Sign in to use this feature.

Years

Between: -

Subjects

remove_circle_outline
remove_circle_outline
remove_circle_outline
remove_circle_outline
remove_circle_outline
remove_circle_outline
remove_circle_outline
remove_circle_outline
remove_circle_outline

Journals

remove_circle_outline
remove_circle_outline
remove_circle_outline
remove_circle_outline
remove_circle_outline
remove_circle_outline

Article Types

Countries / Regions

remove_circle_outline
remove_circle_outline
remove_circle_outline
remove_circle_outline
remove_circle_outline

Search Results (285)

Search Parameters:
Keywords = vector algebra

Order results
Result details
Results per page
Select all
Export citation of selected articles as:
34 pages, 453 KB  
Article
Parametric Estimation of a Merton Model Using SOS Flows and Riemannian Optimization
by Luca Di Persio and Paul Bastin
Mathematics 2026, 14(7), 1217; https://doi.org/10.3390/math14071217 - 4 Apr 2026
Viewed by 187
Abstract
We consider the problem of Bayesian parameter inference in the Merton structural credit risk model, where the posterior is induced by a jump-diffusion likelihood and the marginal evidence is not available in closed form. To approximate this posterior, we construct a variational family [...] Read more.
We consider the problem of Bayesian parameter inference in the Merton structural credit risk model, where the posterior is induced by a jump-diffusion likelihood and the marginal evidence is not available in closed form. To approximate this posterior, we construct a variational family based on triangular sum-of-squares (SOS) polynomial flows, in which each component map is monotone by construction: its diagonal derivative is a positive definite quadratic form on a monomial basis, yielding a closed-form log-Jacobian and explicit gradients with respect to all flow parameters. The symmetric positive definite matrices parametrizing the flow are optimized by intrinsic Riemannian gradient ascent on the positive definite cone equipped with the affine-invariant metric, which preserves feasibility at every iterate without projection. We show that the rank-one Jacobian gradients produced by the SOS structure have unit norm in the affine-invariant metric, establishing a direct algebraic coupling between the transport family and the optimization geometry and implying a universal 1-Lipschitz bound for the log-Jacobian along geodesics. On the likelihood side, we derive exact score identities for all five structural parameters of the Merton model—drift, volatility, jump intensity, jump mean, and jump volatility—through both the Poisson log-normal mixture and the Fourier inversion representations. Strictly positive parameters are handled via exponential reparametrization, and the resulting gradients propagate end-to-end through the flow. We establish uniform truncation bounds on compact parameter sets for the infinite mixture and its associated score series, providing rigorous control over the finite approximations used in practice. The base distribution is chosen to be uniform on [0,1]5, whose bounded support ensures uniform control of the monomial basis and stabilizes the polynomial calculus. These ingredients are assembled into a fully explicit modified ELBO with implementable gradients, combining Euclidean updates for vector parameters and intrinsic manifold updates for matrix parameters. Full article
(This article belongs to the Special Issue Applications of Time Series Analysis)
24 pages, 531 KB  
Article
VMkCwPIR: A Single-Round Scalable Multi-Keyword PIR Protocol Supporting Non-Primary Key Queries
by Junyu Lu, Shengnan Zhao, Yuchen Huang, Zhongtian Jia, Lili Zhang and Chuan Zhao
Information 2026, 17(4), 337; https://doi.org/10.3390/info17040337 - 1 Apr 2026
Viewed by 236
Abstract
Keyword Private Information Retrieval (Keyword PIR) enables private querying over keyword-based databases, which are typically sparse, as opposed to the dense arrays used in standard Index PIR. However, existing Keyword PIR schemes are limited to single-keyword queries and generally assume that keywords serve [...] Read more.
Keyword Private Information Retrieval (Keyword PIR) enables private querying over keyword-based databases, which are typically sparse, as opposed to the dense arrays used in standard Index PIR. However, existing Keyword PIR schemes are limited to single-keyword queries and generally assume that keywords serve as unique identifiers, making them inadequate for practical scenarios where keywords are non-unique attributes and clients need to retrieve records matching multiple keywords simultaneously. To bridge this gap, we propose MkCwPIR, the first single-round, exact-match multi-keyword PIR protocol that supports conjunctive keyword queries while preserving strict keyword privacy against the server. Our construction employs Constant-weight codes and Newton–Girard identities to encode multi-keyword selection into a compact algebraic representation, representing a functional extension of CwPIR (Usenix Security ’22). While this functional expansion introduces additional computational overhead due to the processing of multiple keywords, we further introduce VMkCwPIR—an optimized variant leveraging BFV vectorized homomorphic encryption. Experimental results demonstrate that although the base MkCwPIR incurs higher latency due to its enhanced logical capabilities, the vectorized optimizations in VMkCwPIR effectively close this performance gap. Consequently, VMkCwPIR achieves a performance level comparable to the single-keyword CwPIR. Experimental results demonstrate that when processing a query with eight keywords, VMkCwPIR achieves a server-side execution time comparable to executing only four independent single-keyword queries in CwPIR, while maintaining constant communication overhead for up to 16 keywords. Full article
Show Figures

