Sign in to use this feature.

Years

Between: -

Subjects

remove_circle_outline
remove_circle_outline
remove_circle_outline

Journals

Article Types

Countries / Regions

Search Results (8)

Search Parameters:
Keywords = systemic capillary leak syndrome

Order results
Result details
Results per page
Select all
Export citation of selected articles as:
15 pages, 876 KB  
Article
Dinutuximab Beta for the Treatment of High-Risk Neuroblastoma: Data from the Hungarian Pediatric Oncology Network
by Márk Hernádfői, Márton Szabados, Edit Brückner, Ágnes Varga, Péter Hauser, Gábor Ottóffy, Ágnes Vojcek, Krisztina Csanádi, Gabriella Kertész, Zsuzsanna Jakab, Gergely Agócs and Miklós Garami
J. Clin. Med. 2025, 14(18), 6641; https://doi.org/10.3390/jcm14186641 - 20 Sep 2025
Viewed by 1938
Abstract
Background/Objectives: The anti-GD2 monoclonal antibody dinutuximab beta has become standard of care maintenance therapy for high-risk neuroblastoma (HR-NB) in the first-line setting and is also approved in the relapsed/refractory setting. We present a retrospective review of 37 children with HR-NB included in the [...] Read more.
Background/Objectives: The anti-GD2 monoclonal antibody dinutuximab beta has become standard of care maintenance therapy for high-risk neuroblastoma (HR-NB) in the first-line setting and is also approved in the relapsed/refractory setting. We present a retrospective review of 37 children with HR-NB included in the Hungarian Childhood Cancer Registry who received dinutuximab beta (first-line maintenance therapy, n = 31; relapsed/refractory, n = 6). Methods: All patients received dinutuximab beta continuously over the first 10 days of each 35-day cycle, with dosing based on body surface area/weight. Five cycles were planned, with further cycles administered at the treating physician’s discretion. Results: At data cutoff, the overall disease control rate was 54.1% (20/37) (complete response, 51.4% (19/37); partial response, 0.0% (0/37), stable disease, 2.7% [1/37]); two patients (5.4%) had progressive disease, and 15 patients (40.5%) had died. The 5-year overall survival (OS) and event-free survival (EFS) rates in the overall population were 63.3% (95% confidence interval, 49.1−81.7) and 56.2% (95% confidence interval, 42.1−75.0), respectively. Grade 3 or 4 adverse events (including blood and lymphatic system disorders, hypoxia, hypotension, and capillary leak syndrome) were generally consistent with dinutuximab beta’s known safety profile. Conclusions: Dinutuximab beta was an effective immunotherapy for patients with HR-NB in routine clinical practice, with a generally manageable side effect profile. Full article
(This article belongs to the Section Oncology)
Show Figures

Figure 1

8 pages, 279 KB  
Case Report
Pembrolizumab-Induced Simultaneous and Refractory Systemic Capillary Leak and Cytokine Release Syndromes: A Case Report
by Eugénie Roberge-Maltais, Eric Lévesque, Vincent Castonguay, Nicolas Marcoux, Louis-Philippe Grenier and Martin Veilleux
Curr. Oncol. 2025, 32(8), 469; https://doi.org/10.3390/curroncol32080469 - 18 Aug 2025
Viewed by 1954
Abstract
Systemic Capillary Leak Syndrome (SCLS) and Cytokine Release Syndrome (CRS) have both been described as rare but severe adverse reactions induced by Programmed cell death protein 1 (PD-1) inhibitors such as pembrolizumab. We report the case of a 40-year-old woman undergoing treatment with [...] Read more.
Systemic Capillary Leak Syndrome (SCLS) and Cytokine Release Syndrome (CRS) have both been described as rare but severe adverse reactions induced by Programmed cell death protein 1 (PD-1) inhibitors such as pembrolizumab. We report the case of a 40-year-old woman undergoing treatment with pembrolizumab for a stage 4 cervical squamous cell carcinoma who presented with anasarca, hypotension, hemoconcentration and signs of multisystemic inflammation. After elimination of alternative causes such as nephrotic syndrome, cardiac dysfunction and cirrhosis, she was diagnosed with both pembrolizumab-induced SCLS and CRS. She was successfully treated with a multimodal treatment approach including intravenous immunoglobulins, steroids, diuretics and axitinib for SCLS as well as ruxolitinib for CRS. After several months of hospitalization, her symptoms finally improved with this treatment regimen, and she was able to attain euvolemic state and be discharged from the hospital. This case highlights certain rare and severe adverse effects of treatment with PD-1 inhibitors. Furthermore, it proposes a novel therapeutic approach for similar cases based upon probable underlying physiopathological mechanisms in SCLS and CRS. Full article
Show Figures

