Sign in to use this feature.

Years

Between: -

Subjects

remove_circle_outline
remove_circle_outline
remove_circle_outline
remove_circle_outline
remove_circle_outline

Journals

Article Types

Countries / Regions

Search Results (8)

Search Parameters:
Keywords = two-center planar problem

Order results
Result details
Results per page
Select all
Export citation of selected articles as:
23 pages, 31570 KB  
Article
Two-Center Repulsive Coulomb System in a Constant Magnetic Field
by Miguel E. Gómez Quintanar and Adrian M. Escobar-Ruiz
Atoms 2026, 14(2), 11; https://doi.org/10.3390/atoms14020011 - 5 Feb 2026
Abstract
We study the planar repulsive two-center Coulomb system in the presence of a uniform magnetic field perpendicular to the plane, taking the inter-center separation a and the magnetic field strength B as independent control parameters. The free-field system B=0 is Liouville [...] Read more.
We study the planar repulsive two-center Coulomb system in the presence of a uniform magnetic field perpendicular to the plane, taking the inter-center separation a and the magnetic field strength B as independent control parameters. The free-field system B=0 is Liouville integrable and the motion is unbounded. The magnetic confinement introduces nonlinear coupling that breaks integrability and gives rise to chaotic bounded dynamics. Using Poincaré sections and maximal Lyapunov exponents, we characterize the transition from regular motion at aB=0 to mixed regular–chaotic dynamics for aB0. To probe the recoverability of the dynamics, we apply sparse regression techniques to numerical trajectories and assess their ability to capture the equations of motion across mixed dynamical regimes. Our results clarify how magnetic confinement competes with two-center repulsive interactions in governing the emergence of chaos and delineate fundamental limitations of data-driven model discovery in nonintegrable Hamiltonian systems. We further identify an organizing mechanism whereby the repulsive two-center system exhibits locally one-center-like dynamics in the absence of any static confining barrier. Full article
(This article belongs to the Section Atomic, Molecular and Nuclear Spectroscopy and Collisions)
29 pages, 10962 KB  
Article
Design of a Low-Energy Earth-Moon Flight Trajectory Using a Planar Auxiliary Problem
by Ilya Nikolichev and Vladimir Sesyukalov
Appl. Sci. 2023, 13(3), 1967; https://doi.org/10.3390/app13031967 - 2 Feb 2023
Cited by 1 | Viewed by 2254
Abstract
The paper presents a sufficiently simple technique for designing a low-energy flight trajectory of a spacecraft (SC) from the Earth to the Moon with insertion into a low circular orbit of the latter. The proposed technique is based on the solution and subsequent [...] Read more.
The paper presents a sufficiently simple technique for designing a low-energy flight trajectory of a spacecraft (SC) from the Earth to the Moon with insertion into a low circular orbit of the latter. The proposed technique is based on the solution and subsequent analysis of a special model problem, which is a variant of the restricted circular four-body problem (RC4BP) Earth-Sun-SC-Moon; for which it is assumed that the planes of the orbits of all considered bodies coincides. The planar motion of the center of mass of the SC relative to the Earth is considered as perturbed (Sun, Moon). To describe it, equations in osculating elements are used, obtained by using the method of variation of constants based on the analytical solution of the planar circular restricted problem of two bodies (RC2BP)—Earth-SC, for which the rotation of the main axes of the coordinate system (the main plane) is synchronized with the motion of the Sun. The trajectory problem of designing a SC flight from a low circular near-Earth orbit to a low circular selenocentric one (“full” motion model—a restricted four-body problem (R4BP), an ephemeris model) is considered as an optimization one in the impulse formulation. The solution of the main problem is carried out in few (three) stages, on each the appropriate solution of the current variant of the auxiliary problem is determined, which is subsequently used as the basis of the initial approximation to the main one. Full article
(This article belongs to the Special Issue Advanced Schemes for Lunar Transfer, Descent and Landing)
Show Figures

