Sign in to use this feature.

Years

Between: -

Subjects

remove_circle_outline
remove_circle_outline
remove_circle_outline
remove_circle_outline

Journals

Article Types

Countries / Regions

Search Results (10)

Search Parameters:
Keywords = surface active agent SAA

Order results
Result details
Results per page
Select all
Export citation of selected articles as:
31 pages, 18745 KB  
Article
Sustained Ocular Delivery of Moxifloxacin–Ufasomes-Laden In Situ Gel for Keratitis Management
by Ghadeer El-Fadaly, Dalia M. Ghorab, Heba M. El Sorogy, Salwa Seif Eldin, Marwa A. Sabet and Hoda E. Teba
Pharmaceuticals 2026, 19(2), 313; https://doi.org/10.3390/ph19020313 - 13 Feb 2026
Viewed by 597
Abstract
Background/Objectives: Keratitis is an ocular disease caused by microbial infection or by non-infectious damage due to UV light exposure, chemical exposure, or eye injuries. Methods: Moxifloxacin-loaded ufasomes (MOX-UFAs) were optimized using a full factorial design (12.23) after [...] Read more.
Background/Objectives: Keratitis is an ocular disease caused by microbial infection or by non-infectious damage due to UV light exposure, chemical exposure, or eye injuries. Methods: Moxifloxacin-loaded ufasomes (MOX-UFAs) were optimized using a full factorial design (12.23) after being prepared by the vortex mixing method. The study evaluated the effects of the oleic acid amount, surface active agent (SAA) amount, and SAA type as independent factors on the entrapment efficiency percent (EE%), particle size (PS), polydispersity index (PDI), zeta potential (ZP), and the amount released after 6 h (Q6h%). Results: The optimized ufasomes (UFAs) formulation was spherical, with an EE% of 78.37 ± 3.91%, PS of 203.13 ± 20.31 nm, PDI of 0.334 ± 0.016, and ZP of −25.42 ± 1.27 mV. The in vitro release of moxifloxacin (MOX) from the UFAs was maintained for more than 6 h in the range of 40.0–75.0%. The optimum MOX-UFAs formulation was incorporated into an in situ gel (Pluronic F-127/HPMC K4M). The ex vivo studies (corneal permeation and confocal laser scanning microscopy) proved the successful retention of the MOX-UFAs-laden in situ gel. Furthermore, the in vitro and in vivo antimicrobial studies revealed their significant antimicrobial effect against Pseudomonas aeruginosa. In addition, the Draize test proved the tolerability of MOX-UFAs-laden in situ gel in animals. Conclusions: The incorporation of MOX-UFAs into Pluronic F-127/HPMC K4M in situ gel could successfully provide sustained ocular delivery and improve the bioavailability of MOX for the management of keratitis. Full article
(This article belongs to the Section Pharmaceutical Technology)
Show Figures

Graphical abstract

11 pages, 2052 KB  
Article
Fabrication, Tensile Properties, and Photodecomposition of Basalt Fiber-Reinforced Cellulose Acetate Matrix Composites
by Yuxi Shen, Alia Gallet-Pandellé, Hiroki Kurita and Fumio Narita
Polymers 2021, 13(22), 3944; https://doi.org/10.3390/polym13223944 - 15 Nov 2021
Cited by 4 | Viewed by 3448
Abstract
Cellulose acetate (CA) is widely used as an alternative to conventional plastics because of the minor environmental impact of its decomposition cycle. This study synthesized five-layer environmentally friendly composites from CA bioplastic and basalt fibers (BFs) to produce a high-strength marine-biodegradable polymer. Maleic [...] Read more.
Cellulose acetate (CA) is widely used as an alternative to conventional plastics because of the minor environmental impact of its decomposition cycle. This study synthesized five-layer environmentally friendly composites from CA bioplastic and basalt fibers (BFs) to produce a high-strength marine-biodegradable polymer. Maleic anhydride-grafted polypropylene (PP-g-MAH) was mixed with CA as a surface-active agent (SAA) to understand the effect of surface treatment on the mechanical properties of the composite. Tensile tests and scanning electron microscopy were conducted to observe the fracture surfaces. The ultimate tensile strength (UTS) of the BF/CA composite increased by approximately a factor of 4 after adding 11 vol.% unidirectional BF. When the SAA was added, the UTS of the composite with 11 vol.% BF was multiplied by a factor of about 7, which indicates that the surface treatment has a significant positive effect on the mechanical properties. However, the improvement is not apparent when the added BFs are in a plain weave with a vertical orientation. A photodecomposition experiment was then conducted by adding TiO2. Observing the UTS changes of the CA and BF/CA composites, the effect of the photocatalyst on the decomposition of the materials was explored. Full article
(This article belongs to the Special Issue Manufacturing and Testing of Polymer Composites)
Show Figures

