Sign in to use this feature.

Years

Between: -

Subjects

remove_circle_outline
remove_circle_outline
remove_circle_outline
remove_circle_outline
remove_circle_outline
remove_circle_outline
remove_circle_outline

Journals

Article Types

Countries / Regions

Search Results (9)

Search Parameters:
Keywords = truss layout design

Order results
Result details
Results per page
Select all
Export citation of selected articles as:
25 pages, 7390 KB  
Article
Life Prediction and Reliability Evaluation of Reinforced Concrete Frame Structures Considering the Collision Response under Earthquake Conditions
by Jun Gao, Tianshuai Yang and Xin Zhang
Buildings 2024, 14(11), 3357; https://doi.org/10.3390/buildings14113357 - 23 Oct 2024
Cited by 1 | Viewed by 1255
Abstract
Firstly, in this study, we utilize the high-order element model (truss link model) simulation method in OpenSees (3.7.0) software and verify the feasibility of this method by comparing it with the shaking table test. Secondly, the structural dynamic response of adjacent structures with [...] Read more.
Firstly, in this study, we utilize the high-order element model (truss link model) simulation method in OpenSees (3.7.0) software and verify the feasibility of this method by comparing it with the shaking table test. Secondly, the structural dynamic response of adjacent structures with different performance levels, spacing, and layout forms under large earthquakes is analyzed, and the corresponding structural failure probability is studied. Furthermore, the life distribution within the design service life of the structure is predicted according to the nonparametric Kaplan–Meier estimation model. Finally, the reliability of adjacent structures is evaluated by using the joint engineering demand parameters. The analysis method of replacing the theoretical analysis based on engineering experience and certainty in the current specification with probability analysis is proposed, which provides a more reliable theoretical basis for decision-making regarding the reinforcement, maintenance, or demolition of structures in the later stage. Full article
(This article belongs to the Section Building Structures)
Show Figures

Figure 1

12 pages, 7175 KB  
Article
Stability Analysis of “321” Prefabricated Highway Steel Truss Bridge
by Haifang He, Yulong Zhou, Shoushan Cheng, Ning An, Hongyi Liu and Zhixuan Fei
Buildings 2024, 14(6), 1626; https://doi.org/10.3390/buildings14061626 - 1 Jun 2024
Cited by 2 | Viewed by 1566
Abstract
The “321” prefabricated highway steel truss bridge is widely used for highway rescue, disaster relief, and emergency traffic. This paper uses a 33 m double-row monolayer “321” prefabricated highway steel truss bridge to analyze its mechanical properties and component stability. The actual traffic [...] Read more.
The “321” prefabricated highway steel truss bridge is widely used for highway rescue, disaster relief, and emergency traffic. This paper uses a 33 m double-row monolayer “321” prefabricated highway steel truss bridge to analyze its mechanical properties and component stability. The actual traffic flow capacity of a total weight of 53.32 tons is used in this study. The results show that the maximum internal force in the truss chord (including the stiffening chord) occurs in the middle span section when a centrally distributed load is applied. Meanwhile, the maximum internal force of truss diagonal members and truss vertical bars appears at the fulcrum section. Under the eccentrically distributed load, the maximum internal forces of truss chords (including stiffening chords) appear in the middle span section, which is closest to the vehicle load, while the maximum internal forces of truss diagonal members and truss vertical bars appear in the fulcrum section, which is closest to the vehicle load. While the maximum internal forces under the eccentrically distributed load are greater than the maximum internal forces under the centered-layout load, under the vehicle load, truss chords (including stiffening chords) are prone to buckling instability, and the buckling mode is mainly reverse out-of-plane buckling. The inclined members of the truss are prone to buckling instability, and the buckling mode is mainly the combination of out-of-plane bending and two-way out-of-plane bending. Truss vertical bars have good stability and are not easy to buckle. The main conclusions of this paper can provide references for the optimal design and operation safety of prefabricated highway steel truss bridges. Full article
(This article belongs to the Special Issue Mechanical Performance of Steel and Composite Beams)
Show Figures