Figure 1

16 pages, 67340 KB  
Article
Contamination of Substrate-Coating Interface Caused by Ion Etching
by Peter Panjan, Aljaž Drnovšek, Miha Čekada and Matjaž Panjan
Coatings 2022, 12(6), 846; https://doi.org/10.3390/coatings12060846 - 16 Jun 2022
Cited by 13 | Viewed by 4403
Abstract
In–situ cleaning of the substrate surface by ion etching is an integral part of all physical vapor deposition (PVD) processes. However, in industrial deposition systems, some side effects occur during the ion etching process that can cause re-contamination. For example, in a magnetron [...] Read more.
In–situ cleaning of the substrate surface by ion etching is an integral part of all physical vapor deposition (PVD) processes. However, in industrial deposition systems, some side effects occur during the ion etching process that can cause re-contamination. For example, in a magnetron sputtering system with several sputter sources and with a substrate holder located centered between them, the ion etching causes the contamination of the unshielded target surfaces with the batching material. In the initial stage of deposition, this material is redeposited back on the substrate surface. The identification of the contamination layer at the substrate–coating interface is difficult because it contains both substrate and coating elements. To avoid this problem, we prepared a TiAlN double coating in two separate production batches on the same substrate. In such a double-layer TiAlN hard coating, the contamination layer, formed during the ion etching before the second deposition, is readily identifiable, and analysis of its chemical composition is easy. Contamination of the batching material was observed also on seed particles that caused the formation of nodular defects. We explain the origin of these particles and the mechanism of their transfer from the target surface to the substrate surface. By comparison of the same coating surface area after deposition of the first and second TiAlN layers, the changes in coating topography were analyzed. We also found that after the deposition of the second TiAlN coating, the surface roughness slightly decreased, which we explain by the planarization effect. Full article
(This article belongs to the Special Issue Surface Topography Effects on Functional Properties of PVD Coatings)
Show Figures

Figure 1

19 pages, 3395 KB  
Article
Vertical Jumping for Legged Robot Based on Quadratic Programming
by Dingkui Tian, Junyao Gao, Xuanyang Shi, Yizhou Lu and Chuzhao Liu
Sensors 2021, 21(11), 3679; https://doi.org/10.3390/s21113679 - 25 May 2021
Cited by 8 | Viewed by 4235
Abstract
The highly dynamic legged jumping motion is a challenging research topic because of the lack of established control schemes that handle over-constrained control objectives well in the stance phase, which are coupled and affect each other, and control robot’s posture in the flight [...] Read more.
The highly dynamic legged jumping motion is a challenging research topic because of the lack of established control schemes that handle over-constrained control objectives well in the stance phase, which are coupled and affect each other, and control robot’s posture in the flight phase, in which the robot is underactuated owing to the foot leaving the ground. This paper introduces an approach of realizing the cyclic vertical jumping motion of a planar simplified legged robot that formulates the jump problem within a quadratic-programming (QP)-based framework. Unlike prior works, which have added different weights in front of control tasks to express the relative hierarchy of tasks, in our framework, the hierarchical quadratic programming (HQP) control strategy is used to guarantee the strict prioritization of the center of mass (CoM) in the stance phase while split dynamic equations are incorporated into the unified quadratic-programming framework to restrict the robot’s posture to be near a desired constant value in the flight phase. The controller is tested in two simulation environments with and without the flight phase controller, the results validate the flight phase controller, with the HQP controller having a maximum error of the CoM in the x direction and y direction of 0.47 and 0.82 cm and thus enabling the strict prioritization of the CoM. Full article
Show Figures

