Next Article in Journal
Application of a Microeconomic Approach for Explanation of Citizen Participation in Open Government
Next Article in Special Issue
Strategic Third-Party Product Entry and Mode Choice under Self-Operating Channels and Marketplace Competition: A Game-Theoretical Analysis
Previous Article in Journal
Time-of-Day and Day-of-Week Effects on TV and OTT Media Choices: Evidence from South Korea
Previous Article in Special Issue
Enhancing Traceability in Wine Supply Chains through Blockchain: A Stackelberg Game-Theoretical Analysis
 
 
Font Type:
Arial Georgia Verdana
Font Size:
Aa Aa Aa
Line Spacing:
Column Width:
Background:
Article

Analysis of Green Innovation of the E-Tailer and Supplier with a Drop Shipping Option in E-Commerce

1
College of Management and Economics, Tianjin University, Tianjin 300072, China
2
School of Management Science and Engineering, Hebei University of Economics and Business, Shijiazhuang 050061, China
*
Author to whom correspondence should be addressed.
J. Theor. Appl. Electron. Commer. Res. 2024, 19(1), 20-39; https://doi.org/10.3390/jtaer19010002
Submission received: 16 September 2023 / Revised: 15 November 2023 / Accepted: 27 December 2023 / Published: 28 December 2023

Abstract

:
As customer demand for green products increases in the digital economic era, this study analyses the green innovation of the e-tailer and supplier in drop shipping models. Moreover, drop shipping e-tailers and suppliers with a drop shipping option need to make choices regarding whether to provide green or normal products to the market. When a supplier with a drop shipping option produces green products, more fees may be invested in the production of green products than on normal products. The drop shipping e-tailers and suppliers with a drop shipping option can also choose to sell normal products at a low cost, as before. This study designs four models of drop shipping e-tailers and suppliers with a drop shipping option under different choices, analyzes their operational process in drop shipping models, and investigates five theorems. The optimal pricing decisions and green degree of drop shipping e-tailers and suppliers with a drop shipping option were evaluated in this study. The impacts of the green innovation factor, green elasticity coefficient, manufacturing and distribution costs on the drop shipping e-tailers and suppliers with a drop shipping option, and the effect of other environmental parameters on the green degree of green products are also analyzed through computer simulation. The findings of the simulation analysis provide valuable guidance for e-tailers and suppliers with green innovation in drop shipping models and offer important academic and practical implications for e-commerce and the digital economy.

1. Introduction

With the new generation of information technologies represented by big data and artificial intelligence being applied in many fields of social life, the digital economy and e-commerce of countries worldwide have been greatly developed. The China E-commerce Report (2021) revealed that the national e-commerce transaction volume may reach ¥42.3 trillion RMB in 2021, with a year-on-year growth of 19.6% [1]. According to the Digital China Development Report (2022), the scale of China’s digital economy reached ¥50.2 trillion RMB in 2022, ranking second in the world, with a year-on-year nominal growth of 10.3% [2]. With an increasing focus on environmental protection by people and organizations in societies worldwide, an increasing number of customers want to buy green products in e-business [3,4]. To fulfill customers’ green preferences, drop shipping e-tailers should purchase green products from suppliers who produce green products with a drop shipping option. In other words, the supplier with a drop shipping option should spend more resources to innovate its production of green products compared to normal ones, which would subsequently increase the cost of manufacturing these green products and the wholesale price. In this scenario, the supplier with a drop shipping option should decide whether to provide green products or sell normal products. When the supplier with a drop shipping option supplies green products at a higher wholesale price than normal products to the drop shipping e-tailer, the latter should also determine whether to provide green products at a high retail price or to supply normal products at a low retail price, because the increase in the retail price of physical goods will reduce the number of customer demand. This study proposes two operational scenarios for drop shipping e-tailers and suppliers with a drop shipping option based on traditional models [5], and each operational scenario has two models, which are the model of drop shipping e-tailer and the model of the supplier with a drop shipping option. The first scenario involves a drop shipping e-tailer selling normal products, and the second scenario involves a drop shipping e-tailer providing green products. Furthermore, this study expands the green innovation of the e-tailer and supplier from traditional models to drop shipping models, and the optimal decisions of the drop shipping e-tailers and suppliers with a drop shipping option across different operational environments are also evaluated.
The Global Digital Economy White Paper released at the 2023 Global Digital Economy Conference indicates that the scale of China’s digital economy will increase by $4.1 trillion dollars in 2022, with a compound annual growth rate of 14.2% [6]. Against the backdrop of a booming digital economy, China’s e-commerce has also exhibited a thriving and prosperous scene. The concept of the digital economy was first proposed by Tapscott in 1995, and he believed that an important feature of the digital economy is networked intelligence [7]. In 1998, Tapscott, Lowy, and Ticoll et al. wrote a blueprint for the digital economy and believed that the era of e-business was coming and would bring more wealth to society [8]. Carlsson then evaluated the reasons why the digital economy is called the new economy of the United States economy in the latter half of the 1990s and observed changes in the view that digitization of information, combined with the Internet, etc. [9]. Peitz and Waldfogel provided a series of theoretical and empirical works on the digital economy, including the digital industry and business practices [10]. Although green development has been accepted in many countries worldwide, Liu, Liu, and Osmani agreed that digital technology has powerful potential to promote the development of a circular economy and reviewed the research progress and trends of the integration of the circular economy and digital economy [11]. Rusch, Schoggl, and Baumgartner considered digital technologies to act as enablers for a more sustainable and circular economy and offered a comprehensive overview of current and potential examples of digital technology applications in different models through quantitative and qualitative content analysis [12]. In general, with more than decades of continuous research on the digital economy and green development by many scholars and experts, fruitful results have valuable positive significance for the sustainable development of the world economy and natural environment.
Drop Shipping was initially used by mail-order companies as a marketing method in the 1990s, achieving great success after they were introduced into e-commerce and obtaining a win-win model of sharing customer information and e-fulfillment capabilities between the e-tailers and suppliers [13]. The world’s largest luggage e-tailer, eBags, uses drop shipping to sell over 12,000 kinds of goods with more than 200 brands. Many e-tailers in Taobao, eBay, and Amazon chose drop shipping to complete their customer orders. Lee and Chu examined the variation in the e-tailer’s profit in traditional VMI, CAM, and drop shipping modes based on the Newsvendor Model [14]. Bailey and Ravinovich believed that e-tailers should mix traditional channels and drop shipping modes in most operational environments, which can improve product sales [15]. Mukhopadhyay, Zhu, and Yue analyzed the optimal decision making issues of manufacturers using mixed-channel models [16]. Xiao, Chen, and Chen evaluated the optimal inventory and ordering decisions of an e-tailer in hybrid channels who utilized an Internet store and physical shop to provide seasonal commodities for customer demand from online and offline channels [17]. Chiang and Feng investigated corporate issues between the manufacturer and the e-tailer with traditional distribution channels and drop shipping channels and analyzed the profit rate and efficiency of these two channels [18]. Zhao, Duan, and Wang et al. focused on the coordination mechanism and pricing issues of a dual-channel supply chain with a drop shipping option [19]. In recent years, with the gradual increase in emerging information technologies such as big data in e-commerce and other related fields [20], research on e-tailers has attracted the attention of many experts and scholars worldwide. In 2018, Chen, Chiu, and Lin et al. proposed online product arrangement and stock management problems for an e-tailer in a drop shipping environment [21]. Sodero, Namin, and Gauri et al. used analytical models to examine the inventory assortment operation of an e-tailer who provided seasonal products to the market with both drop shipping and store channels [22]. Qiu, Hou, and Sun et al. analyzed the decision issues of a dual-channel supply chain that contained a manufacturer, a traditional retailer, and an e-tailer and obtained analytical solutions for pricing and ordering decisions with uncertain demands through a distribution-free approach [23]. These findings indicate that e-commerce has become an important growth point in the social economy and a new driving force for promoting economic growth, but there is rarely research on the green innovation of the drop shipping e-tailer and supplier in e-commerce, the traditional e-tailer and supplier obtained more margins from green products in traditional models [5], what will happen when the drop shipping e-tailer and the supplier with a drop shipping option begin to make green innovation and provide green goods? How will the operational parameters influence the drop shipping e-tailer and the supplier with a drop shipping option when they pay additional resources for the green innovation of normal products? It is just the motivation of this study. With the vigorous development of e-commerce activities worldwide, particularly the rise of cross-border e-commerce, various business model innovations will continue to emerge in the real economy.
The remainder of this paper is organized as follows: The notations and operational models of the drop shipping e-tailers and suppliers with a drop shipping option are investigated in Section 2, and this section analyzes the margins they gained from selling normal and green products to customers. Section 3 evaluates the optimal choices and decisions of drop shipping e-tailers and suppliers with a drop shipping option for offering normal and green commodities. The effect of environmental parameters on drop shipping e-tailers and suppliers with a drop shipping option in different operational scenarios is illustrated through simulation analysis in Section 4. Section 5 concludes.

