Abstract
Digital networks and E-commerce platforms have had a profound effect on people’s personal, educational, and professional life all around the world. They offer space for advertising, sales, and disseminating news and information, even if they are frequently used for social marketing, interacting, and sharing thoughts among people. Currently, most E-commerce platforms utilize digital network space for advertisement and an increasing trend of social commerce is visible in all parts of the world. During the Post-COVID-19 pandemic, a rapid increase in digital media and E-commerce usage was observed in all parts of the world for personal and professional aspects. The increase in misinformation through these platforms is a major challenge that the current governments face today as rumors and fake news creates severe detrimental implications in society. In this work, we consider fake reviews and misinformation in online digital networks as a single disease, and thereby, by considering the recent trends in online social media marketing, we formulate a pandemic model for digital networks with a psychological state of human choice. The positivity and stability of the model are mathematically tested and validated. Our analysis and simulation prove that the system is stable and justifiable in the real-world digital environment. The generated pandemic model can be applied to assess the social and emotional intelligence of communities and consumers who are frequently exposed to misinformation and share fake news.
1. Introduction
E-commerce platforms and online social networks (OSNs) in-together had gained popularity in the first decade of the 21st Century. Initially, during the first decade of the 21st Century, OSNs were used to connect people across different parts of the world. However, as information technology quickly proliferated, people started employing it in businesses as well as for the dissemination of news and information. Several E-commerce platforms and business organizations have expanded their territory to social networks to get more reach and credibility in their domain [1]. Furthermore, news outlets and well-known people have begun to create social media profiles to share news and ideas with the broader public. It is anticipated that the rapid rise in the use of digital media will accelerate the spread of information throughout the network and society. Recently, E-commerce platforms have begun to utilize their space in social media platforms for promotional and advertisement activities. Social media marketing gained popularity in several aspects during the COVID-19 pandemic through influencers as people began to employ more time in front of digital platforms and OSNs after the lockdown [2]. Since many users have started to doubt the veracity and sincerity of the information and product reviews they come across, especially after the pandemic, the rise in fake news and rumors poses a significant issue for online social networks and e-commerce platforms.
Even before the advent of technology, people propagated misinformation throughout society. However, rumors and fake news gained traction faster in the recent past when social networking websites began to play a big role in connecting individuals [3]. After the onset of the COVID-19 pandemic, most educational and professional settings went online, which increased social media usage among all categories of people. Studies have proved that social networking sites have provided motivation and flexibility for students’ questioning and responses, respectively [4]. Furthermore, when it comes to internet marketing, social media marketing, trust, and brand perception have a big impact on consumers’ buying intentions [5]. In today’s environment, many people spend hours in front of various social networking websites on personal, professional, commercial, and educational grounds, which has increased the traffic in social media. Studies advocate that social media stories can potentially alter the outcome of an election and people’s attitudes toward a certain political party [6]. Misinformation has been determined to have impacted elections in several nations, including the United States, France, the United Kingdom, Germany, and others. However, in the recent past, both the prevalence of fake news and public awareness have increased. The spontaneous increase of general awareness related to fake news and reviews is directly proportional to the quantity and popularity of general fact-checking websites, which have grown in recent years [7].
Rumors and fake news through digital networks have impacted societies in several ways. A study conducted among US citizens points out that the people who gather news from social media platforms are less knowledgeable than those who collect information from reputed television channels and printed newspapers. This suggests that people who gather information mainly from social networks are more susceptible to fake news [8]. According to studies, the COVID-19 pandemic has greatly boosted digital platform utilization, which was projected to lead to an increase in fake reviews, online abuse, and rumor spreading in society [9]. The exponential growth in smartphone users with internet connections has also resulted in several ways to access information. Especially in the aftermath of a pandemic, we are confronted with a situation in which a massive amount of data is generated and shared with people worldwide, affecting billions. The challenge comes when we examine how much of this data is authentic [10], indicating the influence of lockdown measures on disinformation propagation. Consumers’ shopping decisions via social media and e-commerce platforms may be impacted by fake reviews. Additionally, it has been discovered that bad evaluations affect consumers’ purchasing decisions. [11,12].