Figure 1

26 pages, 3093 KB  
Article
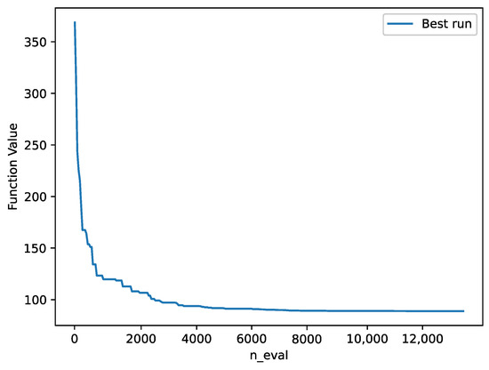
Efficient Sizing and Layout Optimization of Truss Benchmark Structures Using ISRES Algorithm
by Muhammed Serdar Avcı, Demet Yavuz, Emre Ercan and Ayhan Nuhoğlu
Appl. Sci. 2024, 14(8), 3324; https://doi.org/10.3390/app14083324 - 15 Apr 2024
Cited by 3 | Viewed by 3609
Abstract
This paper presents a comprehensive investigation into the application of the Improved Stochastic Ranking Evolution Strategy (ISRES) algorithm for the sizing and layout optimization of truss benchmark structures. Truss structures play a crucial role in engineering and architecture, and optimizing their designs can [...] Read more.
This paper presents a comprehensive investigation into the application of the Improved Stochastic Ranking Evolution Strategy (ISRES) algorithm for the sizing and layout optimization of truss benchmark structures. Truss structures play a crucial role in engineering and architecture, and optimizing their designs can lead to more efficient and cost-effective solutions. The ISRES algorithm, known for its effectiveness in multi-objective optimization, is adapted for the single-objective optimization of truss designs with multiple design constraints. This study encompasses a wide range of truss benchmark structures, including 10-bar, 15-bar, 18-bar, 25-bar, and 72-bar configurations, each subjected to distinct loading conditions and stress constraints. The objective is to minimize the truss weight while ensuring stress and displacement limits are met. Through extensive experimentation, the ISRES algorithm demonstrates its ability to efficiently explore the solution space and converge to optimal solutions for each truss benchmark structure. The algorithm effectively handles the complexity of the problems, which involve numerous design variables, stress constraints, and nodal displacement limits. A comparative analysis is conducted to assess the performance of the ISRES algorithm against other state-of-the-art optimization methods reported in the literature. The comparison evaluates the quality of the solutions and the computational efficiency of each method. Furthermore, the optimized truss designs are subjected to finite element analysis to validate their structural integrity and stability. The verification process confirms that the designs adhere to the imposed constraints, ensuring the safety and reliability of the final truss configurations. The results of this study demonstrate the efficacy of the ISRES algorithm in providing practical and reliable solutions for the sizing and layout optimization of truss benchmark structures. The algorithm’s competitive performance and robustness make it a valuable tool for structural engineers and designers, offering a versatile and powerful approach for complex engineering optimization tasks. Overall, the findings contribute to the advancement of optimization techniques in structural engineering, promoting the development of more efficient and cost-effective truss designs for a wide range of engineering and architectural applications. The study’s insights empower practitioners to make informed decisions in selecting appropriate optimization strategies for complex truss-design scenarios, fostering advancements in structural engineering and sustainable design practices. Full article
(This article belongs to the Section Civil Engineering)
Show Figures