Figure 1

28 pages, 2925 KB  
Article
Explicit Algebraic Approximations for MTPA, MTPV, and Loss-Minimization Optimal Control of PMSMs
by Minho Bae, Su-Min Kim and Han Ho Choi
Electronics 2026, 15(7), 1440; https://doi.org/10.3390/electronics15071440 - 30 Mar 2026
Viewed by 312
Abstract
This paper presents explicit algebraic methods for approximating optimal dq-axis current references in permanent magnet synchronous motors (PMSMs) under given torque commands. The proposed approach addresses three key optimal control strategies: maximum torque per ampere (MTPA), maximum torque per voltage (MTPV), [...] Read more.
This paper presents explicit algebraic methods for approximating optimal dq-axis current references in permanent magnet synchronous motors (PMSMs) under given torque commands. The proposed approach addresses three key optimal control strategies: maximum torque per ampere (MTPA), maximum torque per voltage (MTPV), and loss-minimization control. For MTPA operation, a closed-form explicit formula is derived to approximate the d-axis current that minimizes copper losses. For MTPV operation, an analytical expression is developed to approximate the optimal current vector, effectively addressing iron losses in the high-speed region. Furthermore, a simplified formulation for loss-minimization control is proposed to enhance overall efficiency by balancing both copper and iron losses. These formulas are computationally efficient and eliminate the need for iterative numerical procedures while maintaining high accuracy. Supplementary expressions are also provided to facilitate practical implementation under current and voltage constraints. The mathematical fidelity and computational efficiency of the proposed formulas are rigorously validated through numerical simulations using representative PMSM models. The results demonstrate that the proposed explicit approximations closely match the true numerical optimal trajectories, offering a practical alternative to complex iterative methods without the need for extensive experimental characterization. Full article
Show Figures