Several observations were advocated into why and how rumors propagate so swiftly across various digital platforms. However, only a few or no studies were conducted to find the association between social intelligence and rumors in the digital world. It was identified that people with fewer connections are critical for rumors to propagate quickly [13]. In most cases, rumors and misinformation generally lead to cyberbullying among adolescents. In university settings, cyberbullying and rumors can adversely affect the reputation of a student and may even negatively affect the reputation of the institution. This creates a necessity among educational institutions to intervene and reduce cyberbullying among students [14]. The reputation and trust of individuals and organizations can drastically be affected by rumors and fake reviews. It is difficult to regain the reputation and trust once lost through rumors propagated through OSNs [15]. The user-hostile behavior in social media was investigated, which showcased that online users’ violent behaviors can lead to cyberbullying. Anonymous users are more hostile than non-anonymous users, according to this research [16]. The efficacy of various tactics for dealing with fake news on social media was assessed by recruiting participants via M-Turk in the United States for the study. Both “disputed” and “rated false tags” have been found to reduce trust in bogus news and reviews [17]. However, Facebook had disabled the “disputed tag” feature in the recent past. Moreover, even though youngsters can believe fake news, they may also take necessary action if they understand that they have been exposed to misinformation on digital platforms [18]. Another study demonstrates that some consumer groups can connect their skepticism about media information to other contemporary trends like the advancement of technology and artificial intelligence, the influence of celebrities as trendsetters, and the necessity of validating the information received, demonstrating an ability to critically analyze their information sources [19]. On the other hand, an increased level of loneliness has been observed among the victims who became continuous victims of cyberbullying misinformation in social media [20]. The impact of rumors and fake news in OSMs (online social media) created significance in developing mathematical models for studying rumor propagation within the networks. The SI (Susceptible—Infected) model, SIS (Susceptible—Infected—Susceptible) model, SIR (Susceptible—Infected—Recovered) model, and SEIS (Susceptible—Exposed—Infected—Susceptible) model are the most common epidemic models in the study. Unlike traditional disease-spreading epidemic models, in which a person is likely to become sick after contact with another diseased person, social network epidemics involve human choice, with individual choice playing a role in information diffusion. However, though fake news has increased and poses challenges to users and digital marketing in maintaining reputation and trust, the notable increase in awareness related to rumors and fake news has started to make people think about whether the information received is genuine. The quantity and popularity of general fact-checking websites have grown in recent years, which must have been considered because many individuals increasingly rely on these websites and media to verify whether the information, they obtain via social media is accurate. [21]. The increase in awareness related to rumors and fake news has started to make people think about whether the information received through digital networks and E-commerce platforms is genuine or not. The impact of rumors and fake news in OSNs created significance in developing mathematical models for studying rumor propagation within the networks. The SI model, SIS model, SIR model, and SEIS model are the most common epidemic models in the study. Unlike traditional disease-spreading epidemic models, in which a person is likely to become sick after contact with another diseased person, social network epidemics involve human choice, with individual choice playing a role in information diffusion.
Considering the existing models, the primary objective of the work is to create a pandemic model for digital networks, which includes social networks, e-commerce, communication networks, and their applications by incorporating the human aspect of choice. We consider fake news and reviews as a single disease, and the term pandemic is used since the implications of fake news and reviews have spread worldwide, affecting millions of users at a time. In the upcoming section, we discuss the related works and the existing models for social networks which can be used for evaluating fake news spread. We then explain the proposed compartmental model and its mathematical definition in the materials and methods section, followed by the basic properties of the model and the comparison with the existing models, along with the simulation of the model under different transmission rates.
2. Related Works
The DK model, introduced by Daley and Kendall (1964), was the first compartmental model of information dissemination. The entire population is divided into several compartments in compartmental modeling based on how people react to seeing information with their neighbor nodes [22]. A logistic regression model is a regression model in statistical analysis in which the dependent variable is unambiguous [23]. Binary dependent variables take only two values, “0” and “1”, and the results can be two values, such as pass/fail, win/lose, etc. Multinomial logistic regression should be used when the dependent variable contains more than two outcomes. These models have aided in the comprehension and prediction of information diffusion across networks [24]. In most of the work related to compartmental modeling, there are three major categories of users, which are referred to as susceptible, infected, and recovered populations. The susceptible are the ones who are likely to see a rumor post at any time. Infected are the ones who spread the rumor and the Recovered population refers to the ones who have stopped spreading the rumor. The classic epidemic model is based on three models—SI (Susceptible—Infected) model, the SIS (Susceptible—Infected—Susceptible) model, and SIR (Susceptible—Infected—Recovered) model [25].
The SI model as seen in Figure 1, states that every susceptible node within the network is likely to get infected. Recovery from the infection is not possible in any case. Mathematically, for time t, if S(t) is represented as the susceptible population and I(t) as the infected population, the model can be defined as follows:
Figure 1.
The SI Model.
Here; is the probability of meeting a susceptible node at a random unit of time and is the average number of susceptible nodes that the infected ones meet per unit of time. Then, is defined as the average population of susceptible nodes getting infected from all the infected populations per unit of time. The SIR model as seen in Figure 2, is a modification of the SI model with an addition of a Recovered state. The nodes which are infected cannot be infected again or neither transmit the infection to other susceptible nodes. Considering β as the infection rate, γ as the recovery state, s = S/n, and x = X/n; the model can be defined as follows:
Figure 2.
The SIR Model.
The SIS model as seen on Figure 3, similar to the SIR model, is an extension of the SI model. Here, the infected node, instead of going to the recovered state, returns to the susceptible node. Considering β as the infection rate and γ as the recovery rate, the model can be defined as follows:
Figure 3.
The SIS Model.
An extension of both the SIS and SIR models is the SIRS model with an addition of the Recovered state after the Infected state. By dividing the Infected state into Positive Infected and Negative Infected states (P and N), the SPNR Model was subsequently suggested [26]. This is done by considering the sentiment of the rumors where a node spreading a rumor with positive sentiment is termed as Positively Infected and a node spreading a rumor with negative sentiment is termed as a Negatively Infected node. The SEIR (Susceptible—Exposed—Infected—Recovered) model was proposed by adding an Exposed state after the Susceptible state [27]. The RnSIR model as seen in Figure 4, was proposed by extending the SIR model with an addition of the Restrained state in front of the Susceptible state. The Restrained population refers to individuals who are dispassionate towards the rumors. However, with time, the Restrained population tends to diminish [28].
Figure 4.
The RnSIR Model.
