Sign in to use this feature.

Years

Between: -

Subjects

remove_circle_outline
remove_circle_outline
remove_circle_outline
remove_circle_outline
remove_circle_outline
remove_circle_outline
remove_circle_outline

Journals

Article Types

Countries / Regions

Search Results (6)

Search Parameters:
Keywords = slope stabilisation methods

Order results
Result details
Results per page
Select all
Export citation of selected articles as:
22 pages, 11650 KB  
Article
Rockfall Analysis of Old Limestone Quarry Walls—A Case Study
by Malwina Kolano, Marek Cała and Agnieszka Stopkowicz
Appl. Sci. 2025, 15(17), 9734; https://doi.org/10.3390/app15179734 - 4 Sep 2025
Viewed by 1208
Abstract
This article presents the results of a rockfall analysis conducted for the limestone walls of a former quarry that is now used as an urban park. The performed simulations (2D statistical analysis using Rigid Body Impact Mechanics—RBIM and Discrete Element Modelling—DEM) enabled the [...] Read more.
This article presents the results of a rockfall analysis conducted for the limestone walls of a former quarry that is now used as an urban park. The performed simulations (2D statistical analysis using Rigid Body Impact Mechanics—RBIM and Discrete Element Modelling—DEM) enabled the determination of the maximum displacement range during the ballistic phase and the maximum rebound height at the slope base, which facilitated the delineation of a safe land-use zone. A hazard zone was also identified, within which public access must be strictly prohibited due to the risk posed by flying debris. Based on slope stability assessments (safety factor values and rockfall trajectories), recommendations were formulated for slope reinforcement measures and appropriate management actions for designated sections to ensure safe operation of the site. Three mitigation strategies were proposed: (1) no protective measures, (2) no structural reinforcements but with installation of a rockfall barrier, and (3) full-scale stabilisation to allow unrestricted access to the quarry walls. The first option—leaving slopes unsecured with only designated safety buffers—is not recommended. Full article
Show Figures

Figure 1

15 pages, 17065 KB  
Article
Temperature Distribution Regularity and Dynamic Evolution of Spontaneous Combustion Coal Gangue Dump: Case Study of Yinying Coal Mine in Shanxi, China
by Na Zhao, Yongbo Zhang, Xuehua Zhao, Na Yang, Zhigang Wang, Zhongtie Guo, Jiamin Tong, Yuehui Zhang and Zhiming Liu
Sustainability 2023, 15(8), 6362; https://doi.org/10.3390/su15086362 - 7 Apr 2023
Cited by 14 | Viewed by 2001
Abstract
The serious environmental pollution caused by the spontaneous combustion of coal gangue has become a problem which cannot be ignored in the world mining industry. It is urgently necessary to clarify the law of the temperature distribution of spontaneous combustion in gangue dumps [...] Read more.
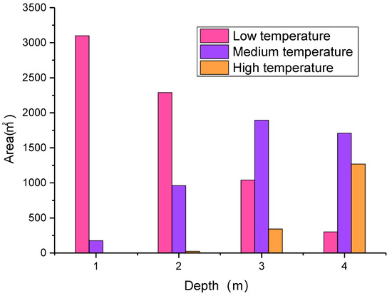
The serious environmental pollution caused by the spontaneous combustion of coal gangue has become a problem which cannot be ignored in the world mining industry. It is urgently necessary to clarify the law of the temperature distribution of spontaneous combustion in gangue dumps and to grasp its future dynamic evolution of spontaneous combustion. In this study, the internal temperature of the second platform of the Yinying coal mine gangue dump was monitored on the basis of the self-developed wireless temperature monitoring system. Its temperature distribution was analysed, and areas of low (<80 °C), medium (80~280 °C), and high temperature (>280 °C) were delimited. The finite element method was also used to simulate its internal temperature development of 1–5 years. The results show that: (1) The high temperature area is mainly distributed on the side close to the slope. In the area 3 m deep, the high temperature started to propagate quickly. At a depth of 4 m, medium and high temperature represented 90% of the platform’s total surface area. At 6 m deep, temperature peaked at 667 °C. (2) The conduction of the internal temperature of the spontaneous combustion of gangue discharge is a non-linear conduction, and the conduction of heat in the horizontal direction is lower than the vertical direction. (3) During the spontaneous combustion of gangue discharge over the next five years, the overall temperature increase is faster at first, then it decreases and eventually stabilises. The high-temperature zones extend 10 m from the slope to the interior in five years, and the high-temperature zones are oval-shaped. This study provides a theoretical reference for the prevention and control of spontaneous combustion of coal gangue dumps. Full article
Show Figures