Figure 1

45 pages, 1997 KB  
Article
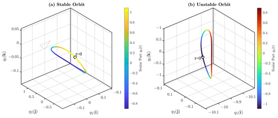
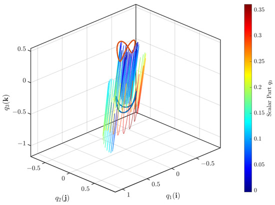
Operator Spectral Stability Theory and Chebyshev Spectral Collocation Method for Time-Varying Bilateral Quaternion Dynamical Systems
by Xiang Si and Jianwen Zhou
Symmetry 2026, 18(4), 578; https://doi.org/10.3390/sym18040578 - 28 Mar 2026
Viewed by 229
Abstract
This paper develops a structured analytical framework and a robust numerical methodology for the spectral stability of time-varying bilateral quaternion differential equations of the form q˙=A(t)q+qB(t). By systematically extending [...] Read more.
This paper develops a structured analytical framework and a robust numerical methodology for the spectral stability of time-varying bilateral quaternion differential equations of the form q˙=A(t)q+qB(t). By systematically extending classical real matrix theory to non-commutative dynamical systems via exact isometric real representations, this study utilizes the Kronecker product of real adjoint matrices to rigorously elucidate the underlying tensor structure of the bilateral evolution operator. This tensor-based reformulation proves that the Floquet multipliers of the bilaterally coupled system can be strictly decoupled into the product of the spectra corresponding to the left and right unilateral subsystems. Second, a “Scalar-Vector Stability Separation Principle” based on logarithmic norms is proposed, demonstrating that the transient energy evolution of the system is governed exclusively by the Hermitian real parts of the coefficient matrices, remaining entirely independent of the anti-Hermitian imaginary parts (rotation terms). Furthermore, for constant-coefficient and slowly varying systems, the Riesz projection from holomorphic functional calculus is introduced to establish algebraic criteria for exponential dichotomies, thereby revealing a cubic scaling law that relates the robustness threshold to the spectral gap (ε0β3). Numerically, a Quaternion Chebyshev Spectral Collocation Method (Q-CSCM) is embedded within this exact vectorization framework to ensure that the algebraic symmetries of the bilateral system are strictly preserved through the isomorphic mapping. By explicitly constructing the fully discrete Kronecker product matrix via the exact real vectorization isomorphism, discrete energy estimates are utilized to rigorously prove that the numerical scheme successfully inherits the intrinsic spectral accuracy of the Chebyshev approximation. Comprehensive numerical experiments demonstrate that, within the low-dimensional regime, this methodology exhibits substantial temporal approximation efficiency advantages and superior numerical robustness compared to an alternative Legendre spectral baseline, as well as traditional explicit and state-of-the-art implicit symplectic Runge–Kutta methods, particularly when solving stiff and critically stable problems such as nonlinear Riccati oscillators. Full article
(This article belongs to the Special Issue Symmetry in Numerical Analysis and Applied Mathematics)
Show Figures

Figure 1

20 pages, 2021 KB  
Article
TPSTA: A Tissue P System-Inspired Task Allocator for Heterogeneous Multi-Core Systems
by Yuanhan Zhang and Zhenzhou Ji
Electronics 2026, 15(6), 1339; https://doi.org/10.3390/electronics15061339 - 23 Mar 2026
Viewed by 213
Abstract
Heterogeneous multi-core systems (HMCSs) typically face a dilemma: heuristics (e.g., Linux CFS) are fast but blind to global constraints, while meta-heuristics (e.g., GAs) are globally optimal but too slow for real-time OS interaction. To bridge this gap without relying on “black-box” neural networks, [...] Read more.
Heterogeneous multi-core systems (HMCSs) typically face a dilemma: heuristics (e.g., Linux CFS) are fast but blind to global constraints, while meta-heuristics (e.g., GAs) are globally optimal but too slow for real-time OS interaction. To bridge this gap without relying on “black-box” neural networks, we introduce the Tissue P System-Inspired Task Allocator (TPSTA). By mapping HMCS and parallel task scheduling to Tissue P System models and vectorized linear algebra problems, TPSTA achieves a computational complexity of OM/W, effectively compressing the decision space. Our rigorous evaluation across four dimensions reveals a system strictly bound by physical constraints rather than algorithmic heuristics. (1) Under sufficient resource provisioning (four chips), TPSTA achieves a 0.00% Deadline Miss Ratio (DMR). Crucially, stress tests on constrained hardware (two chips) show graceful degradation to a 12.88% DMR, matching the optimal theoretical bound of EDF, whereas standard heuristics collapse to failure rates > 68%. On a massive 4096-core cluster, TPSTA outperforms the Linux GTS scalar baseline by 14.4×, maintaining low latency where traditional algorithms fail (>8 s). (3) Adaptability: The system demonstrates adaptive routing in handling hardware heterogeneity; without explicit rule-coding, it autonomously prioritizes data locality during NUMA transfers and migrates compute-bound tasks during thermal throttling events. (4) Physical Limits: Finally, our roofline analysis confirms that while the algorithmic speedup is theoretically linear, practical performance saturates at ~375× due to the Memory Wall, validating the isomorphism between synaptic bandwidth and hardware memory channels. Full article
Show Figures