Later the SDIR (Ignorant—Doubter—Spreader—Stifler) model with a new Doubter state was proposed where a doubter is unsure if a rumor is true but is not yet a spreader [29]. However, the model had not advocated the possibility of a stifler node returning to the susceptible state. Following this, the SVIR (Susceptible—Verified—Infected—Recovered) model for OSN was developed, adding the Verified/Authenticated user state, which typically does not spread rumors [30]. It was believed that people in the system who favored spreading incorrect information had been driven out. The recovered node here, in contrast to past models, refers to individuals who do not believe the rumor. A novel IDSRI rumor transmission model was later implemented in which the total population in the network is divided into four categories: ignorant, discussants, spreaders, and removers [31]. A discussant is presumed to be aware of a rumor yet does nothing to disseminate it. They are, however, inclined to participate in a discussion about the same subject. People who are removers are those who know about rumors but do not disseminate them.
It can be observed that rumors and fake news on social media play a vital role in today’s life. Fake news, false reviews, and rumors on digital platforms can impact the professional and personal life of merchants as well as users. Nearly all defined fake news with misleading and fabricated content tends to deceive and harm people [32]. Studies show that a good number of students get exposed to fake news on social and is being deceived by fabricated content [33]. This is highly likely to impact digital marketing as well as the professional standards of societies. A notable increase in social media marketing occurred during the post-COVID-19 pandemic. This is also expected to increase rumor dissemination in digital networks and E-commerce platforms. Moreover, the current network epidemic models for social media fail to consider the psychological aspect of human choice. In the recent past, there has been a rise in public awareness of the need to comprehend, evaluate, and combat fake news that is disseminated through OSNs [34]. However, the vast majority of people are thought to disseminate false information, and many become victims. When compared to the conventional network epidemic models, this needs to be taken seriously because more people are deliberating before spreading a particular rumor that piques their interest. Hence, it is highly relevant to create a mathematical pandemic for digital media by considering the recent trends in social media marketing and by providing importance to the category of people who are “doubtful” whether a piece of information is genuine.
3. Materials and Methods
Considering all the rumors and fake news propagating through digital networks as a single pathogen and by understanding the recent trends in social media marketing, we propose the SEDIS (Susceptible—Exposed—Doubter—Infected—Susceptible) model, which comprises four states. S(t) denotes the Susceptible population likely to be infected. E(t) denotes the Exposed population, referring to the individuals who encountered the rumor but had not started spreading the rumors yet. D(t) denotes doubters who are doubtful about whether the information received is valid or not. They can either go back to the susceptible state if they happen to understand that the information being received is fake or can become infected if they receive the same piece of information from multiple sources. While the Doubters will not propagate stories among themselves, they are quite likely to get infected if they come across comparable rumors. They are also likely to move back to the Susceptible state if they happen to understand that the information received is untrustworthy. A major difference as opposed to the conventional epidemic models; we developed the Doubter condition in response to society’s shifting psychological trends. Given that newspapers, numerous television channels, and fact-checking websites have recently waged an aggressive campaign to combat fake news and false reviews, there is a high likelihood that a sizable portion of the general public will doubt whether the information they receive is accurate. This creates a human choice to either accept the rumor and share the information or reject the same. I(t) refer to the Infected population spreading rumors and fake reviews within the network.
3.1. Discrete Compartment Model
Discrete Compartmental Models are commonly used to model the epidemic spread of rumor propagation in OSNs. The mathematical equation defined in the next sections describes the SEDIS model. Let α be the probability of transition from the Susceptible state to the Exposed state; β1 and β2 be the transition from the Exposed state to the Doubter state and the Infected state, respectively; and γ be the transition from the Doubter state to the Infected state; and µ1, µ2, and µ3 be the transition to the Susceptible state from the Exposed, Doubter, and Infected states, respectively; then the model can diagrammatically be represented as seen in Figure 5.
Figure 5.
The Proposed SEDIS Pandemic Model.
The Susceptible state at time t refers to the individuals who are not yet spreading any misinformation nor have encountered any conflicting information at the specific time. They are likely to enter the Exposed state at a probability α after coming in contact with a rumor or fake news and reviews. “Exposed” refers to people who have witnessed the rumors spread by other users or pages. A person who has been exposed has a chance of either becoming an Infected or a Doubter, depending on their psychology. In the same way, an Exposed person can ignore or reject a rumor and revert to the Susceptible state. A person can enter the Doubter state if they are skeptical about the authenticity of the information; this is a state in which human choice is important. People in the Doubter state may partially believe the news and may even discuss the veracity of the information with their contacts; however, this does not put them in the Infected state because they are not deliberately spreading the information to the public. The doubters refer to the people who are doubtful about the truthfulness of the information. They may become infected at probability γ if they start to spread the fake news or can even return to the Susceptible state at probability µ2. Though there is no recovery stage, an Infected individual can return to the Susceptible state at probability µ3.
3.2. Mathematical Definition
Let α be the likelihood of a susceptible node becoming exposed, and β1 and β2 be the likelihood of an exposed node entering the Doubter and Infected states, respectively. Assume that the chance of a Doubter node becoming infected is. Let µ1 represent the likelihood of an exposed node returning to a susceptible state, µ2 represent the probability of a Doubter node returning to the Susceptible state, and µ3 represent the probability of an Infected node returning to the Susceptible state. Table 1 describes each parameters of the proposed model. For the rate of the Susceptible population, the model can be mathematically described as follows.
Table 1.
SEDIS Model Description.
Here, denotes the probability of meeting a susceptible node. and denotes the average number of infected people, doubter people, and exposed people, respectively returning to the Susceptible state per unit time. If we consider and the model for the susceptible population can further be simplified as follows:
Similarly, the definitions for Exposed, Doubter, and Infected states are as follows:
4. Basic Properties of the Model
4.1. Positivity of the Solution
Since the model tracks the population for several classes, it must demonstrate that all state variables are always nonnegative.