Figure 1

29 pages, 16636 KB  
Article
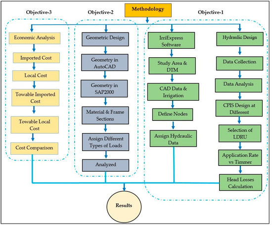
Sustainable Water Management for Small Farmers with Center-Pivot Irrigation: A Hydraulic and Structural Design Perspective
by Muhammad Rashid, Saif Haider, Muhammad Umer Masood, Chaitanya B. Pande, Abebe Debele Tolche, Fahad Alshehri, Romulus Costache and Ismail Elkhrachy
Sustainability 2023, 15(23), 16390; https://doi.org/10.3390/su152316390 - 28 Nov 2023
Cited by 9 | Viewed by 4457
Abstract
In Pakistan, surface water supply for irrigation is decreasing, while water demand is increasing for agriculture production. Also, due to the fast rate of population growth, land holding capacity is decreasing. So, there is a need to develop appropriate technologies and design approaches [...] Read more.
In Pakistan, surface water supply for irrigation is decreasing, while water demand is increasing for agriculture production. Also, due to the fast rate of population growth, land holding capacity is decreasing. So, there is a need to develop appropriate technologies and design approaches for small-scale farmers to improve modern irrigation practices. In this study, a hydraulic and structural layout of CPIS was designed for small-scale farmers with some modifications. The hydraulic parameters and structural design of the CPIS were designed using IrriExpress and SAP2000 software, respectively. An economic analysis of the modified CPIS was carried out. The results revealed that in one complete revolution of the whole system, its span slope varied from 2.98 to 0.1%, and the wheel slope varied from 2.35 to −2.4%. The timing setting was 60% for one revolution, and the irrigation depth was 10 mm. When the time setting was reduced from 100% to 10%, the irrigation hours per cycle and irrigation depth both increased. Variendeel type-II trusses were designed for structural purposes using SAP2000 software. This design led to a 17% reduction in weight by lowering it from 1.916 to 1.5905 tons and a 44% reduction in joint count, decreasing it from 32 to 18. Our economic analysis revealed that the structural part of the system is more expensive than the hydraulic, electric and power parts for small-scale design. So, it was suggested that CPIS is suitable for land holdings from 100 to 250 acres, because when the area increases to more than 250 acres, there is no significant change in the cost. A towable system is more economical for small-scale farmers due to its lower cost per acre. This study will be helpful for the optimization of CPISs to improve water use efficiency and crop yield. Full article
(This article belongs to the Section Sustainable Water Management)
Show Figures

Figure 1

15 pages, 4656 KB  
Article
An Optimal Strain Gauge Layout Design for the Measurement of Truss Structures
by JungHyun Kyung and Hee-Chang Eun
Sensors 2023, 23(5), 2738; https://doi.org/10.3390/s23052738 - 2 Mar 2023
Cited by 3 | Viewed by 2823
Abstract
Sensor measurements diagnose and evaluate the structural health state. A sensor configuration with a limited number of sensors must be designed to monitor sufficient information about the structural health state. The diagnosis of a truss structure composed of axial members can begin with [...] Read more.
Sensor measurements diagnose and evaluate the structural health state. A sensor configuration with a limited number of sensors must be designed to monitor sufficient information about the structural health state. The diagnosis of a truss structure composed of axial members can begin with a measurement by the strain gauges attached to the truss members or by the accelerometers and displacement sensors at the nodes. This study considered the layout design of the displacement sensors at the nodes for the truss structure by using the effective independence (EI) method based on the mode shapes. The validity of the optimal sensor placement (OSP) methods depending on their synthesis with the Guyan method was investigated by the mode shape’s data expansion. The Guyan reduction technique rarely affected the final sensor design. A modified EI algorithm based on the strain mode shape of the truss members was presented. A numerical example was analyzed, showing that the sensor placements were affected depending on the displacement sensors and strain gauges. Numerical examples illustrated that the strain-based EI method without the Guyan reduction method has the advantage of reducing the number of sensors and providing more data related with the displacements at the nodes. The measurement sensor should be selected when considering structural behavior, as it is crucial. Full article
(This article belongs to the Section Fault Diagnosis & Sensors)
Show Figures