Figure 1

17 pages, 284 KB  
Article
Linear Hamiltonian Vector Fields on Lie Groups
by Víctor Ayala and María Luisa Torreblanca Todco
Mathematics 2026, 14(6), 994; https://doi.org/10.3390/math14060994 - 14 Mar 2026
Viewed by 260
Abstract
Linear vector fields on Lie groups constitute a fundamental class of dynamical systems, as their flows are one-parameter subgroups of automorphisms and their infinitesimal behavior is entirely determined by derivations of the Lie algebra. When a Lie group is endowed with a Hamiltonian-type [...] Read more.
Linear vector fields on Lie groups constitute a fundamental class of dynamical systems, as their flows are one-parameter subgroups of automorphisms and their infinitesimal behavior is entirely determined by derivations of the Lie algebra. When a Lie group is endowed with a Hamiltonian-type geometric structure, a natural problem is to determine whether such linear dynamics admit a global variational realization, and how such realizations can be interpreted in terms of reduced models of fluid motion. In the even-dimensional case, where the Lie group carries a symplectic structure, we establish a complete global criterion for the existence of Hamiltonians generating linear symplectic vector fields. The problem reduces to a single global obstruction: the de Rham cohomology class of the 1-form ιXω. Thus, every linear symplectic vector field on a simply connected Lie group is globally Hamiltonian, and when the obstruction vanishes, we provide an explicit constructive procedure to recover the Hamiltonian. On the affine group Aff+(1), this yields a fully explicit, finite-dimensional Hamiltonian model of a 1D ideal fluid with affine symmetries. We then treat odd-dimensional Lie groups, where symplectic geometry is unavailable. Using contact geometry as the canonical replacement, we prove a Hamiltonian lifting theorem ensuring the existence and uniqueness of the associated dynamics. The Reeb vector field appears as a distinguished vertical direction resolving the ambiguities of degenerate Hamiltonian systems. On the Heisenberg group H3, this gives a fully explicit contact Hamiltonian model of an effective non-conservative fluid mode. Finally, we interpret symplectic and contact theories within a unified geometric framework and discuss their relevance to geometric formulations of ideal (symplectic) and effective (contact) fluid equations on Lie groups. Full article
(This article belongs to the Special Issue Mathematical Fluid Dynamics: Theory, Analysis and Emerging Trends)
18 pages, 462 KB  
Article
Existence and Construction of Tangential and Anisotropic Bases in Finite-Dimensional Quadratic Spaces
by Alexander Leones, Pedro Hurtado, John Moreno and Adolfo Pimienta
Mathematics 2026, 14(5), 919; https://doi.org/10.3390/math14050919 - 9 Mar 2026
Viewed by 250
Abstract
This paper studies the existence and construction of bases consisting of tangential and anisotropic vectors in finite-dimensional quadratic spaces over fields of characteristic different from two. While classical theory guarantees the existence of orthogonal bases in regular quadratic spaces, the existence of bases [...] Read more.
This paper studies the existence and construction of bases consisting of tangential and anisotropic vectors in finite-dimensional quadratic spaces over fields of characteristic different from two. While classical theory guarantees the existence of orthogonal bases in regular quadratic spaces, the existence of bases governed by alternative geometric constraints such as tangency or isotropy has remained largely unexplored. We introduce determinant-based constructive methods extending the Gram–Schmidt process to arbitrary quadratic spaces, yielding systematic criteria for generating orthogonal, tangential, and isotropic families of vectors. Our main results establish necessary and sufficient conditions for the existence of tangential bases, including a characterization of regular spaces of positive index and strong algebraic obstructions in the hyperbolic case. In addition, we prove a general constructive existence theorem for isotropic bases in real regular quadratic spaces. Full article
Show Figures