Theorem 1.
Let Ω = {(s,e,d,i) ∈ R4: s(0) > 0, e(0) > 0, d(0) > 0, i(0) > 0}; then we can say that the solution {(s(t), e(t), d(t), i(t)} of the system is positive for all t ≥ 0.
Proof of Theorem 1.
We have:
Taking the first part:
Taking the second part:
In the third part:
Finally, from the fourth part:
Since all system parts give positive non-zero results, we can say that the system is always non-negative for all state variables. □
4.2. Finding the Basic Preproductive Number (R0) for the Model
The basic reproduction number R0 is a key metric for describing rumor propagation in online social networks. R0 can be estimated using the Next Generation Matrix [35]. In our consideration, the infected states fall under E, D, and I. Let F be the rate of a new infection and V be the rate of rumor transmission within the network. V shall transfer individuals out of minus into the next compartment, i.e., V defines the transmission of rumors in the social network.
and
The basic reproduction number R0 is obtained from the dominant eigenvalue of FV−1 as
4.3. Stability of the Rumor-Free Equilibrium State
Theorem 2.
When R0 ≤ 1; the rumor-free equilibrium P0 is globally asymptomatically stable.
Proof of Theorem 2.
Using Lyapunov function L the global stability of rumor-free equilibrium can be defined as:
The derivative of the Lyapunov function concerning time t is:
If then holds. Moreover, if and only if . Therefore, the most extensive invariant set in is the singleton set . Hence, global stability follows from La Salle’s invariance principle [36] when .
Thus, we can say that is globally asymptomatically stable when for the system. □
5. Comparison with Other Epidemic Models
The statistical analysis and comparison with other epidemic models were performed using R language running in AMD Ryzen 5 processor with 8GB RAM. We hypothesized the transmission rate for each state in all models as 0.25 without any intervention mechanism. The population for the simulation was 450,000 nodes in total for 45 days. We first consider a stable system free of rumors by adding one infected source node. For the comparative study, the basic SI model and the epidemic models with a return mechanism, i.e., the SIS model and SEIS model, were considered.
Figure 6 displays the simulation outcome for the SI Model with a population size of 450,000 samples for 45 days. We can deduce from the figure that, within the network, the Susceptible or uninfected population eventually decreases to zero. For OSNs with a high population, this is less possible under several conditions which will be explained in the next section.
Figure 6.
Simulation for SI Model with N = 450,000 and t = 45 days.
The graphical representation for the SIS and SEIS models for a population size of 450,000 people for 30 days with a transmission rate from one state to another of 0.25 is shown in Figure 7a,b. The Susceptible and Infected states are seen to keep a constant value after a certain amount of time for the SIS and SEIS models, with the SIS model having a higher infected population than the SEIS model.
Figure 7.
Epidemic Models with return state: (a) Simulation for SIS Model with N = 450,000 and t = 45 days; (b) Simulation for SEIS Model with N—450,000 and t = 45 days.
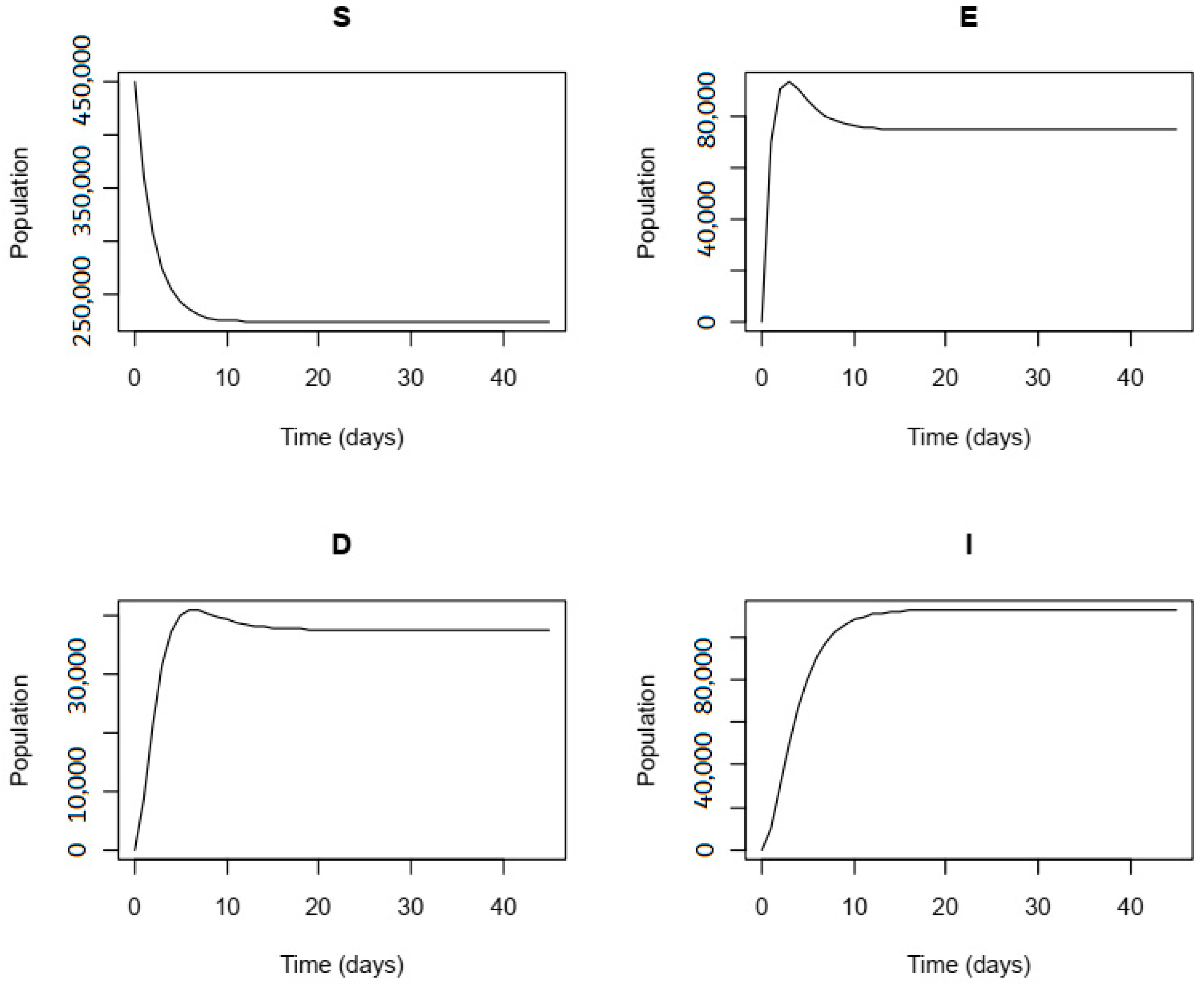
Figure 8 and Figure 9 show the plot of each state for the SEDIS model simulated under the same conditions as the former models and a similar result compared to that of the SIS and SEIS models can be observed. However, compared to the former models the infection rate was comparatively less compared to the number of susceptible ones.
Figure 8.
Graphical representation of the proposed SEDIS Model with N = 450,000 and t = 45 days.
Figure 9.
The population of each state under the SEDIS Model.
For OSNs where the population can be several millions of users, it is practically less possible to infect the majority of the population. This is mainly because people tend to connect based on several factors which include demographic, economic, socio-political, and cultural factors. Moreover, not all users will be active within the network simultaneously. This creates communities and social groups with the network shaped by the topic being discussed, the social structures of the members, and the information driving the conversation [37]. Since the taste of the participants and communities varies it is quite less probable to make the majority of the participants within the network infected simultaneously. Table 2 shows the infected and susceptible populations at starting and ending stages of analysis for each model under a population of 300,000 samples under observation of 30 days. It can be observed that the susceptible population margins near zero for the SI model with almost the entire population getting infected by the end of the analysis. In digital media, this is essentially impossible if we treat all rumors and false information as a single epidemic.
