Sign in to use this feature.

Years

Between: -

Subjects

remove_circle_outline

Journals

Article Types

Countries / Regions

Search Results (1)

Search Parameters:
Keywords = silsesquioxane titanium complex

Order results
Result details
Results per page
Select all
Export citation of selected articles as:
15 pages, 2012 KB  
Article
Cyclopentadienyl–Silsesquioxane Titanium Complexes in the Polymerizations of Styrene and L-Lactide
by Joan Vinueza-Vaca, Shoaib Anwar, Salvatore Impemba, Ilaria Grimaldi, Gerardo Jiménez, Carmine Capacchione, Vanessa Tabernero and Stefano Milione
Polymers 2025, 17(19), 2715; https://doi.org/10.3390/polym17192715 - 9 Oct 2025
Abstract
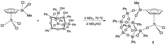
In this contribution, two silsesquioxane–cyclopentadienyl titanium complexes featuring one or two chloride ancillary ligands, [Ti(η5-C5H4SiMeO2Ph7Si7O10-κO)Cl2] (1) and [Ti(η5-C5H4 [...] Read more.
In this contribution, two silsesquioxane–cyclopentadienyl titanium complexes featuring one or two chloride ancillary ligands, [Ti(η5-C5H4SiMeO2Ph7Si7O10-κO)Cl2] (1) and [Ti(η5-C5H4SiMe2OPh7Si7O11-κ2O2)Cl] (2), were synthesized and evaluated in the Ziegler–Natta polymerization of styrene and the ring-opening polymerization (ROP) of L-lactide, respectively. Complex 1, activated with methylaluminoxane (MAO), catalyzed the syndiotactic polymerization of styrene with turnover frequencies up to 28 h−1, affording polymers with narrow dispersity, low number-average molecular weights (Mn = 5.2–8.2 kDa), and high stereoregularity, as confirmed by 13C NMR. Complex 2, in combination with benzyl alcohol, promoted the ring-opening polymerization of L-lactide in solution at 100 °C, achieving conversions up to 95% with good molecular weight control (Mn close to theoretical, Đ = 1.19–1.32). Under melt conditions at 175 °C, it converted up to 3000 equiv. of monomer within 1 h. Kinetic analysis revealed first-order dependence on monomer concentration. The results highlight the ability of these complexes to produce syndiotactic polystyrene with narrow molecular weight distributions and to catalyze controlled ROP of L-lactide under both solution and melt conditions. Computational studies provided insight into key structural and energetic features influencing reactivity, offering a framework for further catalyst optimization. This work broadens the application scope of silsesquioxane–cyclopentadienyl titanium complexes and supports their potential as sustainable and versatile catalysts for both commodity and biodegradable polymer synthesis. Full article
(This article belongs to the Section Polymer Chemistry)
Show Figures

Graphical abstract

Back to TopTop