Sign in to use this feature.

Years

Between: -

Subjects

remove_circle_outline
remove_circle_outline
remove_circle_outline
remove_circle_outline
remove_circle_outline
remove_circle_outline

Journals

Article Types

Countries / Regions

Search Results (9)

Search Parameters:
Keywords = the Three Gorges Project (TGP)

Order results
Result details
Results per page
Select all
Export citation of selected articles as:
17 pages, 10228 KB  
Article
Surface Water–Groundwater Transformation Patterns in the Jianghan Plain after the Impoundment of the Three Gorges Project and the Opening of the Yangtze-to-Hanjiang Water Transfer Project
by Jinping Feng, Dongguo Shao, Wenquan Gu, Luguang Liu, Wei Dong and Donghao Miao
Water 2023, 15(16), 2952; https://doi.org/10.3390/w15162952 - 16 Aug 2023
Cited by 6 | Viewed by 2235
Abstract
Understanding the law of surface water–groundwater conversion in the face of high-intensity human activities is still a challenge. In this study, we employed statistical and system dynamics methods to investigate the surface water–groundwater conversion law in the Jianghan Plain following the impoundment of [...] Read more.
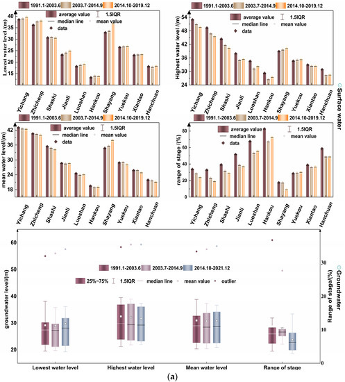
Understanding the law of surface water–groundwater conversion in the face of high-intensity human activities is still a challenge. In this study, we employed statistical and system dynamics methods to investigate the surface water–groundwater conversion law in the Jianghan Plain following the impoundment of the Three Gorges Project (TGP) and the Yangtze-to-Hanjiang Water Transfer Project (YHWTP). The groundwater level’s long data set was used for the first time to study the water level change and water exchange in the research region after the impoundment of the TGP and the delivery of water from the YHWTP. The findings suggest a significant decrease in the interannual trend of the surface water level and groundwater level in the research region. It was observed that a 1m rise in the surface water level can lead to a 0.11–0.38 m rise in the groundwater level. The water level fluctuation coefficients of the surface water level and groundwater level are influenced by the impoundment of the TGP and the water delivery from the YHWTP, causing them to increase and decrease, respectively. In general, the surface water recharges the groundwater in the studied region. The water exchanges between the surface water and groundwater in the Yangtze River’s main stream, the middle region of the Hanjiang Plain, and the lower reaches of the Hanjiang River are, on average, 10−2 m3/(d·m), 10−5 m3/(d·m), and 10−3 m3/(d·m) orders of magnitude, respectively. The water exchange in the Yangtze River’s main stream was reduced after TGP impoundment, and it was enhanced following YHWTP water delivery. Full article
Show Figures

Figure 1

19 pages, 1959 KB  
Article
Land Use Function Transition and Associated Ecosystem Service Value Effects Based on Production–Living–Ecological Space: A Case Study in the Three Gorges Reservoir Area
by Fangjie Pan, Nannan Shu, Qing Wan and Qi Huang
Land 2023, 12(2), 391; https://doi.org/10.3390/land12020391 - 31 Jan 2023
Cited by 18 | Viewed by 3294
Abstract
The transition of land use function and its effects on ecosystem services is a key issue in eco-environmental protection and is the basis of territorial space governance and optimization. Previous studies have typically selected land use types to evaluate ecosystem service value (ESV) [...] Read more.
The transition of land use function and its effects on ecosystem services is a key issue in eco-environmental protection and is the basis of territorial space governance and optimization. Previous studies have typically selected land use types to evaluate ecosystem service value (ESV) and have overlooked comprehensive characteristics of ecosystem services and the mutual feedback relationship between human social systems and the ecosystem. Taking the Three Gorges Reservoir Area, Hubei section (TGRA-HS) as a case study, we used a transition matrix, the revised ESV method, and an ecological contribution rate model to explore land use function transition (LUFT) and its effects on the change in ESV based on the production–living–ecological space (PLES) classification system. The results show that: (1) The transition of land use function based on PLES was the mapping of the evolution of the human–nature relationship in the spatial pattern, which reflected the evolution of the spatial pattern caused by human interference with the continuous development of society; (2) The evolution of PLES showed the characteristics of a reduction in production space (P-space), and an expansion in living space (L-space) and ecological space (E-space). The distribution pattern of PLES from 1990 to 2020 was basically the same, and the characteristics of structural transform reflected the characteristics of project construction in different phases; (3) The E-space contributed the most to the total ESV, and it has risen by CNY 13.06 × 108. The transition of land use function caused by human construction projects impacts the spatiotemporal change in the regional ESV; (4) The change in ESV induced by LUFT revealed the whole dynamic process of the positive and negative effects of human construction projects on ecosystem services, and the two effects offset each other to keep the ESV relatively stable. The transition of E-space to P-space had the greatest impact on the reduction in ESV, whose contribution rate was 82.76%. The dynamic changes in land use function and ESV corresponding to the different stages of the Three Gorges Project’s (TGP) construction reveals the important driving effect of human activities on ecosystem services. It reminds us that humans should not forget to protect the eco-environment when obtaining services from the ecosystem. Full article
Show Figures