Table 2.
The population at starting and ending stages of analysis for each network model.
We can observe that the susceptible population for the SI model falls to 166 from 299,999 at the end of the 30th day of observation. The number of Susceptible members decreases as the number of infected individuals increases since there is no return-back in the SI model. In the SI model, it is assumed that once a node becomes infected, it will remain infected indefinitely. As the infection spreads within the network, the susceptible population steadily declines until there are no longer any vulnerable individuals. However, since the infected nodes revert to the Susceptible state after a given period, the Susceptible population never reaches zero in the remaining models.
Our analysis and findings are justified by the real-world data as most people are inactive in discussions through digital networks including in E-commerce platforms and only a small percentage of OSN users participate in group discussions [38]. Studies also reveal that most users on digital networks—including social networks like Facebook—are inactive most of the time [39]. This means that even when a rumor or fake news is disseminated through a network it is not mandatory that the majority of users would get exposed to the same. The significant number of inactive users in social media also justifies that the majority of users in digital networks would remain susceptible at the same time.
6. Discussion
We simulated the model under different equal transmission rates for a population of 300,000 samples which provided similar results. The illustration was mentioned in Figure 10. It was noted that the infection growth is quite faster for higher transmission rates and slower for lower transmission rates. However, towards the end, we will have an equal number of susceptible and infected populations with equal transmission rates. This demonstrates that infection growth will be slower at lower transmission rates, and the epidemic can be stopped (while considering a single rumor/review in social networks and E-commerce platforms) from spreading by implementing the requisite intervention mechanisms. Similar to Figure 10 and Figure 11 shows the model under varying transmission rates which signifies the need for an intervention mechanism.
Figure 10.
SEDIS Model under equal transmission rate: (a) Transmission rate at 0.1 for all states; (b) Transmission rate at 0.7 for all states.
Figure 11.
SEDIS Model under varying transmission rates (a) Lower transmission rates for α, β1, β2, and Υ; (b) Higher transmission rates for α, β1, β2, and Υ.
Fake news in digital networks can tend to act as real news if false information is mixed with genuine information (partially true and partially false information) [40]. In general, several contents are reported under “fake news,” which include misreporting, polarized content, false news, satire, etc. [41]. According to studies, individuals are more inclined to follow fake news if it is spread alongside true news (see [40]). The return transmission cases would be lower than the forward transmission rates when the aforementioned mixed news tends to increase in OSN. Similarly, if fake news and reviews are easily identified by quickly reading the post or review, the forward transmission rate will likely be lower. Such rumors are short-lived and are less likely to create an impact within the network. In such cases, the exposed population would tend to be higher than that of infected numbers, as only a few people are likely to spread the rumors compared to the ones who encounter the rumors. Furthermore, studies show that fake news spreads more easily in stiffer regions than less stiff areas [42,43]. This is visible in areas with a greater internet penetration index, which increases the forward transmission rate.