Figure 1

19 pages, 378 KB  
Article
Two-Fluid Model for Anisotropic Fluid Spacetime with Specific Stress–Energy Tensor Constraints and f(R)-Gravity
by Mohd Danish Siddiqi and Ali H. Hakami
Mathematics 2026, 14(5), 896; https://doi.org/10.3390/math14050896 - 6 Mar 2026
Viewed by 351
Abstract
A two-fluid model can be described by an anisotropic fluid matter, and we introduced the notion of an anisotropic fluid spacetime. The algebraic and differential properties of an anisotropic fluid spacetime equipped with several forms of the stress–energy tensor is the focus of [...] Read more.
A two-fluid model can be described by an anisotropic fluid matter, and we introduced the notion of an anisotropic fluid spacetime. The algebraic and differential properties of an anisotropic fluid spacetime equipped with several forms of the stress–energy tensor is the focus of this research. We show that an anisotropic fluid spacetime with a radial pressure p, transverse pressure p, and the energy density ρ is a generalized quasi-Einstein spacetime. We prove that a dark matter era or an anisotropic fluid spacetime with vanishing vorticity is represented by an anisotropic fluid spacetime endowed with a covariant constant stress–energy tensor; on the contrary, a dark matter era or the expansion scalar vanishes is represented by an anisotropic fluid spacetime endowed with a Codazzi type of stress–energy tensor, as long as A stays invariant under the velocity vector field ζ. Furthermore, we use the Killing velocity vector field, parallel vector fields to characterize Ricci Semi-Symmetric, T-recurrent, Pseudo-Ricci symmetric, and R^-harmonic anisotropic fluid spacetime. We find that the anisotropic fluid spacetime reflect a stiff matter and a radiation era with these geometric symmetries. Finally, we provide findings for an anisotropic fluid spacetime with a divergence-free matter tensor and the vanishing space-matter tensor and explore the dynamical aspects of cosmological epoch of an anisotropic fluid spacetime coupled with f(R)-gravity. Full article
(This article belongs to the Section B: Geometry and Topology)
17 pages, 1069 KB  
Article
Models of Low-Dimensional Vector-Fuzzy Representations of Genetic Sequences and Amino Acids
by Fotini Sereti, Dimitrios Georgiou and Theodoros Karakasidis
AppliedMath 2026, 6(3), 39; https://doi.org/10.3390/appliedmath6030039 - 4 Mar 2026
Viewed by 245
Abstract
Genetic sequences play a central role in biological and medical research, and mathematics provides powerful means for their representation and analysis. Conventional approaches, such as the fuzzy polynucleotide space [0, 1]12, model codons as 12-dimensional vectors, but [...] Read more.
Genetic sequences play a central role in biological and medical research, and mathematics provides powerful means for their representation and analysis. Conventional approaches, such as the fuzzy polynucleotide space [0, 1]12, model codons as 12-dimensional vectors, but this comes at the cost of high dimensionality. In this study, we introduce two new models, Vector-Fuzzy-I and Vector-Fuzzy-II, that map codons and genetic sequences into the 4-dimensional Euclidean space ℝ4 using vector algebra and fuzzy set theory. In the first model, sequence structure is represented by successive vector addition, while in the second, it is represented by positional frequencies normalized by nucleotide locations. These low-dimensional representations are unique, preserve sequence order, and allow effective measurement of similarity and difference via Euclidean metrics. Compared with the fuzzy polynucleotide space, the proposed models achieve dimensionality reduction while enhancing the resolution of sequence differentiation. Our approach offers new mathematical perspectives for sequence analysis in theoretical biology. Full article
Show Figures