2. Models of the Drop Shipping E-Tailers and Suppliers

In drop shipping models, the customer demands in the market are computed using Equations (1) and (2) [5,24], where d n is the customer demand for normal products and d g is the customer demand for green ones. The notations used in this study and their descriptions are presented in Table 1.
d n = α β p d , n e .
d g = α β p d , g e + δ θ d s .
When providing green products to the drop shipping e-tailers, the suppliers with a drop shipping option must pay a certain amount of additional cost to the green innovation of normal products to gain green products. This additional cost is computed as 1 2 ε ( θ d s ) 2 [24,25].

2.1. Drop Shipping Models with Normal Products

E-tailers do not have a private inventory system in the drop shipping models. When customers on the Internet purchase normal goods from the drop shipping e-tailer, the latter receives the order information from the customers and then transfers this information to the supplier with a drop shipping option; the supplier delivers these physical products to customers directly according to the received order information. Drop shipping e-tailers differ from traditional e-tailers in three ways. First, traditional e-tailers operate an inventory system, whereas drop shipping e-tailers have no such system. Second, traditional e-tailers send their physical products to customers and pay the distribution cost, whereas drop shipping e-tailers do not charge any distribution cost and let the suppliers with a drop shipping option finish the distribution process. Third, e-fulfillment is accomplished by the traditional e-tailers themselves with their inventory stocks, whereas the drop shipping e-tailers fully depend on the suppliers with a drop shipping option to complete the e-fulfillment process. For the suppliers, the biggest change is the newly added distribution cost in drop shipping models compared with traditional models, and it will cause an increase in the wholesale price of physical goods.
For the sake of generality in Table 1, there are assumptions that include p d , n e > w d , n s > m c d s , p d , g e > w d , g s > m c d s , w d , n s > m c d s + d c d s and w d , g s > m c d s + d c d s to ensure that both drop shipping e-tailers and suppliers with a drop shipping option can earn profits.
In the operational process, where the drop shipping e-tailer and supplier with a drop shipping option provide normal commodities on the Internet, the supplier with a drop shipping option first decides the wholesale price w d , n s of normal products and ensures that w d , n s > m c d s + d c d s , and then the drop shipping e-tailer sets a proper value for the retail price p d , n e of normal products. The supplier with a drop shipping option spends resources on manufacturing normal products and delivers these goods to customers based on the distribution requests of the drop shipping e-tailer. To create margins, the wholesale price of normal products should exceed the sum of these costs, and it is set by the supplier with a drop shipping option. Meanwhile, the drop shipping e-tailer sells normal products to customers and sets an appropriate retail price before customers begin purchasing these goods. In the e-fulfillment operation, given that the supplier with a drop shipping option bears the cost of distributing physical products to customers, the retail price of normal products as determined by the drop shipping e-tailer should be higher than the wholesale price decided by the supplier with a drop shipping option.
In general, the wholesale and retail prices of normal products are decided by the supplier with a drop shipping option and drop shipping e-tailer, respectively. The supplier with a drop shipping option spends a certain amount of fees on manufacturing physical products, delivers physical products to end customers according to the order information received from the drop shipping e-tailer, and supplies commodities to the drop shipping e-tailer at the wholesale price. Whereas, the drop shipping e-tailer provides product information to customers, gathers their order information over the Internet and sends order information to the supplier with a drop shipping option for the distribution service.
If the supplier with a drop shipping option and drop shipping e-tailer offers normal products to the market, the unit margin of the drop shipping e-tailer for providing normal products is obtained by subtracting the wholesale price from the retail price of normal goods, whereas its total income is obtained by multiplying the amount of customer demand d n by the unit revenue. Meanwhile, the unit profit of the supplier with a drop shipping option for offering normal commodities is computed as the wholesale price minus the manufacturing and distribution costs of normal products, and its total income is obtained by multiplying the sum of customer demand d n for normal products on the Internet by unit revenue. Then, the profits of the drop shipping e-tailer and supplier with a drop shipping option are computed using Equations (3) and (4), respectively.
π d , n e = ( p d , n e w d , n s ) ( α β p d , n e ) .
π d , n s = ( w d , n s m c d s d c d s ) ( α β p d , n e ) .

2.2. Drop Shipping Models with Green Products

Based on the operational environment of the green drop shipping e-tailer and green supplier with a drop shipping option, the physical goods stored in the inventory systems of the latter are all green products in drop shipping models, and the operational steps in e-fulfillment are the same as those for the normal products. The green supplier with a drop shipping option is responsible for manufacturing green goods for the drop shipping e-tailer and distributing these green goods to customers. Meanwhile, the green drop shipping e-tailer must transfer information about green products to customers and send order information to the green supplier with a drop shipping option. In the process of manufacturing green products, the green supplier with a drop shipping option should charge additional fees to perform the green innovation of green products. Therefore, for the green supplier with a drop shipping option, the fees for manufacturing green products are higher than those for producing normal products.
In this operational model with green products, the supplier with a drop shipping option initially determines both the wholesale price w d , g s and green degree θ d s of green products, and the drop shipping e-tailer decides the retail price p d , g e of green products after the supplier with a drop shipping option making decisions. After customers order green products from the green drop shipping e-tailer over the Internet, the latter sends such order information to the green supplier with a drop shipping option responsible for distributing green physical products to customers. Customers buy green products from the green drop shipping e-tailer at a retail price determined by the latter, and the green supplier with a drop shipping option delivers these products directly to customers. Given the additional costs involved in green innovation and the drop shipping service of green products, the green supplier with a drop shipping option sells these products to the green drop shipping e-tailer at a higher wholesale price than that of normal products, whereas the customer demand of green products d g is greater than that of normal goods d n because of their green preferences, and the increase in customer demand can bring more margins for the drop shipping e-tailer and supplier with a drop shipping option and partly reduce the adverse impact of increased green innovation costs. The profits of the green drop shipping e-tailer and green supplier with a drop shipping option can be obtained using Equations (5) and (6), respectively.
π d , g e = ( p d , g e w d , g s ) ( α β p d , g e + δ θ d s ) .
π d , g s = ( w d , g s m c d s d c d s ) ( α β p d , g e + δ θ d s ) 1 2 ε ( θ d s ) 2 .