Studies have indicated an increase in spam reviews after the COVID-19 pandemic. The rise of people staying indoors is one factor for the increase in reviews on digital marketing platforms [44]. Moreover, several fake news continues to be widely shared and consumed across all digital networks. However, such fake news and reviews will reach their goal only if it gets a wider audience and creates an impact within the society or community [45]. On the other hand, social media plays a vital role in connecting with online customers, especially regarding online shopping and trade [46,47]. Since digital networks are equipped with users who engage in corrective action, they are less likely to share fake news due to the lack of time [48]. Further, as was already indicated, it was projected that a sizable portion of users who have accounts in OSNs occasionally log off. Thus, we can conclude that the entire population of the digital network cannot contract an infection simultaneously. Moreover, the model does not consider fake and automated bot accounts, which often spread malicious content on digital networks. This was done since, in the recent past several social networking websites, including Facebook, have considered banning fake accounts due to their increasingly malicious behavior [49]. It is anticipated that several other well-known OSNs may soon adopt the same strategy.
7. Conclusions and Future Scope
In general science, epidemic, and pandemic models help us to understand the spread of diseases and to plan control measures to prevent the spread. Social networks act as a perfect platform where billions share news, feelings, and information. Apart from personal usage, people tend to use different social networking platforms for both professional and educational aspects. This makes social media a boundless space irrespective of demographic barriers, considering people of all ages. The epidemic model plays a vital role in studying the diffusion of fake news and rumors within the network. While considering fake news and rumors as a single disease in digital networks, it may be impossible for an entire system to follow one single state at all times. In these situations, we might have to think of a single rumor as an outbreak. In addition, the transmission rate is very likely to vary depending on the kind of rumors circulated in OSNs and the E-commerce platforms, the affected population, the psychology of those affected, demographic circumstances, time, and area of interest. Hence, a stable transmission rate is practically impossible based on these parameters. However, frequent, sustainable, and quick intervention mechanisms by governments and concerned platforms which handle the OSNs and the E-commerce websites can reduce the forward transmission rate, thereby limiting the impact of rumors within the networks.
Our fundamental goal is to include human choice in a pandemic model for digital networks. Fake news, including fake reviews on E-commerce platforms, might be regarded as a pandemic in digital networks, affecting millions of people every day worldwide. The SEDIS model explicitly addresses the human character of selection, and the mathematical analysis validates the model in the real world.
Over time, a single rumor will likely lose its value, and its propagation within the network gradually subsides. People may begin to gather new topics based on their interests which may or may not be factual. This is where the SEDIS model is different from other network epidemic models as we consider misinformation and rumors as a single disease compared to other network epidemic models. Limitations of the study include the need for more testing of the model with real-world data, which is impractical as OSNs are filled with over 2.5 billion people, and millions of posts are being uploaded daily. To compact this limitation, we consider testing with real-world data in our future works by considering a single rumor and deriving a new epidemic model based on a single source. Future goals include developing a mathematical model for local groups based on the SEDIS model and testing it with real-world data in constrained scenarios. This assists in analyzing the spread of infections in many worldwide groups, enabling appropriate intervention in every community by identifying the spread of fake news and reviews. Understanding the propagation of false news and fraudulent reviews within a local cluster or community may assist in identifying influencers, analyzing their properties, and implementing the required intervention measures at the appropriate moment.
Author Contributions
All authors contributed to the paper. S.G. collected data, analyzed data, wrote the methods and results in sections, and wrote the manuscript (introduction, literature review, methods, properties, comparison, discussion, conclusion, and references). S.P.G. supervised the manuscript writing, and guided data analysis; All authors have read and agreed to the published version of the manuscript.
Funding
This research received no external funding.
Institutional Review Board Statement
Not applicable.
Informed Consent Statement
Not applicable.
Data Availability Statement
Not applicable.
Conflicts of Interest
The authors declare no conflict of interest.
References
- Han, M.C.; Kim, Y. Can social networking sites be e-commerce platforms? Pan-Pac. J. Bus. Res. 2016, 7, 24. [Google Scholar] [CrossRef]
- Le, K.; Aydin, G. Impact of the pandemic on social media influencer marketing in fashion: A qualitative study. Qual. Mark. Res. Int. J. 2022; ahead-of-print. [Google Scholar] [CrossRef]
- Rubin, B.M. Praise of Social Media in Brazil and All Over the World; Brazzil: Fort Collins, CO, USA, 2020. [Google Scholar]
- Cavus, N.; Sani, A.S.; Haruna, Y.; Lawan, A.A. Efficacy of Social Networking Sites for Sustainable Education in the Era of COVID-19: A systematic review. Sustainability 2021, 13, 808. [Google Scholar] [CrossRef]
- Moslehpour, M.; Ismail, T.; Purba, B.; Wong, W.K. What makes GO-JEK go in Indonesia? The influences of social media marketing activities on purchase intention. J. Theor. Appl. Electron. Commer. Res. 2021, 17, 89–103. [Google Scholar] [CrossRef]
- Yerlikaya, T.; Aslan, S.T. Social Media and Fake News in the Post-Truth Era. Insight Turk. 2020, 22, 177–196. [Google Scholar] [CrossRef]
- Bass, H. ABA Legal Fact Check sorts truth from fiction on legal issues. ABA J. 2018, 104, 2. [Google Scholar]
- Pew Research Center. Americans Who Mainly Get Their News on Social Media Are LESS Engaged, LESS Knowledgeable. 2020. Available online: https://www.pewresearch.org/fact-tank/2020/12/02/americans-who-mainly-get-their-news-on-social-media-are-less-engaged-less-knowledgeable/ (accessed on 21 September 2022).
