural Eco-Efficiency? An Economic Development Perspective. Front. Environ. Sci. 2022, 10, 921103. [Google Scholar] [CrossRef]
- Xie, C.; Yu, J.; Huang, S.S.; Zhang, J. Tourism e-commerce live streaming: Identifying and testing a value-based marketing framework from the live streamer perspective. Tour. Manag. 2022, 91, 104479. [Google Scholar] [CrossRef]
- Ye, C.; Zheng, R.; Li, L. The effect of visual and interactive features of tourism live streaming on tourism consumers’ willingness to participate. Asia Pac. J. Tour. Res. 2022, 27, 506–525. [Google Scholar] [CrossRef]
- McKinney, L.N. Creating a satisfying internet shopping experience via atmospheric variables. Int. J. Consum. Stud. 2004, 28, 268–283. [Google Scholar] [CrossRef]
- Barbieri, C. Agritourism research: A perspective article. Tour. Rev. 2020, 75, 149–152. [Google Scholar] [CrossRef]
- Ilbery, B.W. Farm diversification as an adjustment strategy on the urban fringe of the West Midlands. J. Rural Stud. 1991, 7, 207–218. [Google Scholar] [CrossRef]
- Sonnino, R. For a ‘Piece of Bread’? Interpreting Sustainable Development through Agritourism in Southern Tuscany. Sociol. Rural. 2004, 44, 15. [Google Scholar] [CrossRef]
- Pearce, P.L. Farm tourism in New Zealand: A social situation analysis. Ann. Tour. Res. 1990, 17, 337–352. [Google Scholar] [CrossRef]
- Fleischer, A.; Tchetchik, A. Does rural tourism benefit from agriculture? Tour. Manag. 2005, 26, 493–501. [Google Scholar] [CrossRef]
- Mohammad, N.; Masood, K. Farm tourism as a driving force for socioeconomic development: A benefits viewpoint from Iran. Curr. Issues Tour. 2021, 24, 247–263. [Google Scholar]
- Gong, J.-Z.; Jian, Y.-Q.; Chen, W.-L.; Liu, Y.-S.; Hu, Y.-M. Transitions in rural settlements and implications for rural revitalization in Guangdong Province. J. Rural. Stud. 2022, 93, 359–366. [Google Scholar] [CrossRef]
- Tang, C.-C.; Liu, Y.; Wan, Z.-W.; Liang, W.-Q. Evaluation system and influencing paths for the integration of culture and tourism in traditional villages. J. Geogr. Sci. 2023, 33, 2489–2510. [Google Scholar] [CrossRef]
- Wu, J.; Wan, T. Innovative Practice of Heavy Metal Soil Remediation Technology under the Background of Rural Revitalization by Integrating Agriculture, Culture and Tourism. Pol. J. Environ. Stud. 2024, 33, 4407–4419. [Google Scholar] [CrossRef]
- Sun, Y.; Shao, X.; Li, X.-T.; Guo, Y.; Nie, K. A 2020 perspective on “How live streaming influences purchase intentions in social commerce: An IT affordance perspective”. Electron. Commer. Res. Appl. 2020, 40, 100958. [Google Scholar] [CrossRef]
- Liu, P.; Zhang, R.; Wang, Y.; Yang, H.-L.; Liu, B. Manufacturer’s sales format selection and information sharing strategy of platform with a private brand. J. Bus. Ind. Mark. 2024, 39, 244–255. [Google Scholar] [CrossRef]
- Xu, P.; Cui, B.-J.; Lyu, B. Influence of Streamer’s Social Capital on Purchase Intention in Live Streaming E-Commerce. Front. Psychol. 2022, 12, 748172. [Google Scholar] [CrossRef]
- Ang, T.; Wei, S.-Q.; Anaza, N.A. Livestreaming vs pre-recorded. Eur. J. Mark. 2018, 52, 2075–2104. [Google Scholar] [CrossRef]
- Ma, L.; Gao, S.; Zhang, X. How to Use Live Streaming to Improve Consumer Purchase Intentions: Evidence from China. Sustainability 2022, 14, 1045. [Google Scholar] [CrossRef]
- Wu, G.-K.; Yang, W.-S.; Hou, X.-R.; Tian, Y.-D. Agri-food supply chain under live streaming and government subsidies: Strategy selection of subsidy recipients and sales agreements. Comput. Ind. Eng. 2023, 185, 107563. [Google Scholar] [CrossRef]