3. Optimal Choices and Decisions of the Drop Shipping E-Tailers and Suppliers

3.1. Optimal Pricing Decisions of the Drop Shipping E-Tailer and Supplier with Normal Products

In this section, the optimal retail and wholesale prices of normal commodities for the drop shipping e-tailer and supplier with a drop shipping option are analyzed based on Equations (3) and (4).
First, for the drop shipping e-tailer with normal goods, 2 π d , n e [ p d , n e ] 2 = 2 β < 0 and π d , n e p d , n e = α 2 β p d , n e + β w d , n s are obtained from Equation (3), then the retail price solution of π d , n e p d , n e = 0 can be found using Equation (7).
p d , n e = 1 2 β ( α + β w d , n s ) .
Second, for the supplier with a drop shipping option and normal products, Equation (8) is obtained when p d , n e is substituted into Equation (4).
π d , n s = 1 2 ( w d , n s m c d s d c d s ) ( α β w d , n s ) .
Though 2 π d , n s [ w d , n s ] 2 = β < 0 and π d , n s w d , n s = α β ( 2 w d , n s m c d s d c d s ) , the optimal wholesale and retail price solutions of normal goods can be obtained from Equations (9) and (10), respectively.
w d , n s = 1 2 β [ α + β ( m c d s + d c d s ) ] .
p d , n e = 1 4 β [ 3 α + β ( m c d s + d c d s ) ] .
Third, when providing normal goods to customers in drop shipping models, the margins of the drop shipping e-tailer and supplier with a drop shipping option can be described as follows:
π d , n e = 1 16 β [ α β ( m c d s + d c d s ) ] 2 .
π d , n s = 1 8 β [ α β ( m c d s + d c d s ) ] 2 .

3.2. Optimal Green Degree and Pricings Decisions of the Drop Shipping E-Tailer and Supplier with Green Products

Compared to drop shipping models with normal products, the green supplier with a drop shipping option has two decision variables, which are wholesale price and the green degree of green goods when offering green products to customers, while the green drop shipping e-tailer decides the retail price of green products in this scenario. The optimal wholesale price, green degree, and retail price of the green supplier with a drop shipping option and green drop shipping e-tailer are examined in this section according to Equations (5) and (6).
First, if the green drop shipping e-tailer decides to sell green commodities for the market, π d , g e p d , g e = α 2 β p d , g e + δ θ d s + β w d , g s and 2 π d , g e [ p d , g e ] 2 = 2 β < 0 can be found from Equation (5), then the retail price solution of green commodities of the green drop shipping e-tailer is shown in Equation (13).
p d , g e = 1 2 β ( α + δ θ d s + β w d , g s ) .
Second, as the green supplier with a drop shipping option and green products, Equation (14) is obtained based on p d , g e and Equation (4) to show the earned margins.
π d , g s = 1 2 [ ( w d , g s m c d s d c d s ) ( α + δ θ d s β w d , g s ) ε ( θ d s ) 2 ] .
Then,
π d , g s w d , g s = 1 2 [ α 2 β w d , g s + δ θ d s + β ( m c d s + d c d s ) ] .
π d , g s θ d s = 1 2 [ δ ( w d , g s m c d s d c d s ) 2 ε θ d s ] .
The Hessian matrix was obtained as Equation (17).
2 π d , g s [ θ d s ] 2 2 π d , g s θ d s w d , g s 2 π d , g s w d , g s θ d s 2 π d , g s [ w d , g s ] 2 = ε β 1 4 δ 2 .
Due to ε < 0 , π d , g s is a convex function of green degree θ d s and wholesale price w d , g s of green products when ε β 1 4 δ 2 > 0 . Based on π d , g s w d , g s = 0 and π d , g s θ d s = 0 , the solutions of the wholesale price w d , g s and green degree θ d s and retail price of green products, which are decision variables of the green supplier with a drop shipping option and green drop shipping e-tailer, are expressed as Equations (18), (19), and (20), respectively.
w d , g s = 1 4 ε β δ 2 [ 2 ε α + ( 2 ε β δ 2 ) ( m c d s + d c d s ) ] .
θ d s = δ 4 ε β δ 2 [ α β ( m c d s + d c d s ) ] .
p d , g e = 1 4 ε β δ 2 [ 3 ε α + ( ε β δ 2 ) ( m c d s + d c d s ) ] .
Third, after the optimal values of three decision variables were achieved in drop shipping models with green products, the maximum profits of the green drop shipping e-tailer and green supplier with a drop shipping option when providing green products were constructed using Equations (21) and (22), respectively.
π d , g e = ε 2 β ( 4 ε β δ 2 ) 2 [ α β ( m c d s + d c d s ) ] 2 .
π d , g s = ε 2 ( 4 ε β δ 2 ) [ α β ( m c d s + d c d s ) ] 2 .

