Sign in to use this feature.

Years

Between: -

Subjects

remove_circle_outline
remove_circle_outline
remove_circle_outline
remove_circle_outline

Journals

Article Types

Countries / Regions

Search Results (4)

Search Parameters:
Keywords = secreted frizzled-related protein 3

Order results
Result details
Results per page
Select all
Export citation of selected articles as:
15 pages, 1279 KB  
Article
Evaluation of LRP6, SFRP3, and DVL1 Protein Concentrations in Serum of Patients with Gastroenteropancreatic or Bronchopulmonary Neuroendocrine Tumors
by Roksana Duszkiewicz, Janusz Strzelczyk, Elżbieta Chełmecka and Joanna Katarzyna Strzelczyk
Cancers 2025, 17(1), 47; https://doi.org/10.3390/cancers17010047 - 27 Dec 2024
Viewed by 1165
Abstract
Introduction: Neuroendocrine tumors are a diverse group of tumors predominantly found in the gastrointestinal tract or respiratory system. Methods: This retrospective study aimed to measure the serum concentrations of LRP6 (low-density lipoprotein receptor-related protein 6), SFRP3 (secreted frizzled-related protein 3), and DVL1 [...] Read more.
Introduction: Neuroendocrine tumors are a diverse group of tumors predominantly found in the gastrointestinal tract or respiratory system. Methods: This retrospective study aimed to measure the serum concentrations of LRP6 (low-density lipoprotein receptor-related protein 6), SFRP3 (secreted frizzled-related protein 3), and DVL1 (segment polarity protein dishevelled homolog) using the ELISA method in patients with NETs (N = 80) and a control group (N = 62). We evaluated the results against various demographic, clinicopathological, and biochemical characteristics. Results: Our analyses revealed that the concentration of SFRP3 in patients with neuroendocrine tumors was significantly elevated (p < 0.001) compared to the control group. Additionally, DVL1 concentrations were significantly higher (p < 0.01) in patients with BP-NETs compared to GEP-NETs. Furthermore, DVL1 analysis showed a moderate negative correlation with chromogranin A (p < 0.001) and weak negative correlations with serotonin (p < 0.05) and 5-HIAA (p < 0.05). Significant negative correlations were also observed between DVL1 and age in the control group (p < 0.01), and between LRP6 and Ki-67 in the study group. Conclusions: These results suggest that changes in the SFRP3 and DVL1 pathways play a key role in NET development. Elevated levels of these proteins highlight their importance in tumor biology, with SFRP3 and DVL1 potentially being crucial in NET molecular mechanisms. Further research is needed to explore their roles and potential in diagnosis and treatment. Full article
(This article belongs to the Section Molecular Cancer Biology)
Show Figures

Figure 1

15 pages, 7677 KB  
Article
Identification of Proteins Adsorbed on Hydroxyapatite Ceramics with a Preferred Orientation to a-Plane
by Erika Onuma, Takayuki Honda, Hideyuki Yoshimura, Tappei Nishihara, Atsushi Ogura, Nobuyuki Kanzawa and Mamoru Aizawa
Crystals 2023, 13(9), 1318; https://doi.org/10.3390/cryst13091318 - 29 Aug 2023
Cited by 6 | Viewed by 2743
Abstract
Protein adsorption is essential for determining material biocompatibility and promoting adherent cell growth. In this study, we focused on the a-plane structure of hydroxyapatite (HAp). This a-plane structure closely resembles the crystal plane where apatite is exposed in long bones. We [...] Read more.
Protein adsorption is essential for determining material biocompatibility and promoting adherent cell growth. In this study, we focused on the a-plane structure of hydroxyapatite (HAp). This a-plane structure closely resembles the crystal plane where apatite is exposed in long bones. We conducted protein adsorption experiments using HAp ceramics with a preferred orientation to a-planes (aHAp), employing bovine serum albumin (BSA), lysozyme, and fetal bovine serum (FBS) as protein models to mimic the in vivo environment. Higher zeta potential and contact angle values were found in aHAp than in HAp ceramics fabricated from commercial HAp powder (iHAp). Bradford-quantified protein adsorption revealed BSA adsorption of 212 ng·mm−2 in aHAp and 28.4 ng mm−2 in iHAp. Furthermore, the Bradford-quantified protein adsorption values for FBS were 2.07 μg mm−2 in aHAp and 1.28 µg mm−2 in iHAp. Two-dimensional electrophoresis (2D-PAGE) showed a higher number of protein-derived major spots in aHAp (37 spots) than in iHAp (12 spots). Mass spectrometry analysis of the resulting 2D-PAGE gels revealed proteins adsorbed on aHAp, including secreted frizzled-related protein 3 and vitamin K epoxide reductase complex 1, which are involved in cellular bone differentiation. Overall, these proteins are expected to promote bone differentiation, representing a characteristic property of aHAp. Full article
(This article belongs to the Special Issue Biomaterials for Medical and Dental Applications)
Show Figures