- Xin, B.-G.; Hao, Y.-R.; Xie, L. Strategic product showcasing mode of E-commerce live streaming. J. Retail. Consum. Serv. 2023, 73, 103360. [Google Scholar] [CrossRef]
- Gao, J.-Y.; Zhao, X.-J.; Zhai, M.-F.; Zhang, D.; Li, G. AI or Human? The Effect of Streamer Types on Consumer Purchase Intention in Live Streaming. Int. J. Hum. –Comput. Interact. 2024, 41, 305–317. [Google Scholar] [CrossRef]
- Ji, M.; Chen, X.-Y.; Wei, S.-B. What Motivates Consumers’ Purchase Intentions in E-Commerce Live Streaming: A Socio-Technical Perspective. Int. J. Hum. –Comput. Interact. 2024, 41, 1585–1605. [Google Scholar] [CrossRef]
- Lv, J.; Cao, C.; Xu, Q.-W.; Ni, L.-Y.; Shao, X.-Y.; Shi, Y.-Y. How Live Streaming Interactions and Their Visual Stimuli Affect Users’ Sustained Engagement Behaviour—A Comparative Experiment Using Live and Virtual Live Streaming. Sustainability 2022, 14, 8907. [Google Scholar] [CrossRef]
- Xu, Y.-J.; Zeng, K.; Guo, J.; Li, X.; Dong, L.-C.; Jiang, W.-Q. Whether Live Streaming Has a Better Performance? An Examination of Product Presentation Modes on Cross-Border E-Commerce Platform. Int. J. Hum.–Comput. Interact. 2023, 41, 69–84. [Google Scholar] [CrossRef]
- Guo, J.; Xu, Y.-J.; Jiang, W.-Q.; Li, Y. The Influences of Live Streaming Affordance in Cross-Border E-Commerce Platforms: An Information Transparency Perspective. J. Glob. Inf. Manag. (JGIM) 2021, 30, 1–24. [Google Scholar]
- Chen, A.-H.; Zhang, Y.-N.; Liu, Y.-T.; Lu, Y.-B. Be a good speaker in livestream shopping: A speech act theory perspective. Electron. Commer. Res. Appl. 2023, 61, 101190. [Google Scholar] [CrossRef]
- Guo, Y.-Y.; Zhang, K.-X.; Wang, C.-Y. Way to success: Understanding top streamer’s popularity and influence from the perspective of source characteristics. J. Retail. Consum. Serv. 2022, 64, 102788. [Google Scholar] [CrossRef]
- Luo, H.-Y.; Cheng, S.-J.; Zhou, W.-H.; Yu, S.-M.; Lin, X.-D. A Study on the Impact of Linguistic Persuasive Styles on the Sales Volume of Live Streaming Products in Social E-Commerce Environment. Mathematics 2021, 9, 1576. [Google Scholar] [CrossRef]
- Ma, X.-Y.; Liu, S. Information disclosure strategies of live-streaming supply chains in the digi-economy era. Manag. Decis. Econ. 2024, 45, 17. [Google Scholar] [CrossRef]
- Boyacı, T.; Akçay, Y. Pricing When Customers Have Limited Attention. Manag. Sci. 2017, 64, 2995–3014. [Google Scholar] [CrossRef]
- Chen, L.-D.; Xu, Q.-Y.; He, Y. Channel selection strategy with consumer impulse purchase in livestream selling. Manag. Decis. Econ. 2024, 45, 5006–5019. [Google Scholar] [CrossRef]
- Prince, C.A.; Fang, J.; Ohemeng, A.A.; Bakabbey, K.N. Customer engagement and purchase intention in live-streaming digital marketing platforms. Serv. Ind. J. 2021, 41, 767–786. [Google Scholar]
- Park, J.; Kim, R.B. A new approach to segmenting multichannel shoppers in Korea and the U.S. J. Retail. Consum. Serv. 2018, 45, 163–178. [Google Scholar] [CrossRef]
- Huseynov, F.; Yıldırım, S.Ö. Online Consumer Typologies and Their Shopping Behaviors in B2C E-Commerce Platforms. SAGE Open 2019, 9, 2158244019854639. [Google Scholar] [CrossRef]
- Zhan, Z.-F.; Huang, Y.-H. A study on omnichannel retailers’ return strategies considering showroom and consumer preference behavior. Manag. Decis. Econ. 2024, 45, 4763–4776. [Google Scholar] [CrossRef]
- Zhen, X.-P.; Cai, G.-S.; Song, R.; Jang, S. The effects of herding and word of mouth in a two-period advertising signaling model. Eur. J. Oper. Res. 2019, 275, 361–373. [Google Scholar] [CrossRef]