Figure 1

5 pages, 1349 KB  
Interesting Images
Myocardial Edema: A Rare but Specific Manifestation of Neonatal Capillary Leak Syndrome
by Jing Liu and Yue-Qiao Gao
Diagnostics 2023, 13(23), 3597; https://doi.org/10.3390/diagnostics13233597 - 4 Dec 2023
Cited by 2 | Viewed by 2362
Abstract
Capillary leak syndrome (CLS) is a rare, potentially life-threatening systemic disease with a mortality rate of more than 30%. Its major clinical manifestation and diagnostic basis are systemic hyperedema. However, we lack knowledge about the presence of severe myocardial edema in patients with [...] Read more.
Capillary leak syndrome (CLS) is a rare, potentially life-threatening systemic disease with a mortality rate of more than 30%. Its major clinical manifestation and diagnostic basis are systemic hyperedema. However, we lack knowledge about the presence of severe myocardial edema in patients with CLS. If myocardial edema cannot be detected, it will become a dangerous hidden condition that threatens the safety of patient lives. With the routine application of point-of-care critical ultrasound (POC-CUS) in clinical practice, we found that 2 of 37 (5.41%) CLS patients had severe myocardial edema as the main manifestation. It is also necessary to distinguish it from myocardial noncompaction in newborn infants with severe myocardial edema. This paper will help us to have a deeper understanding and correct management of CLS and, thus, help us to improve the prognosis of patients. This article also suggests the necessity of routine implementation of POC-CUS in the neonatal intensive care unit. Full article
(This article belongs to the Special Issue Advances in Diagnostic Medical Imaging in 2023)
Show Figures

Figure 1

19 pages, 1430 KB  
Commentary
A Focused Review of the Initial Management of Patients with Acute Respiratory Distress Syndrome
by Arunee Motes, Tushi Singh, Noella Vinan Vega and Kenneth Nugent
J. Clin. Med. 2023, 12(14), 4650; https://doi.org/10.3390/jcm12144650 - 13 Jul 2023
Cited by 3 | Viewed by 2871
Abstract
At present, the management of patients with acute respiratory distress syndrome (ARDS) largely focuses on ventilator settings to limit intrathoracic pressures by using low tidal volumes and on FiO2/PEEP relationships to maintain optimal gas exchange. Acute respiratory distress syndrome is a [...] Read more.
At present, the management of patients with acute respiratory distress syndrome (ARDS) largely focuses on ventilator settings to limit intrathoracic pressures by using low tidal volumes and on FiO2/PEEP relationships to maintain optimal gas exchange. Acute respiratory distress syndrome is a complex medical disorder that can develop in several primary acute disorders, has a rapid time course, and has several classifications that can reflect either the degree of hypoxemia, the extent of radiographic involvement, or the underlying pathogenesis. The identification of subtypes of patients with ARDS would potentially make precision medicine possible in these patients. This is a very difficult challenge given the heterogeneity in the clinical presentation, pathogenesis, and treatment responses in these patients. The analysis of large databases of patients with acute respiratory failure using statistical methods such as cluster analysis could identify phenotypes that have different outcomes or treatment strategies. However, clinical information available on presentation is unlikely to separate patients into groups that allow for secure treatment decisions or outcome predictions. In some patients, non-invasive positive pressure ventilation provides adequate support through episodes of acute respiratory failure, and the development of specialized units to manage patients with this support might lead to the better use of hospital resources. Patients with ARDS have capillary leak, which results in interstitial and alveolar edema. Early attention to fluid balance in these patients might improve gas exchange and alter the pathophysiology underlying the development of severe ARDS. Finally, more attention to the interaction of patients with ventilators through complex monitoring systems has the potential to identify ventilator dyssynchrony, leading to ventilator adjustments and potentially better outcomes. Recent studies with COVID-19 patients provide tentative answers to some of these questions. In addition, expert clinical investigators have analyzed the promise and difficulties associated with the development of precision medicine in patients with ARDS. Full article
(This article belongs to the Section Respiratory Medicine)
Show Figures