3.3. Analysis of the Optimal Choices and Decisions of the Drop Shipping E-Tailer and Supplier

Finally, five theorems were obtained based on the analysis of the optimal decisions on wholesale and retail prices and margins of the drop shipping e-tailer and supplier with a drop shipping option in two different drop shipping models.
Theorem 1.
w d , g s > w d , n s .
Proof. 
It can be obtained from Equation (18) minuses Equation (9), as follows:
w d , g s w d , n s = 1 4 ε β δ 2 [ 2 ε α + ( 2 ε β δ 2 ) ( m c d s + d c d s ) ] 1 2 β [ α + β ( m c d s + d c d s ) ] = 1 2 β ( 4 ε β δ 2 ) { 2 β [ 2 ε α + ( 2 ε β δ 2 ) ( m c d s + d c d s ) ] ( 4 ε β δ 2 ) [ α + β ( m c d s + d c d s ) ] }
And
2 β [ 2 ε α + ( 2 ε β δ 2 ) ( m c d s + d c d s ) ] ( 4 ε β δ 2 ) [ α + β ( m c d s + d c d s ) ] = 4 ε α β + 2 β ( 2 ε β δ 2 ) ( m c d s + d c d s ) ( 4 ε β δ 2 ) α β ( 4 ε β δ 2 ) ( m c d s + d c d s ) = 4 ε α β + β [ 2 ( 2 ε β δ 2 ) ( 4 ε β δ 2 ) ] ( m c d s + d c d s ) 4 ε α β + α δ 2 = 4 ε α β 4 ε α β + β [ 4 ε β 2 δ 2 4 ε β + δ 2 ] ( m c d s + d c d s ) + α δ 2 = β δ 2 ( m c d s + d c d s ) + α δ 2 = δ 2 [ α β ( m c d s + d c d s ) ]
With α β ( m c d s + d c d s ) > α β w d , g e > α β p d , g e > 0 and 4 ε β δ 2 > 0 , then w d , g s w d , n s = δ 2 2 β ( 4 ε β δ 2 ) [ α β ( m c d s + d c d s ) ] > 0 .
So w d , g s > w d , n s .
Theorem 1 reveals that the wholesale price of green products decided by the green supplier with a drop shipping option is higher than that of normal products in the drop shipping models. □
Theorem 2.
p d , g e > p d , n e .
Proof. 
The result of Equation (20) minuses Equation (10) is,
p d , g e p d , n e = 1 4 ε β δ 2 [ 3 ε α + ( ε β δ 2 ) ( m c d s + d c d s ) ] 1 4 β [ 3 α + β ( m c d s + d c d s ) ] = 1 4 β ( 4 ε β δ 2 ) { 4 β [ 3 ε α + ( ε β δ 2 ) ( m c d s + d c d s ) ] ( 4 ε β δ 2 ) [ 3 α + β ( m c d s + d c d s ) ] }
Though
4 β [ 3 ε α + ( ε β δ 2 ) ( m c d s + d c d s ) ] ( 4 ε β δ 2 ) [ 3 α + β ( m c d s + d c d s ) ] = [ 12 ε α β + 4 β ( ε β δ 2 ) ( m c d s + d c d s ) ] [ 3 α ( 4 ε β δ 2 ) + β ( 4 ε β δ 2 ) ( m c d s + d c d s ) ] = 12 ε α β + 4 β ( ε β δ 2 ) ( m c d s + d c d s ) 3 α ( 4 ε β δ 2 ) β ( 4 ε β δ 2 ) ( m c d s + d c d s ) = 12 ε α β + β [ 4 ( ε β δ 2 ) ( 4 ε β δ 2 ) ] ( m c d s + d c d s ) ( 12 ε α β 3 α δ 2 )
= 12 ε α β + β [ ( 4 ε β 4 δ 2 ) ( 4 ε β δ 2 ) ] ( m c d s + d c d s ) 12 ε α β + 3 α δ 2 = 12 ε α β 12 ε α β + 3 α δ 2 + β [ 4 ε β 4 δ 2 4 ε β + δ 2 ] ( m c d s + d c d s ) = 3 α δ 2 3 β δ 2 ( m c d s + d c d s ) = 3 δ 2 [ α β ( m c d s + d c d s ) ]
As α β ( m c d s + d c d s ) > α β w d , g e > α β p d , g e > 0 and 4 ε β δ 2 > 0 .
So p d , g e p d , n e = 3 δ 2 4 β ( 4 ε β δ 2 ) [ α β ( m c d s + d c d s ) ] > 0 .
And then p d , g e > p d , n e .
Theorem 2 shows that the retail price of green products determined by the green drop shipping e-tailer is also higher than that of normal products.□
Theorem 3.
π d , g e > π d , n e .
Proof. 
Firstly, because of α β ( m c d s + d c d s ) > α β w d , g s > α β p d , g e > 0 and 4 ε β δ 2 > 0 .
Then according to Equations (11) and (21)
π d , g e π d , n e = ε 2 β ( 4 ε β δ 2 ) 2 [ α β ( m c d s + d c d s ) ] 2 1 16 β [ α β ( m c d s + d c d s ) ] 2 = [ α β ( m c d s + d c d s ) ] 2 [ ε 2 β ( 4 ε β δ 2 ) 2 1 16 β ] = 1 16 β ( 4 ε β δ 2 ) 2 [ α β ( m c d s + d c d s ) ] 2 [ 16 ε 2 β 2 ( 4 ε β δ 2 ) 2 ]
And,
[ α β ( m c d , g s + d c d s ) ] 2 [ 16 ε 2 β 2 ( 4 ε β δ 2 ) 2 ] = [ α β ( m c d , g s + d c d s ) ] 2 [ 4 ε β + ( 4 ε β δ 2 ) ] [ 4 ε β ( 4 ε β δ 2 ) ] = ( 8 ε β δ 2 ) [ α β ( m c d , g s + d c d s ) ] 2 > 0 .
Then π d , g e π d , n e = 1 16 β ( 4 ε β δ 2 ) 2 ( 8 ε β δ 2 ) [ α β ( m c d , g s + d c d s ) ] 2 > 0 .
So π d , g e > π d , n e .
Theorem 3 implies that the green drop shipping e-tailer obtains more margins from providing green products than normal ones in the drop shipping models.□
Theorem 4.
π d , g s > π d , n s .
Proof. 
Based on Equations (12) and (22), there is
π d , g s π d , n s = ε 2 ( 4 ε β δ 2 ) [ α β ( m c d s + d c d s ) ] 2 1 8 β [ α β ( m c d s + d c d s ) ] 2 = [ α β ( m c d s + d c d s ) ] 2 [ ε 2 ( 4 ε β δ 2 ) 1 8 β ] = 1 8 β ( 4 ε β δ 2 ) [ α β ( m c d s + d c d s ) ] 2 [ 4 ε β ( 4 ε β δ 2 ) ] = 1 8 β ( 4 ε β δ 2 ) [ α β ( m c d s + d c d s ) ] 2 [ 4 ε β 4 ε β + δ 2 ] = δ 2 8 β ( 4 ε β δ 2 ) [ α β ( m c d s + d c d s ) ] 2
And α β ( m c d s + d c d s ) > α β w d , g e > α β p d , g e > 0 , 4 ε β δ 2 > 0 .
So π d , g s > π d , n s .
Theorem 4 indicates that the green supplier with a drop shipping option generates more revenues by providing green products to the green drop shipping e-tailer than normal products.□
Theorem 5.
π d , g e + π d , g s > π d , n e + π d , n s .
Proof. 
Theorem 5 is obtained based on Theorem 3 and Theorem 4.
Theorem 5 proves that the total income earned from supplying green products is greater than that of normal products in an operational environment with drop shipping.
The results of these theorems show that the optimal choices of the drop shipping e-tailer and supplier with a drop shipping option are all offering green products to the market; both the green drop shipping e-tailer and green supplier with a drop shipping option earn more margins from selling green products than normal ones in drop shipping models, although the retail and wholesale prices of green products are greater than those of normal products.□

4. Experimental Analysis

In the experimental simulation, the effects of the green elasticity coefficient, green innovation factor, manufacturing cost, and distribution cost on the drop shipping e-tailer and supplier with a drop shipping option were evaluated. The simulation considers the green degree, wholesale and retail prices of green products, and the margins earned by the drop shipping e-tailer and supplier with a drop shipping option from supplying green products to the market. The optimal choices and decisions of the drop shipping e-tailer and supplier with a drop shipping option were ensured through a comparative analysis in different operational scenarios. The values of environmental parameters used in the simulation are listed in Table 2.

4.1. Analysis of the Impact of Operational Parameters on the Green Degree of Green Products

The green supplier with a drop shipping option consumes additional fees to accomplish the green innovation of green products because the optimal choices of the drop shipping e-tailer and supplier with a drop shipping option are chosen to provide green commodities for customers. The additional fees can cause an increase in the wholesale and retail price of green products and a decrease in customer demand, whereas an increasing green degree of green products may bring more customer demand to the green drop shipping e-tailer and green supplier with a drop shipping models. So, the green supplier with a drop shipping option regards the green degree as a valuable decision variable for green products to maximize margins. The operational parameters, which include the green innovation factor, green elasticity coefficient, manufacturing cost, and distribution cost, impacting the green degree of green products are evaluated in this experiment simulation.

4.1.1. Analysis of the Green Innovation Factor Influents on the Green Degree of Green Products

As Figure 1 shows, the optimal green degree of green products gradually decreases when the green innovation factor of green commodities increases. An increase in the green innovation factor of green goods suggests that the green supplier with a drop shipping option should invest additional fees to achieve the same green innovation level as before. Thus, when the amount of costs spent on green innovation remains unchanged, an increase in the green innovation factor of green commodities decreases the green degree of green products produced by the green supplier with a drop shipping option. For instance, if the green innovation factor of green goods increases from 35 to 40, the green degree of the green products has an opposite trend, and it decreases from 3.8932 to 3.3061.
For the green supplier with a drop shipping option, the lower the green innovation factor, the lower the additional fees spent on the green innovation in producing green products. If the additional costs invested in green innovation of green products decrease, the wholesale and retail prices of green products will become lower than before, then the customer demand for green goods will increase, and the green drop shipping e-tailer and green supplier with a drop shipping option can earn more profits with a low green innovation factor.

4.1.2. Analysis of the Green Elasticity Coefficient Influents on the Green Degree of Green Products

As the green elasticity coefficient increases, the green degree of green products shows an upward trend, as shown in Figure 2. An increase in the green elasticity coefficient corresponds to an increase in customer demand for green products on the Internet, which in turn increases the revenues attained by the green drop shipping e-tailer and green supplier with a drop shipping option from selling green products. In this case, the green supplier with a drop shipping option is pushed to pay additional fees for the green innovation of green products to improve the green degree. Specifically, if the green elasticity coefficient increases from 33 to 39, the green degree of green products manufactured by the green supplier with a drop shipping option increases from 3.1996 to 4.0689.
For the green drop shipping e-tailer, the larger the green elasticity coefficient, the greater the customer demand and margins earned. Thus, the green drop shipping e-tailer and green supplier with a drop shipping option can make more profits when they meet a large green elasticity coefficient in the drop shipping environment.