- Zhao, J.; Qiu, J.; Zhou, Y.-W.; Hu, X.-J.; Yang, A.-F. Quality disclosure in the presence of strategic consumers. J. Retail. Consum. Serv. 2020, 55, 102084. [Google Scholar] [CrossRef]
- Liu, Z.; Chen, H.-R.; Zhang, X.-M.; Gajpal, Y.; Zhang, Z.-C. Optimal channel strategy for an e-seller: Whether and when to introduce live streaming? Electron. Commer. Res. Appl. 2024, 63, 101348. [Google Scholar] [CrossRef]
- Guo, X.-W.; Zha, Y.; Chen, H.-P.; Liang, L. National brand manufacturers’ supply strategy in the presence of retailers’ store-branded lookalike packaging and consumer confusion about quality preference. Transp. Res. Part E 2023, 175, 102679. [Google Scholar] [CrossRef]
- Han, X.-Y.; Liu, X. Equilibrium decisions for multi-firms considering consumer quality preference. Int. J. Prod. Econ. 2020, 227, 107688. [Google Scholar] [CrossRef]
- Örsdemir, A.; Kemahlıoğlu-Ziya, E.; Parlaktürk, A.K. Competitive Quality Choice and Remanufacturing. Prod. Oper. Manag. 2014, 23, 48–64. [Google Scholar] [CrossRef]
- Bagwell, K. Chapter 28 The Economic Analysis of Advertising. Handb. Ind. Organ. 2007, 3, 143. [Google Scholar]
- Spence, M. Job Market Signaling*. Q. J. Econ. 1973, 87, 355–374. [Google Scholar] [CrossRef]
- Ahn, Y.; Lee, J. The Impact of Online Reviews on Consumers’ Purchase Intentions: Examining the Social Influence of Online Reviews, Group Similarity, and Self-Construal. J. Theor. Appl. Electron. Commer. Res. 2024, 19, 1060–1078. [Google Scholar] [CrossRef]
- Xu, X.-X.; Fan, R.-G.; Wang, D.-X.; Wang, Y.-T.; Wang, Y.-Y. The role of consumer reviews in e-commerce platform credit supervision: A signaling game model based on complex network. Electron. Commer. Res. Appl. 2024, 63, 101347. [Google Scholar] [CrossRef]
- Zhang, X.-B.; Tu, Y.-B.; Haney, M.H.; Cheng, H.-W. Buyers’ Negative Ratings and Textual Comments on eBay: Reasons for Posting Ratings and Factors in Denouncing Sellers. J. Theor. Appl. Electron. Commer. Res. 2024, 19, 1717–1733. [Google Scholar] [CrossRef]
- Jiang, B.-J.; Tian, L.; Xu, Y.-F.; Zhang, F.-Q. To Share or Not to Share: Demand Forecast Sharing in a Distribution Channel. Mark. Sci. 2016, 35, 800–809. [Google Scholar] [CrossRef]
- Li, Q.-Y.; Ding, H.; Shi, T.-Q.; Tang, Y.-L. To share or not to share: The optimal advertising effort with asymmetric advertising effectiveness. Ann. Oper. Res. 2020, 329, 1–28. [Google Scholar] [CrossRef]
- Tian, L.; Jiang, B.-J. Comment on “Strategic Information Management Under Leakage in a Supply Chain”. Manag. Sci. 2016, 63, 4258–4260. [Google Scholar] [CrossRef]
- Mayzlin, D.; Dover, Y.; Chevalie, J. Promotional Reviews: An Empirical Investigation of Online Review Manipulation. Am. Econ. Rev. 2014, 104, 2421–2455. [Google Scholar] [CrossRef]
- Krishnamoorthy, A.; Prasad, A.; Sethi, S. Optimal pricing and advertising in a durable-good duopoly. Eur. J. Oper. Res. 2010, 200, 486–497. [Google Scholar] [CrossRef]
- Luo, L.; Li, X.; Zhao, Y. A two-stage stochastic-robust model for supply chain network design problem under disruptions and endogenous demand uncertainty. Transp. Res. Part E 2025, 196, 104013. [Google Scholar] [CrossRef]
- Chen, Y.-F. Herd behavior in purchasing books online. Comput. Hum. Behav. 2008, 24, 1977–1992. [Google Scholar] [CrossRef]
- Mai, E.-P.; Liao, Y. The interplay of word-of-mouth and customer value on B2B sales performance in a digital platform: An expectancy value theory perspective. J. Bus. Ind. Mark. 2022, 37, 1389–1401. [Google Scholar] [CrossRef]
