Sign in to use this feature.

Years

Between: -

Subjects

remove_circle_outline
remove_circle_outline
remove_circle_outline

Journals

Article Types

Countries / Regions

Search Results (2)

Search Parameters:
Keywords = underscanning

Order results
Result details
Results per page
Select all
Export citation of selected articles as:
16 pages, 5966 KB  
Article
Low-Dose CT Quality Assurance at Scale: Automated Detection of Overscanning, Underscanning, and Image Noise
by Patrick Wienholt, Alexander Hermans, Robert Siepmann, Christiane Kuhl, Daniel Pinto dos Santos, Sven Nebelung and Daniel Truhn
Life 2026, 16(1), 152; https://doi.org/10.3390/life16010152 - 16 Jan 2026
Viewed by 435
Abstract
Automated quality assurance is essential for low-dose computed tomography (LDCT) lung screening, yet manual checks strain clinical workflows. We present a fully automated artificial intelligence tool that quantifies scan coverage and image noise in LDCT without user input. Lungs and the aorta are [...] Read more.
Automated quality assurance is essential for low-dose computed tomography (LDCT) lung screening, yet manual checks strain clinical workflows. We present a fully automated artificial intelligence tool that quantifies scan coverage and image noise in LDCT without user input. Lungs and the aorta are segmented to measure cranial/caudal over- and underscanning, and noise is computed as the standard deviation of Hounsfield units (HUs) within descending aortic blood, normalized to a 1 mm3 voxel. Performance was verified in a reader study of 98 LDCT scans from the National Lung Screening Trial (NLST), and then applied to 38,834 NLST scans reconstructed with a standard kernel. In the reader study, lung masks were rated ≥“Nearly Perfect” in 90.8% and aorta-blood masks in 96.9% of cases. Across 38,834 scans, mean overscanning distances were 31.21 mm caudally and 14.54 mm cranially; underscanning occurred in 4.36% (caudal) and 0.89% (cranial). The tool enables objective, large-scale monitoring of LDCT quality—reducing routine manual workload through exception-based human oversight, flagging protocol deviations, and supporting cross-center benchmarking—and may facilitate dose optimization by reducing systematic over- and underscanning. Full article
Show Figures

Figure 1

10 pages, 3816 KB  
Article
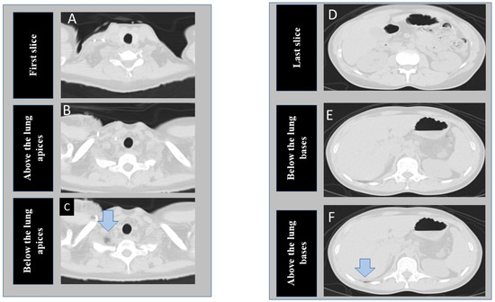
Radiologist-Trained and -Tested (R2.2.4) Deep Learning Models for Identifying Anatomical Landmarks in Chest CT
by Parisa Kaviani, Bernardo C. Bizzo, Subba R. Digumarthy, Giridhar Dasegowda, Lina Karout, James Hillis, Nir Neumark, Mannudeep K. Kalra and Keith J. Dreyer
Diagnostics 2022, 12(8), 1844; https://doi.org/10.3390/diagnostics12081844 - 30 Jul 2022
Cited by 4 | Viewed by 3337
Abstract
(1) Background: Optimal anatomic coverage is important for radiation-dose optimization. We trained and tested (R2.2.4) two (R3-2) deep learning (DL) algorithms on a machine vision tool library platform (Cognex Vision Pro Deep Learning software) to recognize anatomic landmarks and classify chest CT as [...] Read more.
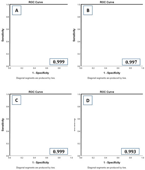
(1) Background: Optimal anatomic coverage is important for radiation-dose optimization. We trained and tested (R2.2.4) two (R3-2) deep learning (DL) algorithms on a machine vision tool library platform (Cognex Vision Pro Deep Learning software) to recognize anatomic landmarks and classify chest CT as those with optimum, under-scanned, or over-scanned scan length. (2) Methods: To test our hypothesis, we performed a study with 428 consecutive chest CT examinations (mean age 70 ± 14 years; male:female 190:238) performed at one of the four hospitals. CT examinations from two hospitals were used to train the DL classification algorithms to identify lung apices and bases. The developed algorithms were then tested on the data from the remaining two hospitals. For each CT, we recorded the scan lengths above and below the lung apices and bases. Model performance was assessed with receiver operating characteristics (ROC) analysis. (3) Results: The two DL models for lung apex and bases had high sensitivity, specificity, accuracy, and areas under the curve (AUC) for identifying under-scanning (100%, 99%, 99%, and 0.999 (95% CI 0.996–1.000)) and over-scanning (99%, 99%, 99%, and 0.998 (95%CI 0.992–1.000)). (4) Conclusions: Our DL models can accurately identify markers for missing anatomic coverage and over-scanning in chest CTs. Full article
(This article belongs to the Section Medical Imaging and Theranostics)
Show Figures

Figure 1

Back to TopTop