4.1.3. Analysis of the Manufacturing Cost Influents on the Green Degree of Green Products

When the manufacturing cost of green commodities increases, the green degree of green products produced by the green supplier with a drop shipping option decreases, as shown in Table 3. For example, when the manufacturing cost of green products increases from $7.5 to $8.5, the green degree of green products decided by the green supplier with a drop shipping option decreases from 3.7596 to 3.4424, highlighting a negative correlation between the green degree and the manufacturing cost of green goods. These results mean that the larger the manufacturing cost, the smaller the green degree of green commodities.

4.1.4. Analysis of the Distribution Cost Influents on the Green Degree of Green Products

With the increasing distribution cost of the green supplier in drop shipping models, the green degree of green commodities manufactured by the green supplier with a drop shipping option shows a decreasing trend in Table 3. When the distribution cost of the green supplier with a drop shipping option increases, the wholesale and retail prices of green products also increase, and the customer demand for green goods decreases, thereby decreasing the profits of both the green supplier with a drop shipping option and green drop shipping e-tailer. In this case, the green supplier with a drop shipping option would invest fewer resources in the green innovation of green products than before, thus reducing the green degree of these products. For instance, if the distribution cost of the green supplier with a drop shipping option increases from $0.30 to $0.90, the green degree of green commodities decreases from 3.8707 to 3.6803.
Though the distribution cost is borne by the green supplier in drop shipping models if this cost increases, the green supplier with a drop shipping option will spend fewer fees on the green innovation of green goods when given limited total resources, and the green degree of green commodities becomes smaller, which causes a reduction in customer demand for green goods, and both the green supplier with a drop shipping option and green drop shipping e-tailer obtain fewer margins in this scenario. Therefore, the green drop shipping e-tailer and green supplier with a drop shipping option should try to reduce the distribution cost to maximize their income.

4.2. Impact of the Green Elasticity Coefficient on the Drop Shipping E-Tailer and Supplier

4.2.1. Analysis of the Green Elasticity Coefficient Influents on the Retail and Wholesale Prices

Increasing the green elasticity coefficient also increases the customer demand for green commodities on the Internet. Thus, the green drop shipping e-tailer increases the retail price of green goods, which in turn drives the green supplier with a drop shipping option to increase the wholesale price of green products. Both the green drop shipping e-tailer and green supplier with a drop shipping option gain higher margins by providing green commodities. The effect of the green elasticity coefficient on the wholesale and retail prices of green goods is shown in Figure 3. When the coefficient gradually rises, the wholesale and retail prices of green products also increase. For instance, if the green elasticity coefficient of green commodities rises from 33.0 to 39.0, the wholesale price of green products decided by the green supplier with a drop shipping option increases from $15.1309 to $15.6619, whereas the retail price of green goods determined by the green drop shipping e-tailer increases from $18.6213 to $19.4178.
In the drop shipping models, Figure 3 also indicates that the retail and wholesale prices of green commodities are higher than those of normal ones because of the additional fees spent by the green supplier with a drop shipping option on the green innovation of green products. Under this condition, the wholesale price of green goods is always higher than that of normal products, and an increase in the wholesale price of green goods causes the retail price of these products to increase. In addition, the retail and wholesale prices of normal commodities are not affected by the green elasticity coefficient and remain at $17.0375 and $14.0750 throughout the experiment. Finally, these results show that the variable of the green elasticity coefficient and that of the retail and wholesale prices of green products have the same trend; the bigger the green elasticity coefficient, the higher the retail and wholesale prices of green products.

4.2.2. Analysis of the Green Elasticity Coefficient Influents on Margins of the Drop Shipping E-Tailer and Supplier

When the green elasticity coefficient of green goods increases, the retail and wholesale prices of green products will increase, and the income obtained by the green drop shipping e-tailer and green supplier with a drop shipping option shows an upward trend. However, this trend has no effect on the margins of the drop shipping e-tailer and supplier with a drop shipping option of supplying normal commodities to customers. The increase in the green elasticity coefficient means that more customer demand with green preference in the market, then more profits will be obtained by the green drop shipping e-tailer and green supplier with a drop shipping option, so their income shows an increasing trend, but this change has no impact on the customer demand of normal goods. Table 4 shows the influence of the green elasticity coefficient on the margins of the drop shipping e-tailer and supplier with a drop shipping option.
Specifically, if the green elasticity coefficient of green goods rises from 33.0 to 39.0, the margins of the green drop shipping e-tailer from providing green commodities increase from $609.1541 to $705.3554, while those of the green supplier with a drop shipping option rise from $1034.0 to $1112.7. However, the revenue of the drop shipping e-tailer and supplier with a drop shipping option for providing normal commodities were maintained at $438.8203 and $877.6406, respectively. Therefore, the green drop shipping e-tailer and green supplier with a drop shipping option can generate more margins from supplying green goods than normal ones. In this case, π d , g e > π d , n e and π d , g s > π d , n s hold.

4.3. Impact of Manufacturing Cost on the Drop Shipping E-Tailer and Supplier

4.3.1. Analysis of Manufacturing Cost Influents on the Retail and Wholesale Prices

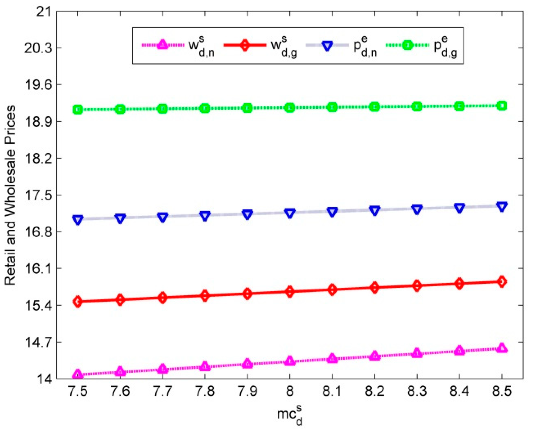
In drop shipping models, the variation in the manufacturing cost of the supplier with a drop shipping option has an important influence on both the drop shipping e-tailer and the supplier with a drop shipping option. An increase in the manufacturing cost of physical goods, to which the supplier with a drop shipping option responded by setting a higher wholesale price to maintain a proper amount of revenue. These increases will push the drop shipping e-tailer to raise the retail price of physical commodities. As Figure 4 shows, when the manufacturing cost of physical products increases, the wholesale prices of these two goods show an upward trend. For instance, if the manufacturing cost of physical commodities rises from $7.5 to $8.5, their wholesale prices increase from $15.4661 and $14.0750 to $15.8487 and $14.5750, respectively, whereas the retail prices of green and normal goods rise from $19.1241 and $17.0375 to $19.1980 and $17.2875, respectively. w d , g s > w d , n s and p d , g e > p d , n e hold true under these conditions.

4.3.2. Analysis of Manufacturing Cost Influents on Margins of the Drop Shipping E-Tailer and Supplier

If the manufacturing cost of physical goods increases, the supplier with a drop shipping option and drop shipping e-tailer should raise the wholesale and retail prices of physical products to achieve a certain level of profitability. However, an increase in the retail price of these products further reduces customer demand in the market and eventually causes a decrease in the margins of the drop shipping e-tailer and supplier with a drop shipping option. This scenario is illustrated in Table 5.
In these models, whether the drop shipping e-tailer provides green or normal commodities, revenues earned by them always show a downward trend. For instance, if the manufacturing cost of physical goods increases from $7.5 to $8.5, the benefits of the suppliers with a drop shipping option for selling two goods decrease from $1083.7 and $877.6406 to $908.5 and $735.7656, respectively. Meanwhile, the profits of the drop shipping e-tailer with two commodities decrease from $669.0609 and $438.8203 to $560.9038 and $367.8828, respectively. Therefore, an increase in the manufacturing cost of physical products has a harmful effect on both the drop shipping e-tailer and supplier with a drop shipping option. π d , g e > π d , n e and π d , g s > π d , n s also hold under these conditions.