Figure 1

16 pages, 22108 KB  
Article
Three-Dimensional Simulation Stability Analysis of Slopes from Underground to Open-Pit Mining
by Shuai Li, Zeming Zhao, Boyi Hu, Tubing Yin, Gong Chen and Guohui Chen
Minerals 2023, 13(3), 402; https://doi.org/10.3390/min13030402 - 14 Mar 2023
Cited by 10 | Viewed by 3641
Abstract
The stability of mine slopes is an important factor influencing the orderly production of mines and the safety of people’s lives and property. The stability of slopes can be effectively determined by means of three-dimensional simulation analysis. Some 3D simulation analysis methods are [...] Read more.
The stability of mine slopes is an important factor influencing the orderly production of mines and the safety of people’s lives and property. The stability of slopes can be effectively determined by means of three-dimensional simulation analysis. Some 3D simulation analysis methods are based on 2D analysis, and are still essentially 2D analysis methods, whereas this digital simulation analysis uses a true 3D analysis method. This method can reflect the overall slope stability of the mine in a more realistic way, and at the same time, the situation of the selected sections can be observed, making the analysis more scientific and rigorous. This study takes the Shizhuyuan Nonferrous Metal Mine as an example and studies the safety stability of mine slopes through true 3D safety analysis. The results show that the open-pit slopes of the Shizhuyuan mine are stable. The overall model results show that there is only a small amount of tensile damage and no penetration; the section results show that the absolute value of tensile stress is generally small, with a maximum of 1.45 MPa being less than the tensile strength of the material (7.04 MPa). After the model monitoring simulation, it is found that the displacements of each monitoring point are in the process of fluctuation and then stabilisation, which can also indicate that the slope is finally in a stable state. Comparing the above results with the conclusions obtained from the 2D analysis method, the conclusions are found to be in general agreement, indicating that the true 3D simulation analysis method is effective and feasible. Full article
(This article belongs to the Section Mineral Exploration Methods and Applications)
Show Figures

Figure 1

15 pages, 17587 KB  
Article
Cellulose Fibre Degradation in Cellulose/Steel Hybrid Geotextiles under Outdoor Weathering Conditions
by Avinash Pradip Manian, Barbara Paul, Helene Lanter, Thomas Bechtold and Tung Pham
Polymers 2022, 14(19), 4179; https://doi.org/10.3390/polym14194179 - 5 Oct 2022
Cited by 8 | Viewed by 3362
Abstract
Risks from rockfall and land sliding can be controlled by high-tensile steel nets and meshes which stabilise critical areas. In many cases, a recultivation of the land is also desired. However, high-tensile steel meshes alone are not always sufficient, depending on the location [...] Read more.
Risks from rockfall and land sliding can be controlled by high-tensile steel nets and meshes which stabilise critical areas. In many cases, a recultivation of the land is also desired. However, high-tensile steel meshes alone are not always sufficient, depending on the location and the inclination of the stabilised slope, to achieve rapid greening. Cellulose fibres exhibit high water binding capacity which supports plant growth. In this work, a hybrid structure consisting of a nonwoven cellulose fibre web and a steel mesh was produced and tested under outdoor conditions over a period of 61 weeks. The cellulose fibres are intended to support plant growth and soil fixation, and thus the biodegradation of the structure is highly relevant, as these fibres will become part of the soil and must be biodegradable. The biodegradation of the cellulose fibres over the period of outdoor testing was monitored by microscopy and analytical methods. The enzymatic degradation of the cellulose fibres led to a reduction in the average degree of polymerisation and also a reduction in the moisture content, as polymer chain hydrolysis occurs more rapidly in the amorphous regions of the fibres. FTIR analysis and determination of carboxylic group content did not indicate substantial changes in the remaining parts of the cellulose fibre. Plant growth covered geotextiles almost completely during the period of testing, which demonstrated their good compatibility with the greening process. Over the total period of 61 weeks, the residual parts of the biodegradable cellulose web merged with the soil beneath and growing plants. This indicates the potential of such hybrid concepts to contribute a positive effect in greening barren and stony land, in addition to the stabilising function of the steel net. Full article
(This article belongs to the Special Issue Natural Degradation: Management of Polymer Degradation)
Show Figures