- David, S.; Warrier, U. Social media addiction among indian young adults during COVID-19. Parikalpana KIIT J. Manag. 2021, 17, 160–184. [Google Scholar] [CrossRef]
- PAHO; WHO. COVID-19 Infodemic: A Need for New Approaches to Fight Misinformation; Pan American Health Organization: Washington, DC, USA; World Health Organization: Geneva, Switzerland, 2020. [Google Scholar]
- Zinko, R.; Patrick, A.; Furner, C.P.; Gaines, S.; Kim, M.D.; Negri, M.; Orellana, E.; Torres, S.; Villarreal, C. Responding to negative electronic word of mouth to improve purchase intention. J. Theor. Appl. Electron. Commer. Res. 2021, 16, 1945–1959. [Google Scholar] [CrossRef]
- Nakayama, M.; Wan, Y. Exploratory study on anchoring: Fake vote counts in consumer reviews affect judgments of information quality. J. Theor. Appl. Electron. Commer. Res. 2017, 12, 1–20. [Google Scholar] [CrossRef]
- Doerr, B.; Fouz, M.; Friedrich, T. Why rumors spread so quickly in social networks. Commun. ACM 2012, 55, 70–75. [Google Scholar] [CrossRef]
- Rowe, J. Student use of social media: When should the university intervene? J. High. Educ. Policy Manag. 2014, 36, 241–256. [Google Scholar] [CrossRef]
- Woodruff, A. Necessary, unpleasant, and disempowering: Reputation management in the internet age. In Proceedings of the SIGCHI Conference on Human Factors in Computing Systems, Toronto, ON, Canada, 1 May 2014; pp. 149–158. [Google Scholar]
- Nakano, T.; Suda, T.; Okaie, Y.; Moore, M.J. Analysis of cyber aggression and cyber-bullying in social networking. In Proceedings of the 2016 IEEE Tenth International Conference on Semantic Computing ICSC, Laguna Hills, CA, USA, 6 February 2016; pp. 337–341. [Google Scholar]
- Clayton, K.; Blair, S.; Busam, J.A.; Forstner, S.; Glance, J.; Green, G.; Nyhan, B. Real solutions for fake news? Measuring the effectiveness of general warnings and fact-check tags in reducing belief in false stories on social media. Political Behav. 2020, 42, 1073–1095. [Google Scholar] [CrossRef]
- Dumitru, E.A. Testing children and adolescents’ ability to identify fake news: A combined design of quasi-experiment and group discussions. Societies 2020, 10, 71. [Google Scholar] [CrossRef]
- Han, Z.; Wang, Z.; Li, Y. Cyberbullying Involvement, Resilient Coping, and Loneliness of Adolescents During COVID-19 in Rural China. Front. Psychol. 2021, 12, 2275. [Google Scholar] [CrossRef]
- Pelau, C.; Pop, M.I.; Ene, I.; Lazar, L. Clusters of skeptical consumers based on technology and AI acceptance, perception of social media information and celebrity trend setter. J. Theor. Appl. Electron. Commer. Res. 2021, 16, 1231–1247. [Google Scholar] [CrossRef]
- Swift, J. Cheking the Facts: Newspapers are fighting harder than ever against the spread of misinformation. Ed. Publ. 2018, 151, 38–43. [Google Scholar]
- Daley, D.J.; Kendall, D.G. Epidemics and rumours. Nature 1964, 204, 1118. [Google Scholar] [CrossRef]
- Albert, R.; Barabási, A.L. Statistical mechanics of complex networks. Rev. Mod. Phys. 2022, 74, 47. [Google Scholar] [CrossRef]
- Pastor-Satorras, R.; Castellano, C.; Van Mieghem, P.; Vespignani, A. Epidemic processes in complex networks. Rev. Mod. Phys. 2015, 87, 925. [Google Scholar] [CrossRef]
- Li, M.; Wang, X.; Gao, K.; Zhang, S. A survey on information diffusion in online social networks: Models and methods. Information 2017, 8, 118. [Google Scholar] [CrossRef]
- Bao, Y.; Yi, C.; Xue, Y.; Dong, Y. A new rumor propagation model and control strategy on social networks. In Proceedings of the 2013 IEEE/ACM International Conference on Advances in Social Networks Analysis and Mining (ASONAM 2013), Niagara, ON, Canada, 25–28 August 2013; pp. 1472–1473. [Google Scholar]
- Wang, C.; Yang, X.Y.; Xu, K.; Ma, J.F. SEIR-based model for the information spreading over SNS. Acta Electonica Sin. 2014, 42, 2325. [Google Scholar]
- Sumith, N.; Annappa, B.; Bhattacharya, S. RnSIR: A new model of information spread in online social networks. In Proceedings of the 2016 IEEE Region 10 Conference (TENCON), Singapore, 22–25 November 2016; pp. 2224–2227. [Google Scholar]
- Han, Q.; Wen, H.; Miao, F. Rumor spreading in interdependent social networks. Peer-to-Peer Netw. Appl. 2018, 11, 955–965. [Google Scholar] [CrossRef]
- Shrivastava, G.; Kumar, P.; Ojha, R.P.; Srivastava, P.K.; Mohan, S.; Srivastava, G. Defensive modeling of fake news through online social networks. IEEE Trans. Comput. Soc. Syst. 2020, 7, 1159–1167. [Google Scholar] [CrossRef]
- Yu, Z.; Lu, S.; Wang, D.; Li, Z. Modeling and analysis of rumor propagation in social networks. Inf. Sci. 2021, 580, 857–873. [Google Scholar] [CrossRef]
- Paglinawan WM, C. University students engagement with and disengagement from fake news. Media Lit. Acad. Res. 2020, 3, 77–87. [Google Scholar]
- Bringula, R.P.; Catacutan-Bangit, A.E.; Garcia, M.B.; Gonzales, J.P.S.; Valderama, A.M.C. “Who is gullible to political disinformation?”: Predicting susceptibility of university students to fake news. J. Inf. Technol. Politics 2022, 19, 165–179. [Google Scholar] [CrossRef]
- Indian Government Could Shut Down Apps and Websites Spreading Fake News and Child Pornography. FRPT Softw. Snapshot, Digit 6–7. 2019. Available online: https://www.digit.in/news/general/indian-government-could-shut-down-appsand-websites-spreading-fake-news-and-child-pornography-45600.html/ (accessed on 28 November 2022).