Figure 1

18 pages, 5110 KB  
Article
Precipitation Changes in the Three Gorges Reservoir Area and the Relationship with Water Level Change
by Qin Li, Xiuguo Liu, Yulong Zhong, Mengmeng Wang and Manxing Shi
Sensors 2021, 21(18), 6110; https://doi.org/10.3390/s21186110 - 12 Sep 2021
Cited by 15 | Viewed by 4797
Abstract
As the largest hydroelectric project worldwide, previous studies indicate that the Three Gorges Dam (TGD) affects the local climate because of the changes of hydrological cycle caused by the impounding and draining of the TGD. However, previous studies do not analyze the long-term [...] Read more.
As the largest hydroelectric project worldwide, previous studies indicate that the Three Gorges Dam (TGD) affects the local climate because of the changes of hydrological cycle caused by the impounding and draining of the TGD. However, previous studies do not analyze the long-term precipitation changes before and after the impoundment, and the variation characteristics of local precipitation remain elusive. In this study, we use precipitation anomaly data derived from the CN05.1 precipitation dataset between 1988 and 2017 to trace the changes of precipitation before and after the construction of the TGD (i.e., 1988–2002 and 2003–2017), in the Three Gorges Reservoir Area (TGRA). Results showed that the annual and dry season precipitation anomaly in the TGRA presented an increasing trend, and the precipitation anomaly showed a slight decrease during the flood season. After the impoundment of TGD, the precipitation concentration degree in the TGRA decreased, indicating that the precipitation became increasingly uniform, and the precipitation concentration period insignificantly increased. A resonance phenomenon between the monthly average water level and precipitation anomaly occurred in the TGRA after 2011 and showed a positive correlation. Our findings revealed the change of local precipitation characteristics before and after the impoundment of TGD and showed strong evidence that this change had a close relationship with the water level. Full article
(This article belongs to the Section Remote Sensors)
Show Figures

Figure 1

15 pages, 2791 KB  
Article
Spatiotemporal Variations and Influencing Factors of Terrestrial Evapotranspiration and Its Components during Different Impoundment Periods in the Three Gorges Reservoir Area
by Yongyue Ji, Qingqing Tang, Lingyun Yan, Shengjun Wu, Liming Yan, Daming Tan, Jilong Chen and Qiao Chen
Water 2021, 13(15), 2111; https://doi.org/10.3390/w13152111 - 31 Jul 2021
Cited by 11 | Viewed by 3287
Abstract
Identifying the spatiotemporal variations and influencing climate factors of evapotranspiration (ET) and its components (vegetation transpiration (Ec), soil evaporation (Es), and canopy interception evaporation (Ei)) can greatly improve our understanding of water cycle, carbon cycle, and biogeochemical processes in a warming climate. As [...] Read more.
Identifying the spatiotemporal variations and influencing climate factors of evapotranspiration (ET) and its components (vegetation transpiration (Ec), soil evaporation (Es), and canopy interception evaporation (Ei)) can greatly improve our understanding of water cycle, carbon cycle, and biogeochemical processes in a warming climate. As the world′s largest hydropower project, the construction of the Three Gorges Project (TGP) coupled with the significant land use/land cover change affected the regional water and energy exchange in the Three Gorges Reservoir Area (TGRA). This study aimed to reveal the spatiotemporal variations and influencing climate factors in ET and its components using PML-V2 products in TGRA during 2000–2020. Results showed that the mean annual ET, Ec, Es, and Ei in TGRA were 585.12, 328.49, 173.07, and 83.56 mm, respectively. The temporal variation of ET was dominated by Ec, with no significant change in the time trend. Es decreased (2.92 mm/y) and Ei increased (1.66 mm/y) significantly mainly in the cultivated land. ET, Ec, and Ei showed a similar seasonal variation pattern with a single peak, while Es presented a bimodal pattern. From the pre-impoundment to the first impoundment period, ET and Ec mainly increased in the head of TGRA, meanwhile, Es in urban area increased significantly by 27.8%. In the subsequent impoundment periods, ET and Ec changed slightly while Es sharply decreased. The Ei increased persistently during different impoundment period. The dominant climate factors affecting changes in Ec and Es were air temperature, vapor pressure deficit, and sunshine hours, while the variation of Ei was mainly affected by air temperature, vapor pressure deficit, and precipitation. Full article
Show Figures