Figure 1

25 pages, 382 KB  
Article
Optimal Generalized Quasi-Polycyclic Codes over Fq+uFq
by Sami H. Saif and Shayea Aldossari
Mathematics 2026, 14(5), 816; https://doi.org/10.3390/math14050816 - 27 Feb 2026
Viewed by 284
Abstract
This paper develops a structural and constructive theory of right generalized quasi-polycyclic (GQPC) codes over the finite chain ring R=Fq+uFq with u2=0, extending the existing field-based GQPC framework to a ring-theoretic setting. [...] Read more.
This paper develops a structural and constructive theory of right generalized quasi-polycyclic (GQPC) codes over the finite chain ring R=Fq+uFq with u2=0, extending the existing field-based GQPC framework to a ring-theoretic setting. Right GQPC codes over R are modeled as R[x]-submodules of direct products of polycyclic ambient algebras R[x]/xeiαi(x), induced by vectors αiRei, thereby unifying right quasi-polycyclic and generalized quasi-cyclic codes over R. Under explicit and verifiable factorization conditions on the defining polynomials, we establish a Chinese Remainder Theorem decomposition that reduces right GQPC codes to collections of shorter codes over finite chain-ring extensions of R. This decomposition yields a characterization of ρ-generator right GQPC codes and leads to a canonical normalized generating set with an upper-triangular structure. As a consequence, we obtain an explicit rank formula in terms of the diagonal generator polynomials, together with an effective normalization algorithm. To demonstrate the coding-theoretic impact of the framework, we combine these structural results with a distance-compatible Gray map Φ:RFq2 and construct new q-ary linear codes from 2-generator right GQPC codes of index 2 over R. For q=9 and q=3, the resulting Gray images attain optimal or near-optimal parameters with respect to the best-known bounds, confirming that right GQPC codes over Fq+uFq constitute a robust and effective ring-based source of high-quality linear codes. Full article
22 pages, 875 KB  
Article
Hamiltonian Dynamics of Classical Spins
by Slobodan Radošević, Sonja Gombar, Milica Rutonjski, Petar Mali, Milan Pantić and Milica Pavkov-Hrvojević
Physics 2026, 8(1), 23; https://doi.org/10.3390/physics8010023 - 25 Feb 2026
Viewed by 507
Abstract
We discuss the geometry behind the classical Heisenberg model at the level suitable for third- or fourth-year students who did not have the opportunity to take a course on differential geometry. The arguments presented here rely solely on elementary algebraic concepts such as [...] Read more.
We discuss the geometry behind the classical Heisenberg model at the level suitable for third- or fourth-year students who did not have the opportunity to take a course on differential geometry. The arguments presented here rely solely on elementary algebraic concepts such as vectors, dual vectors and tensors, as well as Hamiltonian equations and Poisson brackets in their simplest form. We derive Poisson brackets for classical spins, along with the corresponding equations of motion for the classical Heisenberg model, starting from the two-sphere geometry, thereby demonstrating the relevance of standard canonical procedures in the case of the Heisenberg model. Full article
(This article belongs to the Section Physics Education)
Show Figures