Figure 1

15 pages, 2180 KB  
Article
Toxicity Profiling of Biosurfactants Produced by Novel Marine Bacterial Strains
by Georgia-Persephoni Voulgaridou, Theodora Mantso, Ioannis Anestopoulos, Ariel Klavaris, Christina Katzastra, Despoina-Eugenia Kiousi, Marini Mantela, Alex Galanis, Konstantinos Gardikis, Ibrahim M. Banat, Tony Gutierrez, Karina Sałek, Stephen Euston, Mihalis I. Panayiotidis and Aglaia Pappa
Int. J. Mol. Sci. 2021, 22(5), 2383; https://doi.org/10.3390/ijms22052383 - 27 Feb 2021
Cited by 44 | Viewed by 4930
Abstract
Surface active agents (SAAs), currently used in modern industry, are synthetic chemicals produced from non-renewable sources, with potential toxic impacts on humans and the environment. Thus, there is an increased interest for the identification and utilization of natural derived SAAs. As such, the [...] Read more.
Surface active agents (SAAs), currently used in modern industry, are synthetic chemicals produced from non-renewable sources, with potential toxic impacts on humans and the environment. Thus, there is an increased interest for the identification and utilization of natural derived SAAs. As such, the marine environment is considered a promising source of biosurfactants with low toxicity, environmental compatibility, and biodegradation compared to their synthetic counterparts. MARISURF is a Horizon 2020 EU-funded project aiming to identify and functionally characterize SAAs, derived from a unique marine bacterial collection, towards commercial exploitation. Specifically, rhamnolipids produced by Marinobacter MCTG107b and Pseudomonas MCTG214(3b1) strains were previously identified and characterized while currently their toxicity profile was assessed by utilizing well-established methodologies. Our results showed a lack of cytotoxicity in in vitro models of human skin and liver as indicated by alamar blue and propidium iodide assays. Additionally, the use of the single gel electrophoresis assay, under oxidative stress conditions, revealed absence of any significant mutagenic/anti-mutagenic potential. Finally, both 2,2’-azino-bis (3-ethylbenzothiazoline-6-sulphonicacid) (ABTS) and 2,2-diphenyl-1-picrylhydrazyl radical (DPPH) cell-free assays, revealed no significant anti-oxidant capacity for neither of the tested compounds. Consequently, the absence of significant cytotoxicity and/or mutagenicity justifies their commercial exploitation and potential development into industrial end-user applications as natural and environmentally friendly biosurfactants. Full article
(This article belongs to the Special Issue Surfactants, Colloids, and Soft Nanomaterials)
Show Figures