4.4. Impact of Distribution Cost on the Drop Shipping E-Tailer and Supplier

4.4.1. Analysis of Distribution Cost Influents on the Retail and Wholesale Prices

If the distribution cost of the supplier with a drop shipping option increases, both the wholesale and retail prices of normal and green products all increase, which are different from the traditional models. For instance, if the distribution cost of the supplier with a drop shipping option rises from $0.30 to $0.90 in Figure 5, the retail prices of normal and green goods decided by the drop shipping e-tailer increase from $16.9500 and $19.0982 to $17.1000 and $19.1426, respectively, meanwhile, the wholesale prices of these two products increase from $13.9000 and $15.3322 to $14.2000 and $15.5617, respectively. These results indicate that if the distribution cost increases, the supplier with a drop shipping option hedges these costs by improving the wholesale price of these two commodities, which leads to increases in the retail prices of the two physical goods.
For the supplier with a drop shipping option, increasing the wholesale price of two different commodities may reduce part of the negative influence of the rising distribution cost. While, for the drop shipping e-tailer, increasing the retail price of two physical products may result in greater margins. Both w d , g s > w d , n s and p d , g e > p d , n e hold true in this scenario.

4.4.2. Analysis of Distribution Cost Influents on Margins of the Drop Shipping E-Tailer and Supplier

When the distribution cost borne by the supplier with a drop shipping option increases, the earned margins of the drop shipping e-tailer and supplier with a drop shipping option decrease, as shown in Table 6. Specifically, when the distribution cost of the supplier with a drop shipping option rises from $0.30 to $0.90, the income gained by the supplier with a drop shipping option from green and normal goods reduces from $1148.7 and $930.2500 to $1038.4 and $841.0000, respectively. Meanwhile, the margins of the drop shipping e-tailer for these two goods decrease from $709.1671 and $465.1250 to $641.1282 and $420.5000, respectively. π d , g e > π d , n e and π d , g s > π d , n s hold true in this scenario.
The experimental results indicate that the increase in distribution cost has an adverse impact on the benefits earned by both the drop shipping e-tailer and supplier with a drop shipping option for whether green or normal commodities. In order to gain more margins, the supplier with a drop shipping option should try to reduce the distribution cost in an operational environment.

4.5. Impact of Green Innovation Factor on the Drop Shipping E-Tailer and Supplier

4.5.1. Analysis of Green Innovation Factor Influents on the Retail and Wholesale Prices

The wholesale prices of green products, as determined by the green supplier with a drop shipping option, show a decreasing trend along with an increasing green innovation factor. Thus, an opposite relationship between the green innovation factor and the wholesale price of green products can be observed. The results also indicate that an increasing green innovation factor has a harmful effect on the retail price of green products, which is decided by the green drop shipping e-tailer. However, variation in the green innovation factor has no influence on the retail and wholesale prices of normal goods. Specifically, when the green innovation factor of green products rises from 35 to 40, the wholesale and retail prices of green products reduce from $15.5155 and $19.1982 to $15.2982 and $18.8724, respectively, whereas those of normal products remain at $14.0750 and $17.0375, respectively. w d , g s > w d , n s and p d , g e > p d , n e also hold for the entire variation process of the green innovation factor, as shown in Figure 6.

4.5.2. Analysis of Green Innovation Factor Influents on Margins of the Drop Shipping E-Tailer and Supplier

The green innovation factor of green goods has no impact on the revenues earned by the drop shipping e-tailer and supplier with a drop shipping option from normal commodities. As shown in Table 7, these margins remain unchanged at $438.8203 and $877.6406, respectively. In contrast, the margins of the green drop shipping e-tailer and green supplier with a drop shipping option decrease with an increasing green innovation factor of green commodities, and a negative correlation is observed between the green innovation factor of green products and the benefits of the drop shipping e-tailer and supplier with a drop shipping option. For instance, as the green innovation factor of green goods rises from 35 to 40, the margins of the drop shipping e-tailer and supplier with a drop shipping option reduce from $678.1281 and $1091.0 to $638.7172 and $1058.8, respectively. In these scenarios, the benefits of the drop shipping e-tailer and supplier with a drop shipping option fulfill π d , g e > π d , n e and π d , g s > π d , n s .

5. Conclusions

When an increasing number of people start to order commodities and services on the Internet and continuously focus on green development and environmental protection in digital economics, this study has the following conclusions: (1) The wholesale price of green products set by the green supplier with a drop shipping option is higher than that of normal products in the drop shipping models. (2) The retail price of green products determined by the green drop shipping e-tailer is also higher than that of normal products. (3) Both the drop shipping e-tailers and suppliers with a drop shipping option should provide green products to customers given the higher margins compared with selling normal ones, so green innovation has a positive impact on the e-tailer and supplier in drop shipping models, and the above three conclusions are obtained from Theorem 1 to Theorem 5. (4) The green elasticity coefficient has a positive relationship with the green degree of green products, but the green innovation factor, manufacturing cost, and distribution cost have a negative relationship with the green degree of green products. (5) The green elasticity coefficient, manufacturing cost, and distribution cost have a positive impact on the wholesale and retail prices of green products, and the green innovation factor has a harmful impact on the wholesale and retail prices of green products. (6) The green elasticity coefficient has a positive influence on the margins of the drop shipping e-tailer and supplier with a drop shipping option, but manufacturing cost, distribution cost, and green innovation factor have a negative influence on the margins of the drop shipping e-tailer and supplier with a drop shipping option, and these last three conclusions are obtained by computer simulation.
The following theoretical implications were obtained: (1) This study extends the optimal choices and decision issues of the e-tailers and suppliers from traditional models to the drop shipping models and obtains their optimal decision variables in two different operational scenarios, especially the optimal green degree of green products decided by the green supplier with a drop shipping option. (2) This research analyzes the impact of environmental parameters on the green degree of green products in drop shipping models through computer simulation. (3) This study evaluates the influences of operational factors on the drop shipping e-tailers and suppliers with a drop shipping option in drop shipping models.
The management implications of this study are as follows: (1) Green suppliers with a drop shipping option should set a higher wholesale price for green products than normal goods to earn more margins. (2) In order to maximize profits, Green drop shipping e-tailers could also decide on a higher retail price of green goods than normal ones in practice. (3) Although the wholesale and retail prices of green products are higher than those of normal products, both drop shipping e-tailers and suppliers with a drop shipping option can earn more margins from investing additional resources to produce green products because consumers willingly purchase these products despite their higher retail prices. (4) In order to increase the green degree of green products, the drop shipping e-tailer and the supplier with a drop shipping option should take action to raise the green elasticity coefficient and decrease the green innovation factor, manufacturing cost, and distribution cost. (5) With the aim to decrease the wholesale and retail prices of green products, the drop shipping e-tailer and the supplier with a drop shipping option should try their best to obtain an environment with a lower green elasticity coefficient, manufacturing cost, and distribution cost, and a higher green innovation factor. (6) In order to earn more margins, the drop shipping e-tailer and the supplier with a drop shipping option should run their business in an operational scenario with a high level of Green elasticity coefficient and low level of manufacturing cost, distribution cost, and green innovation factor.
Although this study has obtained some valuable results, it also has some limitations, which provide extends for future research; for example, the analytical models proposed in the research are theoretical drop shipping models, and they would show the basic operations and phenomenon of the drop shipping e-tailer and the supplier with a drop shipping option, other complex models and hybrid models should be evaluated. In addition, the experimental results are concluded from computer simulation in this research, especially the influences of environmental variables on the drop shipping e-tailer and the supplier with a drop shipping option, so the empirical study on the green innovation of the drop shipping e-tailer and the supplier with a drop shipping option in other complex models is also important. These findings are valuable for drop shipping e-tailers and suppliers with a drop shipping option for providing green commodities, especially when formulating tactical decisions in the digital economic era.