- Ujwary-Gil, A.; Potoczek, N.R. A dynamic, network and resource-based approach to the sustainable business model. Electron. Mark. 2020, 30, 717–733. [Google Scholar] [CrossRef]
- Ljungqvist, A.; Wilhelm, W.J. IPO Pricing in the Dot-Com Bubble. J. Financ. 2003, 58, 723–752. [Google Scholar] [CrossRef]







| Symbol | Description |
|---|---|
| Parameters | |
| The project type, | |
| The cost per unit of live streaming | |
| The benefit of consumers | |
| The discount coefficient of quality concerns for price-sensitive consumers, | |
| The discount coefficient of price concerns for quality-sensitive consumers, | |
| The consumers’ perception of the quality of the project before consumption | |
| The number of quality-oriented consumers | |
| The number of quality-sensitive consumers | |
| The number of price-sensitive consumers | |
| The probability of the project being of high or low quality | |
| The punishment for the enterprise due to negative consumer reviews | |
| The market demand | |
| The probability of adopting a high/low live-streaming strategy for the low-quality project | |
| The proportion of consumers who give negative reviews to the low-quality project | |
| The increased probability of quality-sensitive consumers purchasing the high-quality project, | |
| The impact of the first-stage live-streaming strategy on the second stage, | |
| Decision variables | |
| The live-streaming strategy in the static separating/pooling equilibrium | |
| The live-streaming strategy of the tth stage () in the dynamic separating/pooling equilibrium | |
| The price of the high- ()/low-quality () project | |
Disclaimer/Publisher’s Note: The statements, opinions and data contained in all publications are solely those of the individual author(s) and contributor(s) and not of MDPI and/or the editor(s). MDPI and/or the editor(s) disclaim responsibility for any injury to people or property resulting from any ideas, methods, instructions or products referred to in the content. |
© 2025 by the authors. Licensee MDPI, Basel, Switzerland. This article is an open access article distributed under the terms and conditions of the Creative Commons Attribution (CC BY) license (https://creativecommons.org/licenses/by/4.0/).
Share and Cite
Meng, F.; Wu, Y. Research on the Optimal Live-Streaming Strategy Under the Influence of Consumer Preferences: Taking Agriculture and Cultural Tourism Enterprise as an Example. J. Theor. Appl. Electron. Commer. Res. 2025, 20, 89. https://doi.org/10.3390/jtaer20020089
Meng F, Wu Y. Research on the Optimal Live-Streaming Strategy Under the Influence of Consumer Preferences: Taking Agriculture and Cultural Tourism Enterprise as an Example. Journal of Theoretical and Applied Electronic Commerce Research. 2025; 20(2):89. https://doi.org/10.3390/jtaer20020089
Chicago/Turabian StyleMeng, Fanyong, and Yu Wu. 2025. "Research on the Optimal Live-Streaming Strategy Under the Influence of Consumer Preferences: Taking Agriculture and Cultural Tourism Enterprise as an Example" Journal of Theoretical and Applied Electronic Commerce Research 20, no. 2: 89. https://doi.org/10.3390/jtaer20020089
APA StyleMeng, F., & Wu, Y. (2025). Research on the Optimal Live-Streaming Strategy Under the Influence of Consumer Preferences: Taking Agriculture and Cultural Tourism Enterprise as an Example. Journal of Theoretical and Applied Electronic Commerce Research, 20(2), 89. https://doi.org/10.3390/jtaer20020089