Figure 1

15 pages, 6490 KB  
Article
Robustness Analysis of Historical Timber Roofs: A Case Study of the Gaggiandre Shipyard at the Arsenale of Venice
by Francesca Ferretti, Luca Pozza and Diego Alejandro Talledo
Buildings 2022, 12(11), 1773; https://doi.org/10.3390/buildings12111773 - 22 Oct 2022
Cited by 1 | Viewed by 3189
Abstract
In this work, a deterministic approach is adopted to analyze the robustness of the timber roof of the Gaggiandre shipyard at the Arsenale of Venice. The capacity of the traditional timber truss to withstand the design loads as a result of the damage [...] Read more.
In this work, a deterministic approach is adopted to analyze the robustness of the timber roof of the Gaggiandre shipyard at the Arsenale of Venice. The capacity of the traditional timber truss to withstand the design loads as a result of the damage in the strut-tie node is evaluated according to the alternative load path method. Two layouts of the trusses are analyzed and compared: before and after the Austrian retrofitting intervention, performed in the late 1800s. For both configurations, robustness analyses are carried out by using linear 2D numerical models that consider the effective rotational capacity of the structural nodes in relation to the construction methods of the timber joints. For the configuration subject to the 19th-century restoration, the 3D response of the roof is also analyzed to verify the additional contribution provided by the longitudinal bracing system to the activation of alternative load paths (bridge effect). The results obtained with the different analyses are thoroughly evaluated, providing an indication of the deterministic robustness index of the roofing system based on different assumptions. The outcomes of this work allow to draw some general considerations on the method that could be used for the robustness assessment of historical wood systems. Full article
(This article belongs to the Section Architectural Design, Urban Science, and Real Estate)
Show Figures

Figure 1

20 pages, 5560 KB  
Article
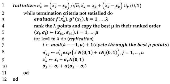
A Reinforcement Learning Method for Layout Design of Planar and Spatial Trusses using Kernel Regression
by Ruifeng Luo, Yifan Wang, Zhiyuan Liu, Weifang Xiao and Xianzhong Zhao
Appl. Sci. 2022, 12(16), 8227; https://doi.org/10.3390/app12168227 - 17 Aug 2022
Cited by 8 | Viewed by 3299
Abstract
Truss layout design aims to find the optimal layout, considering node locations, connection topology between nodes, and cross-sectional areas of connecting bars. The design process of trusses can be represented as a reinforcement learning problem by formulating the optimization task into a Markov [...] Read more.
Truss layout design aims to find the optimal layout, considering node locations, connection topology between nodes, and cross-sectional areas of connecting bars. The design process of trusses can be represented as a reinforcement learning problem by formulating the optimization task into a Markov Decision Process (MDP). The optimization variables such as node positions need to be transformed into discrete actions in this MDP; however, the common method is to uniformly discretize the design domain by generating a set of candidate actions, which brings dimension explosion problems in spatial truss design. In this paper, a reinforcement learning algorithm is proposed to deal with continuous action spaces in truss layout design problems by using kernel regression. It is a nonparametric regression way to sample the continuous action space and generalize the information about action value between sampled actions and unexplored parts of the action space. As the number of searches increases, the algorithm can gradually increase the candidate action set by appending actions of high confidence value from the continuous action space. The value correlation between actions is mapped by the Gaussian function and Euclidean distance. In this sampling strategy, a modified Confidence Upper Bound formula is proposed to evaluate the heuristics of sampled actions, including both 2D and 3D cases. The proposed algorithm was tested in various layout design problems of planar and spatial trusses. The results indicate that the proposed algorithm has a good performance in finding the truss layout with minimum weight. This implies the validity and efficiency of the established algorithm. Full article
(This article belongs to the Special Issue Advances in Engineering Structural Systems)
Show Figures