Figure 1

12 pages, 3583 KB  
Article
Assessment of the Suitability of Wintering Anatidae Habitats before and after Impoundment in the Three Gorges Reservoir Region
by Xiuming Li, Ruimei Cheng, Wenfa Xiao, Ge Sun, Tian Ma, Fuguo Liu, Xiaoyun Liu, Fawen Qian and Kaijun Pan
Sustainability 2021, 13(9), 4743; https://doi.org/10.3390/su13094743 - 23 Apr 2021
Cited by 5 | Viewed by 3296
Abstract
In this study, we aimed to understand the distribution of and changes in the habitats suitable for Anatidae wintering in the Three Gorges Reservoir Region (TGRR), China, and to explore the impact of the impoundment during different impoundment periods. Based on species occurrence [...] Read more.
In this study, we aimed to understand the distribution of and changes in the habitats suitable for Anatidae wintering in the Three Gorges Reservoir Region (TGRR), China, and to explore the impact of the impoundment during different impoundment periods. Based on species occurrence data for four dominant species of Anatidae and environmental factors, a maximum entropy (MaxEnt) model was used to analyze the suitability of habitats during five impoundment periods. The results show that the main factors affecting Anatidae distribution were temperature and roads before the Three Gorges Project (TGP) and elevation after the TGP. After the TGP, the area of the suitable habitat declined rapidly and then gradually increased with increasing water level. After impoundment, the primary area of increased habitat suitability was the main stream of the Yangtze River from Changshou District to Yunyang County and its tributary in the Kaizhou area. Among the habitats, the central water regions were more suitable than the marginal shoal areas. Anatidae habitats in the TGRR were distributed mainly within the Yangtze River main stream and the surrounding areas before the TGP, and the surrounding areas largely disappeared after the TGP, particularly in Chongqing City and Jiangjin District. In this context, it is challenging to create new protected areas within the habitat suitable for Anatidae in the main stream of the Yangtze River; we propose adding the Anatidae as conservation targets within the existing conservation agencies and implementing a waterbird monitoring program for scientific waterbird conservation and the sustainable development of the reservoir. Full article
Show Figures