Figure 1

14 pages, 309 KB  
Article
Hadamard Products of Projective Varieties with Errors and Erasures
by Edoardo Ballico
AppliedMath 2026, 6(2), 31; https://doi.org/10.3390/appliedmath6020031 - 12 Feb 2026
Viewed by 255
Abstract
In Algebraic Statistics, M.A. Cueto, J. Morton and B. Sturmfels introduced a statistical model, the Restricted Boltzmann Machine, which introduced the Hadamard product of two or more vectors of an affine or projective space, i.e., the componentwise product of their entries, forcing Algebraic [...] Read more.
In Algebraic Statistics, M.A. Cueto, J. Morton and B. Sturmfels introduced a statistical model, the Restricted Boltzmann Machine, which introduced the Hadamard product of two or more vectors of an affine or projective space, i.e., the componentwise product of their entries, forcing Algebraic Geometry to enter. The Hadamard product XY of two subvarieties X,YPn is defined as the Zariski closure of the Hadamard product of its elements. Recently, D. Antolini and A. Oneto introduced and studied the definition of Hadamard rank, and we prove some results on it. Moreover, we prove some theorems on the dimension and shape of the Hadamard powers of X. The aim is to describe the images of the Hadamard products without taking the Zariski closure. We also discuss several scenarios describing the case in which some of the data, i.e., the variety X, is wrong or it is not possible to recover it. Full article
49 pages, 571 KB  
Article
General Stochastic Vector Integration: A New Approach
by Moritz Sohns and Ali Zakaria Idriss
AppliedMath 2026, 6(2), 30; https://doi.org/10.3390/appliedmath6020030 - 11 Feb 2026
Viewed by 351
Abstract
This paper presents a topology-based approach to the general vector-valued stochastic integral for predictable integrands and semimartingale integrators. The integral is defined as a unique mapping that achieves closure under the semimartingale topology. While the topology and the closedness of the integral operator [...] Read more.
This paper presents a topology-based approach to the general vector-valued stochastic integral for predictable integrands and semimartingale integrators. The integral is defined as a unique mapping that achieves closure under the semimartingale topology. While the topology and the closedness of the integral operator are well known, the method of defining the integral via this mapping is new and offers a significantly more efficient path to understanding the general stochastic integral compared to existing techniques. Instead of defining a basic integral and then extending it through a sequence of case distinctions, our construction performs a single topological closure: we define the vector stochastic integral as the unique continuous extension of the simple-predictable integral under the Émery topology, within the predictable σ-algebra. This single step yields the general predictable, vector-valued integral without invoking semimartingale decompositions, Doob–Meyer, or detours through H2/quasimartingale frameworks and without re-engineering from the componentwise to the vector case. Full article
(This article belongs to the Section Probabilistic & Statistical Mathematics)
15 pages, 641 KB  
Article
Optical Solitons, Optimal Systems and Conserved Quantities of the Schrödinger Equation with Spatio-Temporal and Inter-Modal Dispersions
by Funda Turk
Fractal Fract. 2026, 10(2), 112; https://doi.org/10.3390/fractalfract10020112 - 5 Feb 2026
Cited by 1 | Viewed by 395
Abstract
In this study, we present a unified symmetry-conservation solution analysis of a well-posed resonant nonlinear Schrödinger (NLS)-type equation incorporating spatio-temporal dispersion and inter-modal dispersion. Working within the truncated M-fractional derivative framework, we first construct exact traveling-wave solution families via the Kudryashov expansion method, [...] Read more.
In this study, we present a unified symmetry-conservation solution analysis of a well-posed resonant nonlinear Schrödinger (NLS)-type equation incorporating spatio-temporal dispersion and inter-modal dispersion. Working within the truncated M-fractional derivative framework, we first construct exact traveling-wave solution families via the Kudryashov expansion method, together with the corresponding parameter constraints and limiting cases. We then determine the admitted Lie point symmetries and establish the associated Lie algebra, including the commutator structure, adjoint representation, and an optimal system of one-dimensional subalgebras for classification. Using the conservation theorem, we derive conserved vectors associated with the fundamental invariances of the model; in the NLS setting and under suitable conditions, these quantities can be interpreted as generalized power (mass), momentum, and energy-type invariants. Overall, the results provide explicit wave profiles and structural invariants that enhance the interpretability of the model and offer benchmark expressions useful for further qualitative, numerical, and stability investigations in nonlinear dispersive wave dynamics. Full article
Show Figures

Figure 1

11 pages, 283 KB  
Article
Lie Symmetries and Similarity Solutions for a Shallow-Water Model with Bed Elevation in Lagrange Variables
by Andronikos Paliathanasis, Genly Leon and Peter G. L. Leach
Mathematics 2026, 14(3), 433; https://doi.org/10.3390/math14030433 - 26 Jan 2026
Viewed by 275
Abstract
We investigate the Lagrange formulation for the one-dimensional Saint Venant–Exner system. The system describes shallow-water equations with a bed evolution, for which the bedload sediment flux depends on the velocity, Qt,x=Agum,m1 [...] Read more.
We investigate the Lagrange formulation for the one-dimensional Saint Venant–Exner system. The system describes shallow-water equations with a bed evolution, for which the bedload sediment flux depends on the velocity, Qt,x=Agum,m1. In terms of the Lagrange variables, the nonlinear hyperbolic system is reduced to one master third-order nonlinear partial differential equation. We employ Lie’s theory and find the Lie symmetry algebra of this equation. It was found that for an arbitrary parameter m, the master equation possesses four Lie symmetries. However, for m=3, there exists an additional symmetry vector. We calculate a one-dimensional optimal system for the Lie algebra of the equation. We apply the latter for the derivation of invariant functions. The invariants are used to reduce the number of the independent variables and write the master equation into an ordinary differential equation. The latter provides similarity solutions. Finally, we show that the traveling-wave reductions lead to nonlinear maximally symmetric equations which can be linearized. The analytic solution in this case is expressed in closed-form algebraic form. Full article
(This article belongs to the Special Issue Symmetry Methods for Differential Equations)
Back to TopTop