Figure 1

24 pages, 13516 KB  
Article
Numerical Investigation on Cooling Performance of Rectangular Channels Filled with X-Shaped Truss Array Structures
by Lei Xi, Jianmin Gao, Liang Xu, Zhen Zhao, Zhengheng Yang and Yunlong Li
Aerospace 2022, 9(8), 405; https://doi.org/10.3390/aerospace9080405 - 27 Jul 2022
Cited by 3 | Viewed by 2503
Abstract
In this study, different layout schemes for an X-shaped truss array channel are designed to explore the application of an X-shaped truss array structure in the mid-chord region of turbine blades. The flow and heat transfer performance of X-shaped truss array channels for [...] Read more.
In this study, different layout schemes for an X-shaped truss array channel are designed to explore the application of an X-shaped truss array structure in the mid-chord region of turbine blades. The flow and heat transfer performance of X-shaped truss array channels for three layout schemes are numerically investigated. The influence laws of the subchannel height ratio (h/H, 0.2 to 0.4) regarding the cooling performance of the channel with three subchannels are also analyzed. Then, the corresponding heat transfer and friction correlations are obtained. The results show that the layout scheme has significant effects on the flow performance, heat transfer performance and comprehensive thermal performance of X-shaped truss array channels. Among the three layout schemes of X-shaped truss array channels, the single channel has the best flow performance, while the channel with three subchannels has the best heat transfer performance and a comprehensive thermal performance. At different Reynolds numbers, the average Nusselt numbers and comprehensive thermal coefficients of the X-shaped truss array channel with three subchannels range from 38.94% to 63.49% and 27.74% to 46.49% higher than those of a single channel, respectively, and from 5.68% to 18.65% and 11.61% to 21.96% higher than those of the channel with two subchannels, respectively. For the channel with three subchannels, the subchannel height ratio has a great influence on the flow performance, but has a relatively small influence on the heat transfer performance and comprehensive thermal performance of the channel. With the increase in subchannel height ratio, the friction coefficient and average Nusselt number of the channel with three subchannels both show a trend of first increasing and then decreasing, while the comprehensive thermal coefficient shows a slow decreasing trend at higher Reynolds numbers. As a result of comprehensive consideration, the channel with three subchannels at a subchannel height ratio of 0.25 has a better overall cooling performance and is more suitable for cooling the mid-chord region of gas turbine blades. The results may provide a reference for the application of truss array structures in the internal cooling of advanced high-temperature turbine blades in the future. Full article
(This article belongs to the Special Issue Cooling/Heat transfer (Volume II))
Show Figures

Figure 1

21 pages, 4736 KB  
Article
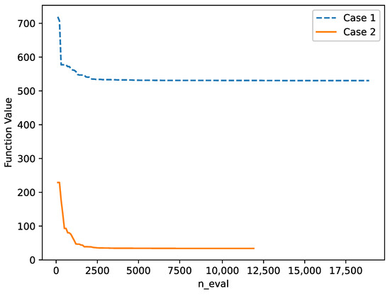
AlphaTruss: Monte Carlo Tree Search for Optimal Truss Layout Design
by Ruifeng Luo, Yifan Wang, Weifang Xiao and Xianzhong Zhao
Buildings 2022, 12(5), 641; https://doi.org/10.3390/buildings12050641 - 11 May 2022
Cited by 20 | Viewed by 4133
Abstract
Truss layout optimization under complex constraints has been a hot and challenging problem for decades that aims to find the optimal node locations, connection topology between nodes, and cross-sectional areas of connecting bars. Monte Carlo Tree Search (MCTS) is a reinforcement learning search [...] Read more.
Truss layout optimization under complex constraints has been a hot and challenging problem for decades that aims to find the optimal node locations, connection topology between nodes, and cross-sectional areas of connecting bars. Monte Carlo Tree Search (MCTS) is a reinforcement learning search technique that is competent to solve decision-making problems. Inspired by the success of AlphaGo using MCTS, the truss layout problem is formulated as a Markov Decision Process (MDP) model, and a 2-stage MCTS-based algorithm, AlphaTruss, is proposed for generating optimal truss layout considering topology, geometry, and bar size. In this MDP model, three sequential action sets of adding nodes, adding bars, and selecting sectional areas greatly expand the solution space and the reward function gives feedback to actions according to both geometric stability and structural simulation. To find the optimal sequential actions, AlphaTruss solves the MDP model and gives the best decision in each design step by searching and learning through MCTS. Compared with existing results from the literature, AlphaTruss exhibits better performance in finding the truss layout with the minimum weight under stress, displacement, and buckling constraints, which verifies the validity and efficiency of the established algorithm. Full article
Show Figures

Figure 1

Back to TopTop