Figure 1

21 pages, 9365 KB  
Article
Design and Analysis of an Intelligent Toilet Wheelchair Based on Planar 2DOF Parallel Mechanism with Coupling Branch Chains
by Xiaohua Shi, Hao Lu and Ziming Chen
Sensors 2021, 21(8), 2677; https://doi.org/10.3390/s21082677 - 10 Apr 2021
Cited by 14 | Viewed by 8675
Abstract
Due to the fixed size of the structure or the possibility of only simple manual adjustment, the traditional toilet wheelchair cannot easily be adapted to the size of the user or the toilet. In this paper, a planar two-degree-of-freedom parallel mechanism with coupling [...] Read more.
Due to the fixed size of the structure or the possibility of only simple manual adjustment, the traditional toilet wheelchair cannot easily be adapted to the size of the user or the toilet. In this paper, a planar two-degree-of-freedom parallel mechanism with coupling branch chains is proposed to enable both seat height adjustment and body posture adjustment of a toilet chair, solving the problems of posture adaptability between the user and the machine, and height matching in the process of using the wheelchair-assisted toilet. The model of the parallel mechanism was designed after analyzing the general rules of posture transformation in the human body before and after the toilet process, and the dimensions of each linkage were then determined according to the constraint conditions. By analyzing the degree of freedom, kinematics, workspace, singularity and position of the center of gravity, the rationality of the design was ensured. The weighted average function was used to find the optimal fixed point of the horizontal moving slider, and the actual trajectory at the end of the single driving mode was close to the ideal trajectory. The experimental results show that the adjustable seat height range is 290~550 mm and the adjustable angle range is 0~90°, which can enable disabled people to use the toilet independently. Full article
(This article belongs to the Special Issue Autonomous Robots in Healthcare Applications)
Show Figures

Figure 1

17 pages, 31427 KB  
Article
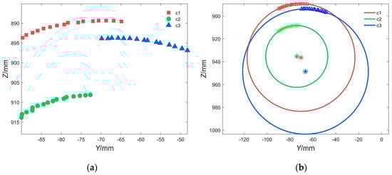
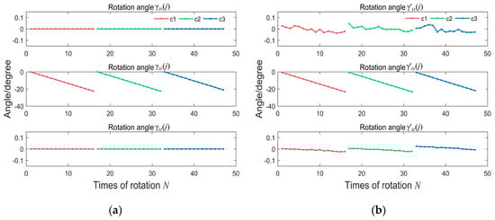
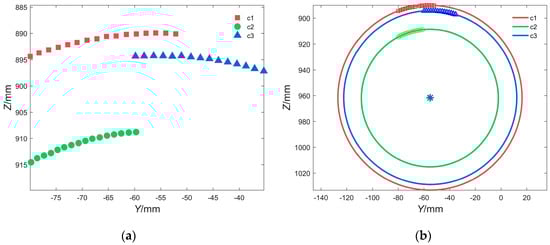
Alignment Method of an Axis Based on Camera Calibration in a Rotating Optical Measurement System
by Yanli Hou, Xianyu Su and Wenjing Chen
Appl. Sci. 2020, 10(19), 6962; https://doi.org/10.3390/app10196962 - 5 Oct 2020
Cited by 9 | Viewed by 7831
Abstract
The alignment problem of a rotating optical measurement system composed of a charge-coupled device (CCD) camera and a turntable is discussed. The motion trajectory model of the optical center (or projection center in the computer vision) of a camera rotating with the rotating [...] Read more.
The alignment problem of a rotating optical measurement system composed of a charge-coupled device (CCD) camera and a turntable is discussed. The motion trajectory model of the optical center (or projection center in the computer vision) of a camera rotating with the rotating device is established. A method based on camera calibration with a two-dimensional target is proposed to calculate the positions of the optical center when the camera is rotated by the turntable. An auxiliary coordinate system is introduced to adjust the external parameter matrix of the camera to map the optical centers on a special fictitious plane. The center of the turntable and the distance between the optical center and the rotation center can be accurately calculated by the least square planar circle fitting method. Lastly, the coordinates of the rotation center and the optical centers are used to provide guidance for the installation of a camera in a rotation measurement system. Simulations and experiments verify the feasibility of the proposed method. Full article
(This article belongs to the Section Optics and Lasers)
Show Figures