Figure 1

31 pages, 12245 KB  
Article
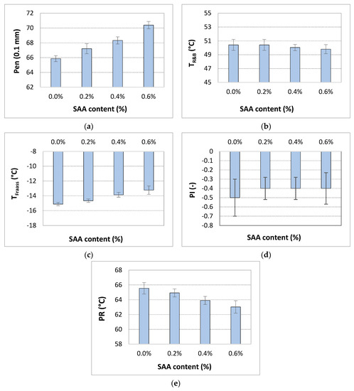
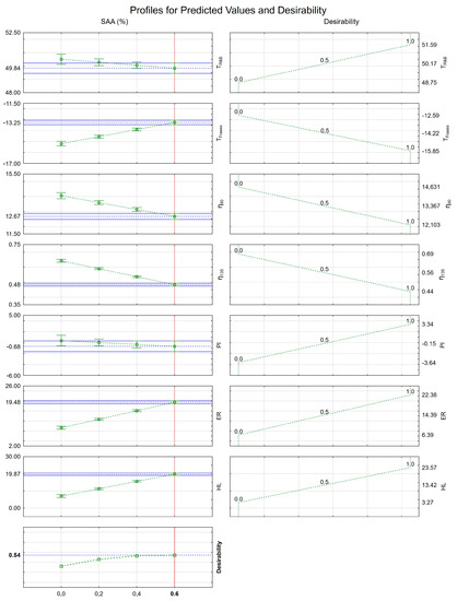
Synergistic Effect of F–T Synthetic Wax and Surface-Active Agent Content on the Properties and Foaming Characteristics of Bitumen 50/70
by Mateusz M Iwański
Materials 2021, 14(2), 300; https://doi.org/10.3390/ma14020300 - 8 Jan 2021
Cited by 23 | Viewed by 2995
Abstract
The level of the properties of bituminous mixtures produced with water foamed bitumen relies on the optimum characteristics of the bitumen. One way to achieve the desired characteristics is to modify the bitumen with chemical additives before it is foamed. Bitumen 50/70 treated [...] Read more.
The level of the properties of bituminous mixtures produced with water foamed bitumen relies on the optimum characteristics of the bitumen. One way to achieve the desired characteristics is to modify the bitumen with chemical additives before it is foamed. Bitumen 50/70 treated with a surface-active agent (SAA) at 0.2%, 0.4% and 0.6% and Fischer–Tropsch (F–T) synthetic wax at 1.5%, 2.0%, 2.5% and 3.0% was used in the tests. The effect of the modifiers was investigated by assessing bitumen properties (penetration, softening point, Fraass breaking point and dynamic viscosity at 60 °C, 90 °C and 135 °C) and foam parameters (maximum expansion—ER, half-life—HL). For statistical evaluation of the test results, models of the properties of bitumen 50/70 were developed as a function of the contents of F–T synthetic wax and SAA. It was found that 2.0% F–T wax and 0.6% SAA were optimum contents for achieving the desired standard properties and foam characteristics of the tested binder. The developed models allow determining the composition of the modified binder depending on the required foam characteristics for specific applications in road construction. The recommended composition of the chemical additives used to modify the binder was also established to ensure its optimum properties. Full article
(This article belongs to the Special Issue Production, Application and Properties of Bitumen)
Show Figures

Figure 1

25 pages, 5669 KB  
Article
Effect of Hydrated Lime on Indirect Tensile Stiffness Modulus of Asphalt Concrete Produced in Half-Warm Mix Technology
by Mateusz M. Iwański
Materials 2020, 13(21), 4731; https://doi.org/10.3390/ma13214731 - 23 Oct 2020
Cited by 29 | Viewed by 3465
Abstract
Half-warm mix asphalt (HWMA) mixtures can be produced at temperatures ranging from 100 °C to 130 °C, depending on the production methods used. The lowest mixing temperature can be achieved by using water-foamed bitumen. The mixture should be characterized by a long service [...] Read more.
Half-warm mix asphalt (HWMA) mixtures can be produced at temperatures ranging from 100 °C to 130 °C, depending on the production methods used. The lowest mixing temperature can be achieved by using water-foamed bitumen. The mixture should be characterized by a long service life, defined by the resistance to permanent deformation and high stiffness modulus at temperatures above zero. It is therefore important to ensure the adequately high quality of the bitumen binder. Bitumen 50/70 was provided with appropriate quality foaming characteristics (expansion ratio, ER, half-life, t1/2) by adding a surface-active agent (SAA) at 0.6 wt % before foaming. Then asphalt concrete (AC) 8 S was designed and produced with the recommended water-foamed binder. Hydrated lime, an additive substantially affecting asphalt concrete mechanical parameters, was used at 0, 15, 30, and 45 wt % as a partial replacement for the limestone filler. The influence of the amount of hydrated lime on the content of voids, indirect tensile stiffness modulus at −10 °C, 0 °C, +10 °C, +20 °C, and +30 °C, and the resistance to permanent deformation was investigated. Statistical analysis of the test results showed the quantity of 30% to be the optimum hydrated lime content. The AC 8 S resistance to permanent deformation was determined at the optimum hydrated lime content. The comprehensive evaluation revealed a synergistic effect between bitumen 50/70, modified before foaming with 0.6 wt % SAA and 30 wt % hydrated lime as the limestone filler replacement, and the half warm mixture AC 8 S, in terms of the standard requirements and durability of the HWMA concrete in pavement applications. Full article
(This article belongs to the Special Issue Asphalt Road Paving Materials)
Show Figures