Figure 1

21 pages, 5388 KB  
Article
Spatial Variation Pattern Analysis of Hydrologic Processes and Water Quality in Three Gorges Reservoir Area
by Xiaomin Chen, Gaohong Xu, Wanshun Zhang, Hong Peng, Han Xia, Xiao Zhang, Qian Ke and Jing Wan
Water 2019, 11(12), 2608; https://doi.org/10.3390/w11122608 - 11 Dec 2019
Cited by 19 | Viewed by 4415
Abstract
The Three Gorges Project (TGP) has greatly enhanced the heterogeneity of the underlying surface in the Three Gorges Reservoir Area (TGRA), thereby affecting the hydrologic processes and water quality. However, the influence of the differences of underlying surfaces on the hydrologic processes and [...] Read more.
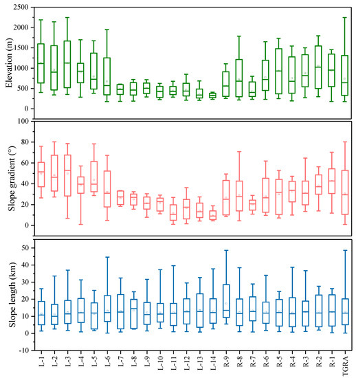
The Three Gorges Project (TGP) has greatly enhanced the heterogeneity of the underlying surface in the Three Gorges Reservoir Area (TGRA), thereby affecting the hydrologic processes and water quality. However, the influence of the differences of underlying surfaces on the hydrologic processes and water quality in the TGRA has not been studied thoroughly. In this research, the influence of the heterogeneity of landscape pattern and geographical characteristics on the spatial distribution difference of hydrologic processes and water quality in the different tributary basins of the TGRA was identified. The TGRA was divided into 23 tributary basins with 1840 sub-basins. The spatial differentiation of the hydrologic processes and water quality of the 23 tributary basins was examined by the Soil and Water Assessment Tool (SWAT). The observed data between 1 January 2010 and 31 December 2013 were used to calibrate and validate the model, after which the SWAT model was applied to further predict the runoff and water quality in the TGRA. There are 25 main model parameters, including CN2, CH_K2 and SOL_AWC, which were calibrated and validated with SWAT-Calibration and Uncertainty Procedures (SWAT-CUP). The landscape patterns and geomorphologic characteristics in 23 tributary basins were investigated and spatially visualized to correlate with surface runoff and nutrient losses. Due to geographical difference, the average total runoff depth (2010–2013) in the left bank area (538.6 mm) was 1.4 times higher than that in the right bank area (384.5 mm), total nitrogen (TN) loads in the left bank area (6.23 kg/ha) were 1.9 times higher than in the right bank area (3.27 kg/ha), and total phosphorus (TP) loads in the left bank area (1.27 kg/ha) were 2.2 times higher than in the right bank area (0.58 kg/ha). The total runoff depth decreased from the head region (553.3 mm) to the tail region (383.2 mm), while the loads of TN and TP were the highest in the middle region (5.51 kg/ha for TN, 1.15 kg/ha for TP), followed by the tail region (5.15 kg/ha for TN, 1.12 kg/ha for TP) and head region (3.92 kg/ha for TN, 0.56 kg/ha for TP). Owing to the different spatial distributions of land use, soil and geographical features in the TGRA, correlations between elevation, slope gradient, slope length and total runoff depth, TN and TP, were not clear and no consistency was observed in each tributary basin. Therefore, the management and control schemes of the water security of the TGRA should be adapted to local conditions. Full article
(This article belongs to the Section Hydrology)
Show Figures

Figure 1

23 pages, 10434 KB  
Article
Model-Based Evaluation of Hydroelectric Dam’s Impact on the Seasonal Variabilities of POC in Coastal Ocean: A Case Study of Three Gorges Project
by Dongxing Chen, Qianqian Liu, Jiexin Xu and Kuo Wang
J. Mar. Sci. Eng. 2019, 7(9), 320; https://doi.org/10.3390/jmse7090320 - 14 Sep 2019
Cited by 5 | Viewed by 3413
Abstract
Particulate organic carbon (POC) plays an important role in the global carbon cycle. The POC in the Changjiang Estuary and adjacent coastal region of the East China Sea (ECS) is dominated by riverine input and marine production and is significantly influenced by the [...] Read more.
Particulate organic carbon (POC) plays an important role in the global carbon cycle. The POC in the Changjiang Estuary and adjacent coastal region of the East China Sea (ECS) is dominated by riverine input and marine production and is significantly influenced by the three gorges project (TGP). A coupled physical-biogeochemical model was used to evaluate TGP’s impact on POC. The results demonstrate that TGP regulates the area influenced by diluted water and POC through direct river and sediment discharge and affects the ecosystem. From the early to later TGP construction periods, the surface region with high-POC concentration (>40 μmol L−1) decreases by 20.5% in area and 11.5% in concentration. Meanwhile, POC in the whole water column decreases from 19.5 to 17.8 μmol L−1. By contrast, the concentrations of chlorophyll-a (Chl-a) and related nutrients increase. A three end-member mixing model based on quasi-conservative temperature and salinity is used to quantify relative contributions of different water sources to POC in our research area. We also estimate the biological POC production by the difference between the physical-biogeochemical model predicted POC and three end-member model mixing POC. The result demonstrate that under the regulation of TGP in the later period, the decrease of sediment load increases water transparency, which favors photosynthesis and oceanic biological produced POC. In addition, over 70% of the areas have C/Chl-a > 200 and high C/N ratios, which are circumstantial evidences that organic detritus and terrestrial input sources still dominate in the Changjiang Estuary and adjacent coastal ECS but are influenced by TGP’s regulation. Full article
Show Figures