Author Contributions

Conceptualization, Y.C. and B.L.; methodology, B.L.; software, Y.C.; validation, Y.C. and B.L.; formal analysis, Y.C.; investigation, Y.C.; resources, B.L.; data curation, Y.C.; writing—original draft preparation, Y.C.; writing—review and editing, Y.C.; visualization, Y.C.; supervision, B.L.; project administration, Y.C. All authors have read and agreed to the published version of the manuscript.

Funding

This research was funded by the Project of Young Top Talents Program in Universities and Colleges of Hebei Province, China, grant number BJ2019067, and the Social Science Fund Project of Hebei Province, China, grant number HB17GL044.

Institutional Review Board Statement

Not applicable.

Informed Consent Statement

Not applicable.

Data Availability Statement

We have shared all research data in the paper.

Acknowledgments

The authors thank the reviewers and editors for their helpful comments and suggestions.

Conflicts of Interest

The authors declare no conflict of interest.

References

  1. Ministry of Commerce of the People’s Republic of China. The China E-Commerce Report (2021). 2022. Available online: http://www.mofcom.gov.cn/article/zwgk/gkbnjg/202211/20221103368045.shtml (accessed on 16 September 2023).
  2. Cyberspace Administration of China. The Digital China Development Report (2022). 2023. Available online: http://www.cac.gov.cn/2023-05/22/c_1686402318492248.htm (accessed on 16 September 2023).
  3. Nelson, B.; Christopher, T.; Sandy, S. Wine consumers’ environmental knowledge and attitudes: Influence on willingness to purchase. Int. J. Wine Res. 2009, 1, 59–72. [Google Scholar] [CrossRef]
  4. Zhang, N.; Wu, J.; Li, B.; Fu, D. Research on Green Closed-Loop Supply Chain Considering Manufacturer’s Fairness Concerns and Sales Effort. J. Theor. Appl. Electron. Commer. Res. 2023, 18, 333–351. [Google Scholar] [CrossRef]
  5. Cheng, Y.P.; Li, B.; Chen, N. Optimal Green Degree and Pricing Decisions of the E-Tailer and Supplier with Alternative Choices. IEEE Access 2022, 10, 101237–101247. [Google Scholar] [CrossRef]
  6. Su, X. The White Paper on Global Digital Economy (2023) Was Released, and the Development of Digital Economy in Major Countries Continued to Accelerate. 2023. Available online: https://www.cnii.com.cn/gxxww/rmydb/202307/t20230710_485462.html (accessed on 16 September 2023).
  7. Tapscott, D. The Digital Economy: Promise and Peril in the Age of Networked Intelligence; McGraw-Hill: New York, NY, USA, 1996. [Google Scholar]
  8. Tapscott, D.; Lowy, A.; Ticoll, D. Blueprint to the Digital Economy: Creating Wealth in the Era of e-Business; McGraw-Hill: New York, NY, USA, 1998. [Google Scholar]
  9. Carlsson, B. The digital economy: What is new and what is not? Struct. Chang. Econ. Dyn. 2004, 15, 245–264. [Google Scholar] [CrossRef]
  10. Peitz, M.; Waldfogel, J. The Oxford Handbook of the Digital Economy; Oxford University Press: London, UK, 2012. [Google Scholar]
  11. Liu, Z.; Liu, J.; Osmani, M. Integration of digital economy and circular economy: Current status and future directions. Sustainability 2021, 13, 7217. [Google Scholar] [CrossRef]
  12. Rusch, M.; Schoggl, J.P.; Baumgartner, R.J. Application of digital technologies for sustainable product management in a circular economy: A review. Bus. Strategy Environ. 2023, 32, 1159–1174. [Google Scholar] [CrossRef]
  13. Khouja, M. The evaluation of drop shipping option for e-commerce retailers. Comput. Ind. Eng. 2001, 41, 109–126. [Google Scholar] [CrossRef]
  14. Lee, C.C.; Chu, W.H.J. Who should control inventory in a supply chain? Eur. J. Oper. Res. 2005, 164, 158–172. [Google Scholar] [CrossRef]
  15. Bailey, J.P.; Ravinovich, E. Internet book retailing and supply chain management: An analytical study of inventory location speculation and postponement. Transp. Res. E 2005, 41, 159–177. [Google Scholar] [CrossRef]
  16. Mukhopadhyay, S.K.; Zhu, X.W.; Yue, X.H. Optimal contract design for mixed channels under information asymmetry. Prod. Oper. Manag. 2009, 17, 641–650. [Google Scholar] [CrossRef]
  17. Xiao, Y.B.; Chen, F.Y.; Chen, J. Optimal inventory and dynamic admission policies for a retailer of seasonal products with affiliate programs and drop shipping. Nav. Res. Log. 2009, 56, 300–317. [Google Scholar] [CrossRef]
  18. Chiang, W.K.; Feng, Y. Retailer or e-tailer? Strategic pricing and economic-lot-size decisions in a competitive supply chain with drop-shipping. J. Oper. Res. Soc. 2009, 61, 1645–1653. [Google Scholar] [CrossRef]
  19. Zhao, J.; Duan, Y.; Wang, S.; Huo, J. Coordinated drop shipping commitment contract in dual-distribution channel supply chain. J. Electron. Commer. Organ. 2012, 10, 19–30. [Google Scholar] [CrossRef]
  20. Akter, S.; Wamba, S.F. Big data analytics in E-commerce: A systematic review and agenda for future research. Electron. Mark. 2016, 26, 173–194. [Google Scholar] [CrossRef]
  21. Chen, Y.-K.; Chiu, F.-R.; Lin, W.-H.; Huang, Y.-C. An integrated model for online product placement and inventory control problem in a drop-shipping optional environment. Comput. Ind. Eng. 2018, 117, 71–80. [Google Scholar] [CrossRef]
  22. Sodero, A.C.; Namin, A.; Gauri, D.K.; Bhaskaran, S.R. The strategic drivers of drop-shipping and retail store sales for seasonal products. J. Retail. 2021, 97, 561–581. [Google Scholar] [CrossRef]
  23. Qiu, R.; Hou, L.; Sun, Y.; Sun, M.; Sun, Y. Joint pricing, ordering and order fulfillment decisions for a dual-channel supply chain with demand uncertainties: A distribution-free approach. Comput. Ind. Eng. 2021, 160, 107546. [Google Scholar] [CrossRef]
  24. Ghosh, D.; Shah, J. A comparative analysis of greening policies across supply chain structures. Int. J. Prod. Econ. 2012, 135, 568–583. [Google Scholar] [CrossRef]
  25. Swami, S.; Shah, J. Channel coordination in green supply chain management. J. Oper. Res. Soc. 2013, 64, 336–351. [Google Scholar] [CrossRef]
Figure 1. Impact of the green innovation factor on the green degree of green products.
Figure 1. Impact of the green innovation factor on the green degree of green products.
Jtaer 19 00002 g001
Figure 2. Impact of the green elasticity coefficient on the green degree of green products.
Figure 2. Impact of the green elasticity coefficient on the green degree of green products.
Jtaer 19 00002 g002
Figure 3. Impact of the green elasticity coefficient on the retail and wholesale prices.
Figure 3. Impact of the green elasticity coefficient on the retail and wholesale prices.
Jtaer 19 00002 g003
Figure 4. Impact of manufacturing cost on the retail and wholesale prices.