Graphical abstract

17 pages, 1599 KB  
Article
Grassland Restoration at a Graded Ski Slope: Effects of Propagation Material and Fertilisation on Plant Cover and Vegetation
by Michele Scotton
Agriculture 2021, 11(5), 381; https://doi.org/10.3390/agriculture11050381 - 23 Apr 2021
Cited by 9 | Viewed by 3436
Abstract
The increasing anthropisation of mountain regions is a cause of soil degradation, which needs to be addressed. Conventional methods of ski slope revegetation often fail to stabilise the soil and recover natural vegetation. To test alternative methods to create a persistent, biodiversity-friendly plant [...] Read more.
The increasing anthropisation of mountain regions is a cause of soil degradation, which needs to be addressed. Conventional methods of ski slope revegetation often fail to stabilise the soil and recover natural vegetation. To test alternative methods to create a persistent, biodiversity-friendly plant cover, different sowing (site-adapted native propagation materials vs. forage cultivars vs. no sowing) and fertilisation treatments were compared over nine years at a graded ski slope. Because of the gravelly soil, the ninth-year plant cover was only 65%, which was sufficient to prevent erosion. All native propagation materials were equally efficient at recreating a semi-natural grassland. Except for Festuca rubra, the forage cultivars did not persist. However, native volunteer species from close natural ecosystems efficiently colonised plots sown with forage cultivars and plots that were not sown. This resulted in a lower plant cover but a high similarity to the surrounding vegetation. Fertilisation had a positive but transient effect on plant cover and a little negative effect on species richness. High-altitude sites with gravelly soils should be revegetated with native propagation materials. Using forage cultivars can attain a persistent plant cover only if the sown non-persistent cultivars are replaced by the species arriving from nearby surrounding vegetation. Full article
Show Figures

Figure 1

19 pages, 6651 KB  
Article
Measuring the Strength of Root-Reinforced Soil on Steep Natural Slopes Using the Corkscrew Extraction Method
by Gerrit Meijer, Glyn Bengough, Jonathan Knappett, Kenneth Loades and Bruce Nicoll
Forests 2019, 10(12), 1135; https://doi.org/10.3390/f10121135 - 12 Dec 2019
Cited by 13 | Viewed by 4010
Abstract
Roots can help to stabilise slopes against landslides and anchor trees against wind loading, but their mechanical contribution to the strength of soil is difficult to rapidly quantify under field conditions. A new field measurement method, quantifying the shear strength of rooted soil [...] Read more.
Roots can help to stabilise slopes against landslides and anchor trees against wind loading, but their mechanical contribution to the strength of soil is difficult to rapidly quantify under field conditions. A new field measurement method, quantifying the shear strength of rooted soil by measuring the resistance against extraction of soil cores using a large corkscrew device, was tested across three heterogeneous slopes (unforested, forested and clearfelled) in Scotland. The presence of roots significantly increased the measured shear strength in the surface layer of the Sitka spruce forested slope. Differences in strength between the three areas were however not significant. This could be attributed to the large variation in the soil component of the combined root–soil shear strength, which was strongly affected by variations in both soil density and gravel content. Measured strength on these natural slopes were much more variable compared to previously investigated sites. These results highlight the importance of investigating the variation in soil strength during root-reinforcement measurements, and furthermore demonstrate the need for a sufficiently large number of tests to address this variation. The corkscrew provides rapid estimation of root-reinforced soil shear strength on sites with difficult accessibility. Compared to the more conventional shear vane method, which yielded comparable soil strength results, the corkscrew proved more suitable in stony soil layers and has the additional benefit of simultaneously extracting small (rooted) soil samples that could be used for further root and soil analysis. It therefore proved a useful and effective field tool for use when a rapid estimation of root-reinforced soil shear strength is required. Full article
(This article belongs to the Section Forest Ecology and Management)
Show Figures

Figure 1

Back to TopTop