Figure 1

29 pages, 454 KB  
Article
End to End Delay and Energy Consumption in a Two Tier Cluster Hierarchical Wireless Sensor Networks
by Vicente Casares-Giner, Tatiana Inés Navas, Dolly Smith Flórez and Tito Raúl Vargas Hernández
Information 2019, 10(4), 135; https://doi.org/10.3390/info10040135 - 10 Apr 2019
Cited by 9 | Viewed by 6271
Abstract
In this work it is considered a circular Wireless Sensor Networks (WSN) in a planar structure with uniform distribution of the sensors and with a two-level hierarchical topology. At the lower level, a cluster configuration is adopted in which the sensed information is [...] Read more.
In this work it is considered a circular Wireless Sensor Networks (WSN) in a planar structure with uniform distribution of the sensors and with a two-level hierarchical topology. At the lower level, a cluster configuration is adopted in which the sensed information is transferred from sensor nodes to a cluster head (CH) using a random access protocol (RAP). At CH level, CHs transfer information, hop-by-hop, ring-by-ring, towards to the sink located at the center of the sensed area using TDMA as MAC protocol. A Markovian model to evaluate the end-to-end (E2E) transfer delay is formulated. In addition to other results such as the well know energy hole problem, the model reveals that for a given radial distance between the CH and the sink, the transfer delay depends on the angular orientation between them. For instance, when two rings of CHs are deployed in the WSN area, the E2E delay of data packets generated at ring 2 and at the “west” side of the sink, is 20% higher than the corresponding E2E delay of data packets generated at ring 2 and at the “east” side of the sink. This asymmetry can be alleviated by rotating from time to time the allocation of temporary slots to CHs in the TDMA communication. Also, the energy consumption is evaluated and the numerical results show that for a WSN with a small coverage area, say a radio of 100 m, the energy saving is more significant when a small number of rings are deployed, perhaps none (a single cluster in which the sink acts as a CH). Conversely, topologies with a large number of rings, say 4 or 5, offer a better energy performance when the service WSN covers a large area, say radial distances greater than 400 m. Full article
(This article belongs to the Special Issue Information Technology: New Generations (ITNG 2018))
Show Figures

Figure 1

16 pages, 1190 KB  
Article
Shear Banding in 4:1 Planar Contraction
by Soroush Hooshyar and Natalie Germann
Polymers 2019, 11(3), 417; https://doi.org/10.3390/polym11030417 - 4 Mar 2019
Cited by 19 | Viewed by 3783
Abstract
We study shear banding in a planar 4:1 contraction flow using our recently developed two-fluid model for semidilute entangled polymer solutions derived from the generalized bracket approach of nonequilibrium thermodynamics. In our model, the differential velocity between the constituents of the solution allows [...] Read more.
We study shear banding in a planar 4:1 contraction flow using our recently developed two-fluid model for semidilute entangled polymer solutions derived from the generalized bracket approach of nonequilibrium thermodynamics. In our model, the differential velocity between the constituents of the solution allows for coupling between the viscoelastic stress and the polymer concentration. Stress-induced migration is assumed to be the triggering mechanism of shear banding. To solve the benchmark problem, we used the OpenFOAM software package with the viscoelastic solver RheoTool v.2.0. The convection terms are discretized using the high-resolution scheme CUBISTA, and the governing equations are solved using the SIMPLEC algorithm. To enter into the shear banding regime, the uniform velocity at the inlet was gradually increased. The velocity increases after the contraction due to the mass conservation; therefore, shear banding is first observed at the downstream. While the velocity profile in the upstream channel is still parabolic, the corresponding profile changes to plug-like after the contraction. In agreement with experimental data, we found that shear banding competes with flow recirculation. Finally, the profile of the polymer concentration shows a peak in the shear banding regime, which is closer to the center of the channel for larger inlet velocities. Nevertheless, the increase in the polymer concentration in the region of flow recirculation was significantly larger for the inlet velocities studied in this work. With our two-fluid finite-volume solver, localized shear bands in industrial applications can be simulated. Full article
(This article belongs to the Special Issue Theory and Simulations of Entangled Polymers)
Show Figures

Graphical abstract

Back to TopTop