- Diekmann, O.; Heesterbeek JA, P.; Roberts, M.G. The construction of next-generation matrices for compartmental epidemic models. J. R. Soc. Interface 2010, 7, 873–885. [Google Scholar] [CrossRef]
- La Salle, J.P. The Stability of Dynamical Systems. Society for Industrial and Applied Mathematics; SIAM: Singapore, 1976. [Google Scholar]
- Smith, M.A.; Rainie, L.; Shneiderman, B.; Himelboim, I. Mapping Twitter Topic Networks: From Polarized Crowds to Community Clusters; Pew Research Center: Internet, Science & Tech: Washington, DC, USA, 2014. [Google Scholar]
- Gazit, T. Participation and lurking in social discussions in Facebook groups. Unpublished. Doctoral Dissertation, Bar-Ilan University, Ramat Gan, Israel, 2017. [Google Scholar]
- McGee, M. Ghost Town? Study Says 70 Percent of Facebook Pages are Inactive. MarTech. 2012. Available online: https://martech.org/ghost-town-study-says-70-percent-of-facebook-pages-are-inactive/ (accessed on 28 October 2022).
- Vosoughi, S.; Roy, D.; Aral, S. The spread of true and false news online. Science 2018, 359, 1146–1151. [Google Scholar] [CrossRef]
- Baptista, J.P.; Gradim, A. Understanding fake news consumption: A review. Soc. Sci. 2020, 9, 185. [Google Scholar] [CrossRef]
- D’Ambrosio, R.; Giordano, G.; Mottola, S.; Paternoster, B. Stiffness Analysis to Predict the Spread Out of Fake Information. Future Internet 2021, 13, 222. [Google Scholar] [CrossRef]
- Sreeraag, G.; Shynu, P.G. Stiffness Analysis for the Prediction of Fake News through Online Digital Networks in India. In Proceedings of the 2023 International Conference on Advances in Intelligent Computing and Applications (AICAPS), Kochi, India, 1–3 February 2023; pp. 1–6. [Google Scholar] [CrossRef]
- Ali, S.I.; Shahbuddin, N.B. The relationship between cyberbullying and mental health among university students. Sustainability 2022, 14, 6881. [Google Scholar] [CrossRef]
- Choi, E.; Park, N. Can Online Education Programs Solve the Cyberbullying Problem? Educating South Korean Elementary Students in the COVID-19 Era. Sustainability 2021, 13, 11211. [Google Scholar] [CrossRef]
- Oncioiu, I.; Căpușneanu, S.; Topor, D.I.; Tamaș, A.S.; Solomon, A.-G.; Dănescu, T. Fundamental Power of Social Media Interactions for Building a Brand and Customer Relations. J. Theor. Appl. Electron. Commer. Res. 2021, 16, 1702–1717. [Google Scholar] [CrossRef]
- Egaña, F.; Pezoa-Fuentes, C.; Roco, L. The Use of Digital Social Networks and Engagement in Chilean Wine Industry. J. Theor. Appl. Electron. Commer. Res. 2021, 16, 1248–1265. [Google Scholar] [CrossRef]
- Talwar, S.; Dhir, A.; Singh, D.; Virk, G.S.; Salo, J. Sharing of fake news on social media: Application of the honeycomb framework and the third-person effect hypothesis. J. Retail. Consum. Serv. 2020, 57, 102197. [Google Scholar] [CrossRef]
- Fisher, C. Facebook Reveals the AI Tool it Used to Ban 6.6 Billion FAKE Accounts. Engadget. 2020. Available online: https://www.engadget.com/2020-03-04-facebook-reveals-the-ai-tool-it-used-to-ban-6-6-billion-fake-acc.html (accessed on 28 October 2022).
Disclaimer/Publisher’s Note: The statements, opinions and data contained in all publications are solely those of the individual author(s) and contributor(s) and not of MDPI and/or the editor(s). MDPI and/or the editor(s) disclaim responsibility for any injury to people or property resulting from any ideas, methods, instructions or products referred to in the content. |
© 2023 by the authors. Licensee MDPI, Basel, Switzerland. This article is an open access article distributed under the terms and conditions of the Creative Commons Attribution (CC BY) license (https://creativecommons.org/licenses/by/4.0/).