Figure 1

16 pages, 3470 KB  
Article
Effects of the Three Gorges Project on Runoff and Related Benefits of the Key Regions along Main Branches of the Yangtze River
by Yanjun Gao and Yongqiang Zhang
Water 2019, 11(2), 269; https://doi.org/10.3390/w11020269 - 4 Feb 2019
Cited by 5 | Viewed by 11269
Abstract
The Three Gorges Project (TGP) is the largest hydroelectric project in the world. It is crucial to understand the relationship between runoff regime changes and TGP’s full operation after 2009 in the Yangtze River Basin (YRB). This paper defines core, extended and buffer [...] Read more.
The Three Gorges Project (TGP) is the largest hydroelectric project in the world. It is crucial to understand the relationship between runoff regime changes and TGP’s full operation after 2009 in the Yangtze River Basin (YRB). This paper defines core, extended and buffer areas of YRB, analyzes the effects of TGP on runoff anomaly (RA), runoff variation (RV) and change of coefficient of variation (CCV) between two periods (2003–2008 and 2009–2016), takes percentage of runoff anomaly (PRA) as the evaluation standard, assures alleviation effect on severe dry and wet years of the research area, and finally summarizes related benefits of flood control from TGP. Our results indicate the inter-annual fluctuation of runoff in the core and extended areas expanded, but reduced in the buffer areas, and the frequencies of severe dry and wet years alleviated in the buffer, core and extended areas. Generally, the extended and core areas become less wet, and the buffer areas become less dry. The RV and CCV are both strengthened in the extended and core areas, but are weakened in the buffer areas, and RV is well positively correlated (R2 = 0.80) to CCV. Furthermore, the main benefits of TGP on flood control are remarkable in the reduction of disaster affected population, the decrease of agricultural disaster-damaged area, and the decline of direct economic loss. However, due to torrentially seasonal and non-seasonal precipitation, the sharp rebounds of three standards for Hubei and Anhui occurred in 2010 and 2016, and the percentage of agricultural damage area of five regions in the core and extended areas did not decline synchronously and performed irregularly. Our results suggest that the five key regions along the main branches of the Yangtze River should establish a flood control system and promote the connectivity of infrastructures at different levels to meet the significant functions of TGP. It is a great challenge for TGP operation to balance the benefits and conflicts among flood control, power generation and water resources supply in the future. Full article
Show Figures

Figure 1

16 pages, 2419 KB  
Article
Methodology for Analyzing and Predicting the Runoff and Sediment into a Reservoir
by Chun-Feng Hao, Jun Qiu and Fang-Fang Li
Water 2017, 9(6), 440; https://doi.org/10.3390/w9060440 - 19 Jun 2017
Cited by 15 | Viewed by 4552
Abstract
With the rapid economic growth in China, a large number of hydropower projects have been planned and constructed. The sediment deposition of the reservoirs is one of the most important disputes during the construction and operation, because there are many heavy sediment-laden rivers. [...] Read more.
With the rapid economic growth in China, a large number of hydropower projects have been planned and constructed. The sediment deposition of the reservoirs is one of the most important disputes during the construction and operation, because there are many heavy sediment-laden rivers. The analysis and prediction of the runoff and sediment into a reservoir is of great significance for reservoir operation. With knowledge of the incoming runoff and sediment characteristics, the regulator can adjust the reservoir discharge to guarantee the water supply, and flush more sediment at appropriate times. In this study, the long-term characteristics of runoff and sediment, including trend, jump point, and change cycle, are analyzed using various statistical approaches, such as accumulated anomaly analysis, the Fisher ordered clustering method, and Maximum Entropy Spectral Analysis (MESA). Based on the characteristics, a prediction model is established using the Auto-Regressive Moving Average (ARIMA) method. The whole analysis and prediction system is applied to The Three Gorges Project (TGP), one of the biggest hydropower-complex projects in the world. Taking hydrologic series from 1955 to 2010 as the research objectives, the results show that both the runoff and the sediment are decreasing, and the reduction rate of sediment is much higher. Runoff and sediment into the TGP display cyclic variations over time, with a cycle of about a decade, but catastrophe points for runoff and sediment appear in 1991 and 2001, respectively. Prediction models are thus built based on monthly average hydrologic series from 2003 to 2010. ARIMA (1, 1, 1) × (1, 1, 1)12 and ARIMA (0, 1, 1) × (0, 1, 1)12 are selected for the runoff and sediment predictions, respectively, and the parameters of the models are also calibrated. The analysis of autocorrelation coefficients and partial autocorrelation coefficients of the residuals indicates that the models built in this study are feasible for representing and predicting the runoff and sediment inflow into the TGP with a high accuracy. Full article
Show Figures

Figure 1

Back to TopTop