Figure 1

18 pages, 2660 KB  
Article
Reduction of Secreted Frizzled-Related Protein 5 Drives Vascular Calcification through Wnt3a-Mediated Rho/ROCK/JNK Signaling in Chronic Kidney Disease
by Yun Jung Oh, Hyunsook Kim, Ae Jin Kim, Han Ro, Jae Hyun Chang, Hyun Hee Lee, Wookyung Chung, Hee-Sook Jun and Ji Yong Jung
Int. J. Mol. Sci. 2020, 21(10), 3539; https://doi.org/10.3390/ijms21103539 - 17 May 2020
Cited by 19 | Viewed by 4683
Abstract
Vascular calcification (VC) is commonly associated with bone loss in patients with chronic kidney disease (CKD). The Wingless-related integration site (Wnt) regulates osteoblast activation through canonical signaling pathways, but the common pathophysiology of these pathways during VC and bone loss has not been [...] Read more.
Vascular calcification (VC) is commonly associated with bone loss in patients with chronic kidney disease (CKD). The Wingless-related integration site (Wnt) regulates osteoblast activation through canonical signaling pathways, but the common pathophysiology of these pathways during VC and bone loss has not been identified. A rat model of adenine-induced CKD with VC was used in this study. The rats were fed 0.75% adenine (2.5% protein, 0.92% phosphate) with or without intraperitoneal injection of calcitriol (0.08 µg/kg/day) for 4 weeks. Angiotensin II (3 µM)-induced VC was achieved in high phosphate medium (3 mM) through its effect on vascular smooth muscle cells (VSMCs). In an mRNA profiler polymerase chain reaction assay of the Wnt signaling pathway, secreted frizzled-related protein 5 (sFRP5) levels were significantly decreased in the CKD rat model compared with the control group. The repression of sFRP5 on VSMC trans-differentiation was mediated through Rho/Rho-associated coiled coil containing protein kinase (ROCK) and c-Jun N-terminal kinase (JNK) pathways activated by Wnt3a. In a proof of concept study conducted with patients with CKD, serum sFRP5 concentrations were significantly lower in subjects with VC than in those without VC. Our findings suggest that repression of sFRP5 is associated with VC in the CKD environment via activation of the noncanonical Wnt pathway, and thus that sFRP5 might be a novel therapeutic target for VC in CKD. Full article
(This article belongs to the Special Issue Molecular Mechanism of Vascular Disorders and Thrombosis)
Show Figures

Graphical abstract

18 pages, 9359 KB  
Article
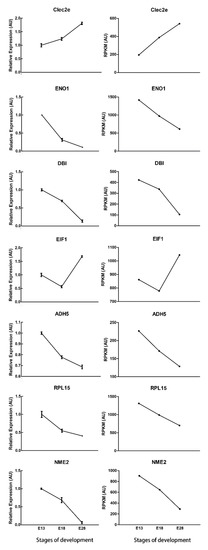
De Novo Transcriptome Sequencing Analysis of Goose (Anser anser) Embryonic Skin and the Identification of Genes Related to Feather Follicle Morphogenesis at Three Stages of Development
by Chang Liu, Cornelius Tlotliso Sello, Yongfeng Sun, Yuxuan Zhou, Hongtao Lu, Yujian Sui, Jingtao Hu, Chenguang Xu, Yue Sun, Jing Liu, Shengyi Li, Yiming Zhang and Kaiyan Zhang
Int. J. Mol. Sci. 2018, 19(10), 3170; https://doi.org/10.3390/ijms19103170 - 15 Oct 2018
Cited by 25 | Viewed by 4848
Abstract
The objective of this study was to evaluate the changes in the goose embryo transcriptome during feather development. RNA-Sequencing (RNA-Seq) was used to find the transcriptome profiles of feather follicles from three stages of embryonic dorsal skin at embryonic day 13, 18, and [...] Read more.
The objective of this study was to evaluate the changes in the goose embryo transcriptome during feather development. RNA-Sequencing (RNA-Seq) was used to find the transcriptome profiles of feather follicles from three stages of embryonic dorsal skin at embryonic day 13, 18, and 28 (E13, E18, E28). The results showed that 3001, 6634, and 13,780 genes were differently expressed in three stages. Gene Ontology (GO) and Kyoto Encyclopedia of Genes and Genomes (KEGG) analysis revealed that differentially expressed genes (DEGs) in E13 vs. E18 were significantly mapped into the GO term of extracellular structure organization and the pathway of extracellular matrix (ECM)-receptor interaction. In E18 vs. E28, the top significantly mapped into GO term was the single-organism developmental process; the pathway was also the ECM-receptor interaction. DEGs in E13 vs. E28 were significantly mapped into the GO term of the multicellular organismal process and the pathway of cell adhesion molecules. Subsequently, the union of DEGs was categorized by succession cluster into eight profiles, which were then grouped into four ideal profiles. Lastly, the seven genes spatio-temporal expression pattern was confirmed by real-time PCR. Our findings advocate that interleukin 20 receptor subunit alpha (IL20RA), interleukin 6 receptor (IL6R), interleukin 1 receptor type 1 (IL-1R1), Wnt family member 3A (WNT3A), insulin-like growth factor binding protein 3 (IGFBP3), bone morphogenetic protein 7 (BMP7), and secreted-frizzled related protein 2 (SFRP2) might possibly play vital roles in skin and feather follicle development and growth processes. Full article
(This article belongs to the Section Biochemistry)
Show Figures

Graphical abstract

Back to TopTop