Figure 4. Impact of manufacturing cost on the retail and wholesale prices.
Jtaer 19 00002 g004
Figure 5. Impact of distribution cost on the retail and wholesale prices.
Figure 5. Impact of distribution cost on the retail and wholesale prices.
Jtaer 19 00002 g005
Figure 6. Impact of green innovation factor on the retail and wholesale prices.
Figure 6. Impact of green innovation factor on the retail and wholesale prices.
Jtaer 19 00002 g006
Table 1. Notations and descriptions.
Table 1. Notations and descriptions.
NotationsDescriptions
θ d s The green degree of the green products is a decision variable of the supplier with a drop shipping option who decides to provide green products.
p d , i e The unit retail price of the drop shipping e-tailer for providing products to customers is a decision variable of the drop shipping e-tailer, and i { n , g } .
w d , i s The unit wholesale price of the supplier with a drop shipping option who provides physical products to the drop shipping e-tailer is a decision variable of the supplier with a drop shipping option and i { n , g } .
α The total amount of customer demand in the whole market.
β Elasticity coefficient of customer demand on the retail price of normal products and β > 0 .
δ Green elasticity coefficient of customer demand on the green degree of green products and 0 < δ < β .
ε Green innovation factor of green products and ε > 0 .
d i Customer demand faced by the drop shipping e-tailer and i { n , g } .
m c d s Unit manufacturing cost of the supplier with a drop shipping option for producing physical products.
d c d s Unit distribution cost of the supplier with a drop shipping option who delivers physical products to customers.
π d , i e Margins obtained by drop shipping e-tailer and i { n , g } .
π d , i s Revenue attained by the supplier with a drop shipping option and i { n , g } .
Table 2. The values of environmental parameters.
Table 2. The values of environmental parameters.
NotationsValuesNotationsValues
α 1000 β 50
δ 37 d c d s $0.65
m c d s $7.5 ε 36
Table 3. Influence of manufacturing cost and distribution cost on the green degree of green products.
Table 3. Influence of manufacturing cost and distribution cost on the green degree of green products.
m c d s θ d s d c d s θ d s
$7.53.7596$0.303.8707
$7.63.7279$0.363.8517
$7.73.6962$0.423.8326
$7.83.6645$0.483.8136
$7.93.6327$0.543.7945
$8.03.6010$0.603.7755
$8.13.5693$0.663.7565
$8.23.5376$0.723.7374
$8.33.5058$0.783.7184
$8.43.4741$0.843.6994
$8.53.4424$0.903.6803
Table 4. Influence of the green elasticity coefficient on margins of the drop shipping e-tailer and supplier.
Table 4. Influence of the green elasticity coefficient on margins of the drop shipping e-tailer and supplier.
δ π d , n s π d , n e π d , g s π d , g e
33.0$877.6406$438.8203$1034.0$609.1541
33.6$877.6406$438.8203$1040.8$617.1994
34.2$877.6406$438.8203$1047.9$625.5546
34.8$877.6406$438.8203$1055.1$634.2331
35.4$877.6406$438.8203$1062.6$643.2491
36.0$877.6406$438.8203$1070.3$652.6180
36.6$877.6406$438.8203$1078.2$662.3557
37.2$877.6406$438.8203$1086.5$672.4795
37.8$877.6406$438.8203$1094.9$683.0075
38.4$877.6406$438.8203$1103.7$693.9593
39.0$877.6406$438.8203$1112.7$705.3554
Table 5. Influence of manufacturing cost on margins of the drop shipping e-tailer and supplier.
Table 5. Influence of manufacturing cost on margins of the drop shipping e-tailer and supplier.
m c d s π d , n s π d , n e π d , g s π d , g e
7.5$877.6406$438.8203$1083.7$669.0609
7.6$862.8906$431.4453$1065.5$657.8164
7.7$848.2656$424.1328$1047.4$646.6671
7.8$833.7656$416.8828$1029.5$635.6132
7.9$819.3906$409.6953$1011.8$624.6545
8.0$805.1406$402.5703$994.2$613.7912
8.1$791.0156$395.5078$976.7$603.0231
8.2$777.0156$388.5078$959.4$592.3504
8.3$763.1406$381.5703$942.3$581.7729
8.4$749.3906$374.6953$925.3$571.2907
8.5$735.7656$367.8828$908.5$560.9038
Table 6. Influence of distribution cost on margins of the drop shipping e-tailer and supplier.
Table 6. Influence of distribution cost on margins of the drop shipping e-tailer and supplier.
d c d s π d , n s π d , n e π d , g s π d , g e
$0.30$930.2500$465.1250$1148.7$709.1671
$0.36$921.1225$460.5613$1137.4$702.2089
$0.42$912.0400$456.0200$1126.2$695.2849
$0.48$903.0025$451.5013$1115.0$688.3953
$0.54$894.0100$447.0050$1103.9$681.5399
$0.60$885.0625$442.5313$1092.9$674.7189
$0.66$876.1600$438.0800$1081.9$667.9321
$0.72$867.3025$433.6513$1070.9$661.1797
$0.78$858.4900$429.2450$1060.0$654.4616
$0.84$849.7225$424.8613$1049.2$647.7778
$0.90$841.0000$420.5000$1038.4$641.1282
Table 7. Influence of green innovation factor on margins of the drop shipping e-tailer and supplier.
Table 7. Influence of green innovation factor on margins of the drop shipping e-tailer and supplier.
ε π d , n s π d , n e π d , g s π d , g e
35.0$877.6406$438.8203$1091.0$678.1281
35.5$877.6406$438.8203$1087.3$673.5078
36.0$877.6406$438.8203$1083.7$669.0609
36.5$877.6406$438.8203$1080.2$664.7779
37.0$877.6406$438.8203$1076.9$660.6501
37.5$877.6406$438.8203$1073.6$656.6692
38.0$877.6406$438.8203$1070.5$652.8274
38.5$877.6406$438.8203$1067.4$649.1178
39.0$877.6406$438.8203$1064.5$645.5337
39.5$877.6406$438.8203$1061.6$642.0688
40.0$877.6406$438.8203$1058.8$638.7172
Disclaimer/Publisher’s Note: The statements, opinions and data contained in all publications are solely those of the individual author(s) and contributor(s) and not of MDPI and/or the editor(s). MDPI and/or the editor(s) disclaim responsibility for any injury to people or property resulting from any ideas, methods, instructions or products referred to in the content.

Share and Cite

MDPI and ACS Style

Cheng, Y.; Li, B. Analysis of Green Innovation of the E-Tailer and Supplier with a Drop Shipping Option in E-Commerce. J. Theor. Appl. Electron. Commer. Res. 2024, 19, 20-39. https://doi.org/10.3390/jtaer19010002

AMA Style

Cheng Y, Li B. Analysis of Green Innovation of the E-Tailer and Supplier with a Drop Shipping Option in E-Commerce. Journal of Theoretical and Applied Electronic Commerce Research. 2024; 19(1):20-39. https://doi.org/10.3390/jtaer19010002

Chicago/Turabian Style

Cheng, Yuepeng, and Bo Li. 2024. "Analysis of Green Innovation of the E-Tailer and Supplier with a Drop Shipping Option in E-Commerce" Journal of Theoretical and Applied Electronic Commerce Research 19, no. 1: 20-39. https://doi.org/10.3390/jtaer19010002

APA Style

Cheng, Y., & Li, B. (2024). Analysis of Green Innovation of the E-Tailer and Supplier with a Drop Shipping Option in E-Commerce. Journal of Theoretical and Applied Electronic Commerce Research, 19(1), 20-39. https://doi.org/10.3390/jtaer19010002

Article Metrics

Back to TopTop