Sign in to use this feature.

Years

Between: -

Subjects

Journals

Article Types

Countries / Regions

Search Results (2)

Search Parameters:
Keywords = transonic–hypersonic aerodynamics

Order results
Result details
Results per page
Select all
Export citation of selected articles as:
22 pages, 8359 KB  
Article
Unsteady Aerodynamics of Continuously Morphing Airfoils from Transonic to Hypersonic Regimes
by Linyi Zhi, Renqing Zhai, Yu Yang, Xintong Shi and Zhigang Wang
Aerospace 2026, 13(1), 103; https://doi.org/10.3390/aerospace13010103 - 21 Jan 2026
Abstract
Designing high-speed aircraft for wide-speed-range operation remains a major aerodynamic challenge. This study investigates the unsteady aerodynamics of a continuously morphing airfoil from transonic to hypersonic regimes. A smooth morphing trajectory is constructed among transonic, supersonic, and hypersonic baseline shapes, and analyzed via [...] Read more.
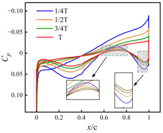
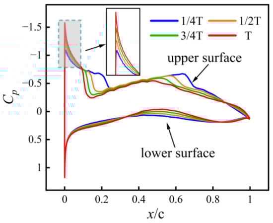
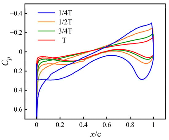
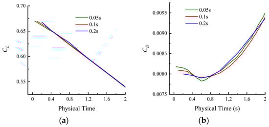
Designing high-speed aircraft for wide-speed-range operation remains a major aerodynamic challenge. This study investigates the unsteady aerodynamics of a continuously morphing airfoil from transonic to hypersonic regimes. A smooth morphing trajectory is constructed among transonic, supersonic, and hypersonic baseline shapes, and analyzed via high-fidelity unsteady Reynolds-averaged Navier–Stokes (URANS) simulations with a radial basis function (RBF) dynamic mesh. Two processes are examined: pure geometric morphing at fixed Mach numbers (Ma), and morphing coupled with flight acceleration. Key findings reveal two distinct adaptation features: (1) Transonic flow is highly sensitive to morphing (28.8% drop in lift-to-drag ratio), while supersonic flow is robust (<5% variation). (2) During coupled acceleration, the flow transitions smoothly—the shock evolves from a detached bow wave to an attached oblique structure, and the adaptive airfoil maintains a lift-to-drag ratio above 4 across Ma = 0.8–6. Additionally, wake vorticity transitions from organized shear layers to multi-scale clusters. These results elucidate the flow physics mechanism of continuous morphing and provide a framework for designing adaptive wide-speed-range aircraft. Full article
Show Figures

Figure 1

17 pages, 2828 KB  
Article
Aerodynamic Shape Optimization of a Symmetric Airfoil from Subsonic to Hypersonic Flight Regimes
by Bernardo Leite, Frederico Afonso and Afzal Suleman
Fluids 2022, 7(11), 353; https://doi.org/10.3390/fluids7110353 - 15 Nov 2022
Cited by 2 | Viewed by 8168
Abstract
Hypersonic flight has been the subject of numerous research studies during the last eight decades. This work aims to optimize the aerodynamic performance of a two-dimensional baseline airfoil (NACA0012) at distinct flight regimes from subsonic to hypersonic speeds. A mission profile has been [...] Read more.
Hypersonic flight has been the subject of numerous research studies during the last eight decades. This work aims to optimize the aerodynamic performance of a two-dimensional baseline airfoil (NACA0012) at distinct flight regimes from subsonic to hypersonic speeds. A mission profile has been defined, where four points representing the subsonic, transonic, supersonic, and hypersonic flow conditions have been selected. A framework has been implemented based on high-fidelity RANS computational fluid dynamics simulations. Gradient-based optimizations have been conducted with the objective of minimizing the drag. The optimization results show an overall improvement in aerodynamic performance, including a decrease in the drag coefficient of up to 79.2% when compared to the baseline airfoil. In the end, a morphing strategy has been laid out based on the optimal shapes produced by the optimization. Full article
Show Figures

Graphical abstract

Back to TopTop