Figure 1

35 pages, 1903 KB  
Review
Surface Active Agents and Their Health-Promoting Properties: Molecules of Multifunctional Significance
by Ioannis Anestopoulos, Despoina Eugenia Kiousi, Ariel Klavaris, Alex Galanis, Karina Salek, Stephen R. Euston, Aglaia Pappa and Mihalis I. Panayiotidis
Pharmaceutics 2020, 12(7), 688; https://doi.org/10.3390/pharmaceutics12070688 - 21 Jul 2020
Cited by 73 | Viewed by 8990
Abstract
Surface active agents (SAAs) are molecules with the capacity to adsorb to solid surfaces and/or fluid interfaces, a property that allows them to act as multifunctional ingredients (e.g., wetting and dispersion agents, emulsifiers, foaming and anti-foaming agents, lubricants, etc.) in a widerange of [...] Read more.
Surface active agents (SAAs) are molecules with the capacity to adsorb to solid surfaces and/or fluid interfaces, a property that allows them to act as multifunctional ingredients (e.g., wetting and dispersion agents, emulsifiers, foaming and anti-foaming agents, lubricants, etc.) in a widerange of the consumer products of various industrial sectors (e.g., pharmaceuticals, cosmetics, personal care, detergents, food, etc.). Given their widespread utilization, there is a continuously growing interest to explore their role in consumer products (relevant to promoting human health) and how such information can be utilized in order to synthesize better chemical derivatives. In this review article, weaimed to provide updated information on synthetic and biological (biosurfactants) SAAs and their health-promoting properties (e.g., anti-microbial, anti-oxidant, anti-viral, anti-inflammatory, anti-cancer and anti-aging) in an attempt to better define some of the underlying mechanism(s) by which they exert such properties. Full article
Show Figures

Figure 1

29 pages, 6112 KB  
Article
Resistance to Moisture-Induced Damage of Half-Warm-Mix Asphalt Concrete with Foamed Bitumen
by Mateusz M. Iwański, Anna Chomicz-Kowalska and Krzysztof Maciejewski
Materials 2020, 13(3), 654; https://doi.org/10.3390/ma13030654 - 1 Feb 2020
Cited by 33 | Viewed by 3493
Abstract
Hot-mix asphalt (HMA) remains the predominant material for pavement surfacing. Mixing is performed at about 180 °C, depending on the bitumen used. Environmental concerns in terms of emissions and energy demand are fostering new sustainable technologies in road construction. Warm-mix asphalt (WMA) and [...] Read more.
Hot-mix asphalt (HMA) remains the predominant material for pavement surfacing. Mixing is performed at about 180 °C, depending on the bitumen used. Environmental concerns in terms of emissions and energy demand are fostering new sustainable technologies in road construction. Warm-mix asphalt (WMA) and half-warm-mix asphalt (HWMA) mixtures meet current expectations in that they are produced at lower temperatures, 100–130 °C, ensured by foaming the bitumen with water. The extent of temperature reduction requires that the mixture has adequate moisture and frost resistance, which is particularly important in countries that have a low-temperature climate. Asphalt concrete AC 8 S with 50/70-grade foamed bitumen modified with 0.6 wt.% surface-active agent (SAA) was used in the tests. To provide the AC mixture with the required resistance to climatic factors (water, temperature below 0), hydrated lime was added at 0, 15, 30, and 45 wt.% as limestone filler replacement. The influence of the hydrated lime addition on the air void content and resistance to moisture and frost damage was investigated according to the WT-2 2014 methodology based on EN 12697-12: 2008 and to the modified AASHTO T283 method. The optimum content of hydrated lime for filler replacement was determined through statistical analysis of the test results. With the optimum hydrated lime replacement of 30%, the required level of moisture and frost resistance of HWMA concrete with foamed bitumen is achieved. The results of this study confirmed the suitability of HWMA concrete with foamed bitumen for application in road construction practice. Full article
(This article belongs to the Section Construction and Building Materials)
Show Figures

Figure 1

20 pages, 4643 KB  
Article
Effect of Surface Active Agent (SAA) on 50/70 Bitumen Foaming Characteristics
by Mateusz M. Iwański, Anna Chomicz-Kowalska and Krzysztof Maciejewski
Materials 2019, 12(21), 3514; https://doi.org/10.3390/ma12213514 - 26 Oct 2019
Cited by 28 | Viewed by 3752
Abstract
To ensure the standard properties of half-warm asphalt (HWA) mixes produced with foamed bitumen, the binder needs to have the best possible characteristics. One way to attain this is to modify the bitumen before it is foamed. The 50/70 penetration bitumen used in [...] Read more.
To ensure the standard properties of half-warm asphalt (HWA) mixes produced with foamed bitumen, the binder needs to have the best possible characteristics. One way to attain this is to modify the bitumen before it is foamed. The 50/70 penetration bitumen used in this study, was modified with a surface active agent (SAA) at different rates (0.2%, 0.4%, and 0.6% by wt.). The effect of the modifier on the bitumen properties (penetration, softening point, the Fraass breaking point, dynamic viscosity at 60 °C, 90 °C, and 135 °C) and on the binder foaming parameters (expansion ratio - ER, half-life - HL, foam index - FI) was investigated and the optimum quantity of foaming water was determined. Statistical analysis of the results showed that the addition of 0.6% SAA had the most beneficial effect on the set of 50/70 bitumen standard properties and foaming characteristics. Full article
(This article belongs to the Section Construction and Building Materials)
Show Figures