Figure 1

8 pages, 1267 KB  
Article
A Disproportionality Analysis for Association of Systemic Capillary Leak Syndrome with COVID-19 Vaccination Using the World Health Organization Pharmacovigilance Database
by Jin Park, Dongyeop Kim and Tae-Jin Song
Vaccines 2022, 10(6), 835; https://doi.org/10.3390/vaccines10060835 - 25 May 2022
Cited by 8 | Viewed by 3112
Abstract
Systemic capillary leak syndrome (SCLS) is a rare and potentially life-threatening disorder characterized by reversible plasma extravasation and vascular collapse. This study aimed to investigate the association between different types of COVID-19 vaccine and SCLS in a real-world setting. We used individual case [...] Read more.
Systemic capillary leak syndrome (SCLS) is a rare and potentially life-threatening disorder characterized by reversible plasma extravasation and vascular collapse. This study aimed to investigate the association between different types of COVID-19 vaccine and SCLS in a real-world setting. We used individual case safety reports of SCLS after COVID-19 vaccination from the WHO pharmacovigilance database, VigiBase. A disproportionality analysis of ChAdOx1 nCoV-19 and mRNA-based vaccines was performed. The information component (IC) and reporting odds ratio (ROR) were calculated from the entire database and viral vaccines data subset. A positive 95% lower end of the IC (IC025) value (>0) using Bayesian neural network analysis and lower end of the ROR 95% confidence interval (ROR025) ≥1 were defined as the ADR signal detection threshold. A total of 101 (0.004%) events of SCLS were identified. A significant potential signal of disproportionality of SCLS was noted in ChAdOx1 nCoV-19 when applied as the denominator for entire database (IC025 = 0.24, ROR025 = 1.23) and all viral vaccines (IC025 = 0.41, ROR025 = 1.59). No significant potential signal was noted for two mRNA-based vaccines as denominators for the entire database (IC025 = −0.49, ROR025 = 0.71) and all viral vaccines (IC025 = −0.32, ROR025 = 0.77). Contrary to ChAdOx1 nCoV-1, no safety signal for developing SCLS was identified for mRNA-based vaccines. Full article
(This article belongs to the Section COVID-19 Vaccines and Vaccination)
Show Figures

Figure 1

3 pages, 80 KB  
Case Report
The Effect of Tetrastarch Solution for Capillary Leak Syndrome Following Allogeneic Hematopoietic Stem Cell Transplantation: A Report of 2 Cases
by Yu-Ting Lin, Chun-Ying Wong, Tsung-Yen Chang, Chia-Chi Chiu, Yu-Chuan Wen and Tang-Her Jaing
Hematol. Rep. 2021, 13(1), 8750; https://doi.org/10.4081/hr.2021.8750 - 5 Mar 2021
Cited by 3 | Viewed by 1049
Abstract
Capillary leak syndrome (CLS) is a severe complication of allogeneic hematopoietic stem cell transplantation (HSCT) characterized by weight gain, generalized edema, hypotension, and hypoalbuminemia. The primary pathogenesis is injury of the capillary endothelium resulting in a loss of intravascular fluid into the interstitial [...] Read more.
Capillary leak syndrome (CLS) is a severe complication of allogeneic hematopoietic stem cell transplantation (HSCT) characterized by weight gain, generalized edema, hypotension, and hypoalbuminemia. The primary pathogenesis is injury of the capillary endothelium resulting in a loss of intravascular fluid into the interstitial space. Treatment is limited to vascular endothelial growth factor withdrawal and systemic corticosteroids. We report two cases with CLS where weight gain, ascites, and hypotension developed after neutrophil engraftment following allogeneic HSCT. We obtained serial electrolytes, blood urea nitrogen, creatinine, and albumin from these patients. Ultrasound with Doppler tracing performed on both patients showed no reversal of portal venous flow. Issues addressed were the restoration of regular hydration by hydroxyethyl starch (HES) solutions, together with systemic corticosteroids and forced diuresis. Tetrastarch was administered 10 and 20 days, respectively. Both patients recovered without sequelae. CLS is a frequent complication after allogeneic HSCT. The effects of HES on CLS merit further consideration and prospective study. Full article
20 pages, 1233 KB  
Article
Incidence of Capillary Leak Syndrome as an Adverse Effect of Drugs in Cancer Patients: A Systematic Review and Meta-Analysis
by Gwang Hun Jeong, Keum Hwa Lee, I Re Lee, Ji Hyun Oh, Dong Wook Kim, Jae Won Shin, Andreas Kronbichler, Michael Eisenhut, Hans J. van der Vliet, Omar Abdel-Rahman, Brendon Stubbs, Marco Solmi, Nicola Veronese, Elena Dragioti, Ai Koyanagi, Joaquim Radua and Jae Il Shin
J. Clin. Med. 2019, 8(2), 143; https://doi.org/10.3390/jcm8020143 - 26 Jan 2019
Cited by 50 | Viewed by 12504
Abstract
Capillary leak syndrome (CLS) is a rare disease with profound vascular leakage, which can be associated with a high mortality. There have been several reports on CLS as an adverse effect of anti-cancer agents and therapy, but the incidence of CLS according to [...] Read more.
Capillary leak syndrome (CLS) is a rare disease with profound vascular leakage, which can be associated with a high mortality. There have been several reports on CLS as an adverse effect of anti-cancer agents and therapy, but the incidence of CLS according to the kinds of anti-cancer drugs has not been systemically evaluated. Thus, the aim of our study was to comprehensively meta-analyze the incidence of CLS by different types of cancer treatment or after bone marrow transplantation (BMT). We searched the literatures (inception to July 2018) and among 4612 articles, 62 clinical trials (studies) were eligible. We extracted the number of patients with CLS, total cancer patients, name of therapeutic agent and dose, and type of cancer. We performed a meta-analysis to estimate the summary effects with 95% confidence interval and between-study heterogeneity. The reported incidence of CLS was categorized by causative drugs and BMT. The largest number of studies reported on CLS incidence during interleukin-2 (IL-2) treatment (n = 18), which yielded a pooled incidence of 34.7% by overall estimation and 43.9% by meta-analysis. The second largest number of studies reported on anti-cluster of differentiation (anti-CD) agents (n = 13) (incidence of 33.9% by overall estimation and 35.6% by meta-analysis) or undergoing BMT (n = 7 (21.1% by overall estimation and 21.7% by meta-analysis). Also, anti-cancer agents, including IL-2 + imatinib mesylate (three studies) and anti-CD22 monoclinal antibodies (mAb) (four studies), showed a dose-dependent increase in the incidence of CLS. Our study is the first to provide an informative overview on the incidence rate of reported CLS patients as an adverse event of anti-cancer treatment. This meta-analysis can lead to a better understanding of CLS and assist physicians in identifying the presence of CLS early in the disease course to improve the outcome and optimize management. Full article
(This article belongs to the Section Vascular Medicine)
Show Figures