Figure 1

11 pages, 13682 KB  
Article
Surfactants: A Real Threat to the Aquatic Geoecosystems of Lobelia Lakes
by Maciej Markowski, Włodzimierz Golus, Żaneta Polkowska and Monika Kwidzińska
Limnol. Rev. 2017, 17(4), 183-193; https://doi.org/10.1515/limre-2017-0017 (registering DOI) - 16 Feb 2018
Cited by 3 | Viewed by 561
Abstract
Lobelia lakes are valuable elements of the natural environment. They are characterised by low trophy, mainly in-forest location and a high transparency of water. However, similarly to other surface waters, they are subjected to increasing anthropogenic pressures, a good indicator of which is [...] Read more.
Lobelia lakes are valuable elements of the natural environment. They are characterised by low trophy, mainly in-forest location and a high transparency of water. However, similarly to other surface waters, they are subjected to increasing anthropogenic pressures, a good indicator of which is the level of surfactants, also called surface-active agents (SAAs). The aim of the study was to evaluate the intensity of anthropogenic pressures in 13 selected lobelia lakes and 14 streams in the catchments of these lakes in Northern Poland, based on SAA concentrations in the waters of these water bodies. We collected one water sample from each of these water bodies and determined the concentrations of cationic, anionic and non-ionic SAAs. We then compared the results with data concerning the ways in which these catchments and water bodies are used. While ionic (cationic and anionic) SAAs were found to be present in all the 27 samples (with concentrations ranging from 0.05 to 0.51 mg dm−3), non-ionic SAAs were identified in 17 of 27 samples (from 0.00 to 2.43 mg dm−3) with three samples largely exceeding the maximum concentration values reported by other authors. We concluded that SAAs are a real threat to the aquatic geoecosystems of lobelia lakes and that the pressures of tourism and leisure have the greatest impact. Full article
11 pages, 2605 KB  
Article
Selected Anionic and Cationic Surface Active Agents: Case Study on the Kłodnica Sediments
by Ewa Olkowska, Marek Ruman, Magdalena Drąg-Śmigalska and Żaneta Polkowska
Limnol. Rev. 2017, 17(1), 11-21; https://doi.org/10.1515/limre-2017-0002 (registering DOI) - 9 Sep 2017
Cited by 2 | Viewed by 541
Abstract
Surface active agents (surfactants) are a group of chemical compounds, which are used as ingredients of detergents, cleaning products, cosmetics and functional products. After use, wastes containing surfactants or their degradation products are discharged to wastewater treatment plants or directly into surface waters. [...] Read more.
Surface active agents (surfactants) are a group of chemical compounds, which are used as ingredients of detergents, cleaning products, cosmetics and functional products. After use, wastes containing surfactants or their degradation products are discharged to wastewater treatment plants or directly into surface waters. Due to their specific properties of SAAs, compounds are able to migrate between different environmental compartments such as soil, sediment, water or even living organisms and accumulate there. Surfactants can have a harmful effect on living organisms. They can connect with bioactive molecules and modify their function. Additionally, they have the ability to migrate into cells and cause their damage or death. For these reasons investigation of individual surfactants should be conducted. The presented research has been undertaken to obtain information about SAA contamination of sediment from the River Kłodnica catchment caused by selected anionic (linear alkylbenzene sulfonates (LAS C10-C13)) and cationic (alkylbenzyldimethylammonium (BDMA-C12-16), alkyl trimethyl ammonium (DTMA), hexadecyl piridinium chloride (HP) chlorides) surfactants. This river flows through an area of the Upper Silesia Industrial Region where various companies and other institutions (e.g., coal mining, power plants, metallurgy, hospitals) are located. To determine their concentration the following analytical tools have been applied: accelerated solvent extraction– solid phase extraction–high performance liquid chromatography–UV-Vis (anionic SAAs) and conductivity (cationic SAAs) detectors. In all sediments anionic SAAs have been detected. The concentrations of HTMA and BDMA-C16 in tested samples were higher than other cationic analytes. Generally, levels of surfactants with longer alkyl chains were higher and this observation can confirm their higher susceptibility to sorption on solid surfaces. Full article
Back to TopTop