Figure 1

12 pages, 661 KB  
Article
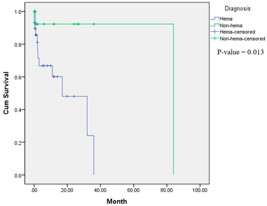
Systemic Capillary Leak Syndrome (Clarkson Syndrome) in Cancer Patients: A Systematic Review
by Jae Il Shin, Keum Hwa Lee, I. Re Lee, Ji Hyun Oh, Dong Wook Kim, Jae Won Shin, Tae Seong Eo, Andreas Kronbichler, Michael Eisenhut and Hans J. Van der Vliet
J. Clin. Med. 2018, 7(11), 418; https://doi.org/10.3390/jcm7110418 - 6 Nov 2018
Cited by 25 | Viewed by 7913
Abstract
Systemic capillary leak syndrome (SCLS) is a rare disease characterized by shock caused by capillary hyperpermeability. The disease can occur in cancer patients and effective therapeutic strategies have not been established yet. The aim of the study was to analyze the clinical and [...] Read more.
Systemic capillary leak syndrome (SCLS) is a rare disease characterized by shock caused by capillary hyperpermeability. The disease can occur in cancer patients and effective therapeutic strategies have not been established yet. The aim of the study was to analyze the clinical and laboratory data, treatment modalities, and mortality rate of patients and to identify contributing factors leading to mortality of SCLS in cancer. We searched MEDLINE (inception to July 2018) and of 4612 articles, we identified 62 case reports on SCLS associated with cancer or cancer-related drugs in a total of 53 articles. SCLS was associated with cancer itself in 43.6%, with anti-cancer agents in 51.6% and bone marrow transplantation (BMT) in 4.8%. Among anti-cancer agents, granulocyte-colony stimulating factor (G-CSF) was the most frequently associated drug (14.6%), followed by interleukin (IL)-2 (11.4%). The most common associated malignancies were hematologic (61.3%) with non-Hodgkin lymphoma (22.7%) and multiple myeloma (12.9%) being the leading causes. Common symptoms and signs included dyspnea (27.4%), edema (67.7%), hypotension (32.2%), pleural effusion (29.0%), ascites (22.7%), oliguria (22.7%), and weight gain (21.0%). Patients with SCLS were treated with steroids (59.7%), volume replacement (33.8%), diuretics (24.2%), inotropes (9.6%), methylxanthines (12.8%), β2 agonists (4.8%), while intravenous immunoglobulins (IVIG) were administered in 2 patients (3.2%) only. Among sixteen deaths during follow-up, four were directly attributed to SCLS. Hematologic malignancies were associated with an increased risk for mortality (hazard ratio (HR) 8.820, 95% confidence interval (CI) 1.126–69.063, p = 0.038). Taken together, SCLS can be one important adverse event in cancer patients and careful monitoring of fluid volume is required in the management of SCLS. Full article
(This article belongs to the Section Vascular Medicine)
Show Figures

Figure 1

Back to TopTop