Sign in to use this feature.

Years

Between: -

Subjects

remove_circle_outline
remove_circle_outline
remove_circle_outline
remove_circle_outline
remove_circle_outline
remove_circle_outline
remove_circle_outline
remove_circle_outline

Journals

Article Types

Countries / Regions

Search Results (11)

Search Parameters:
Keywords = scanning guidance law

Order results
Result details
Results per page
Select all
Export citation of selected articles as:
18 pages, 29127 KB  
Article
Multi-Scale Characterization of Pores and Fractures in Coals with Different Coal-Body Structures from the Jincheng Mine, Qinshui Basin, Northern China
by Haoran Yang, Xiaomei Wang, Rui Li, Pancun Chai, Fan Deng and Xingxing Guo
Minerals 2024, 14(8), 833; https://doi.org/10.3390/min14080833 - 17 Aug 2024
Cited by 1 | Viewed by 1467
Abstract
The Qinshui Basin is located in the southeast of Shanxi Province, China. It is one of the most abundant coal resources from Permo-Carboniferous North China. It is rich in coal and coalbed methane resources. However, the accumulation of coalbed methane is complex and [...] Read more.
The Qinshui Basin is located in the southeast of Shanxi Province, China. It is one of the most abundant coal resources from Permo-Carboniferous North China. It is rich in coal and coalbed methane resources. However, the accumulation of coalbed methane is complex and the enrichment law has not been fully understood because of the high heterogeneity of coal reservoirs in the Qinshui Basin. The examination of dissimilarities between tectonically deformed coals (TDCs) and primary coals at multiple scales holds paramount importance in advancing our understanding of the occurrence and flow patterns of coalbed methane, and in providing guidance for exploration efforts. In the present study, the samples from the Jincheng Mine, Qinshui Basin, were studied by X-ray diffraction (XRD), scanning electron microscopy (SEM), mercury intrusion porosimetry (MIP), CO2 gas adsorption and 3D X-ray micro-computed tomography. The results showed that the dominant minerals in coal were illite, kaolinite, and calcite, with minor amounts of quartz and ankerite. In comparison to primary coal, tectonism could increase the microfractures density of type A (the fracture of width ≥ 5 μm and length > 10 mm) in TDCs. In CO2 gas adsorption in mylonite coal, it was observed that the volume of micropores (<2 nm) was significantly reduced leading to a decrease in gas adsorption capacity. The result of Micro-CT scanning revealed that the minerals occurred as veins in primary coal, but as irregular aggregates in TDCs. Moreover, tectonism had a staged impact on fracture structure, which was initially closed in cataclastic coal and then formed into granulated coal during the tectonic evolution. The effects of tectonism on coal structure had an impact on the connectivity of micropores at the micrometer scale by the destruction of the pore throat structure, increasing the heterogeneity of the reservoir. These findings help to better understand the changes in TDC structure at different scales for developing effective strategies for coalbed methane exploration and production. Full article
Show Figures

Figure 1

21 pages, 8412 KB  
Article
Effect of Temperature and Humidity Coupling on the Ageing Failure of Carbon Fiber Composite/Titanium Bonded Joints
by Han Peng, Tai Zhou, Linjian Shangguan and Ruixue Cheng
Polymers 2024, 16(7), 952; https://doi.org/10.3390/polym16070952 - 30 Mar 2024
Cited by 7 | Viewed by 2036
Abstract
Temperature and humidity coupling has a more significant effect on the failure properties of bonded joints than a single factor, and there is not enough research on this. In this paper, joints bonded with strong toughness structural adhesives are selected for the experimental [...] Read more.
Temperature and humidity coupling has a more significant effect on the failure properties of bonded joints than a single factor, and there is not enough research on this. In this paper, joints bonded with strong toughness structural adhesives are selected for the experimental analysis of joints aged for 240 h, 480 h, and 720 h at temperatures of 40 °C and 60 °C and a humidity of 95% and 100%. The sequential double Fick’s model was used to fit the water absorption of the joints, and the comparison yielded that the water absorption of the adhesive was in accordance with Fick’s law. The quasi-static tensile tests revealed that the reduction in mechanical properties of the joints was positively correlated with the moisture content in the environment, while the competing mechanisms of post-temperature curing and hydroplasticization resulted in a slight increase in the failure strength and energy uptake of the aged joints, which is in agreement with the experimental results of the Fourier infrared spectroscopy. A combination of macroscopic failure sections and scanning electron microscope (SEM) images yielded that the failure mode of the joints changed from cohesive failure to interfacial failure with increasing ageing time. In addition, reliability analyses for the fatigue testing of joints are expected to provide guidance for the life design of bonding technology in the vehicle service temperature range. Full article
(This article belongs to the Section Polymer Processing and Engineering)
Show Figures

Figure 1

11 pages, 3546 KB  
Article
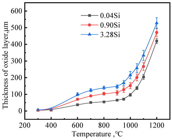
Effects of Si Content on the Growth of Oxide Layers in Carbon Steels during the Heating Process
by Qingxia Wang, Yongli Chen, Xin Wu, Yueyue Jiang and Peigeng Fan
Processes 2024, 12(1), 88; https://doi.org/10.3390/pr12010088 - 29 Dec 2023
Cited by 3 | Viewed by 2249
Abstract
A prevalent metal surface defect is hot-rolled iron oxide; thus, it is critical to regulate the production and growth of oxidized iron during the hot-rolling process. To analyze the influence of Si content on the growth laws of the oxidized layer in carbon [...] Read more.
A prevalent metal surface defect is hot-rolled iron oxide; thus, it is critical to regulate the production and growth of oxidized iron during the hot-rolling process. To analyze the influence of Si content on the growth laws of the oxidized layer in carbon steel during heating, three types of carbon steel with significant differences in Si content were selected for research on the growth laws of the oxidized layer at different heating temperatures. The production law and micromorphology of the oxidized layer were analyzed using methods such as scanning electron microscopy and thermodynamic phase diagram calculation, and an oxidation dynamic model was obtained. The predicted control values of the model are highly consistent with the measured values. This study reveals that the heating temperature significantly impacts the thickness of the oxidized layer of carbon steel. At temperatures below 500 °C, the oxidation is not evident, and the layer is thin. Between 500 °C and 900 °C, the steel’s composition affects the thickness. Carbon steels with high Si content form a dense iron olivine layer, which slows down the oxidation rate. However, heating temperatures above 900 °C cause the protective oxidized film to reach the melting point of iron olivine, increasing the oxidation rate. At 1200 °C, the oxidized layers of the three types of carbon steel remain consistent. This paper’s research findings offer theoretical guidance for large-scale industrial production practices and serve as a reference for similar studies on steel oxidation behavior. Full article
Show Figures

Graphical abstract

36 pages, 18032 KB  
Article
Experimental and Numerical Simulations of Pore Structures and Seepage Characteristics of Deep Sandstones
by Yinge Zhu, Yue Wu, Lei Zhang and Shuai Zhang
Processes 2023, 11(12), 3411; https://doi.org/10.3390/pr11123411 - 12 Dec 2023
Cited by 6 | Viewed by 1506
Abstract
Previously conducted studies have established that deep underground rock masses have complex pore structures and face complex geological conditions. Therefore, the seepage problem of such rock masses seriously affects engineering safety. To better explore the seepage law of deep rock masses and ensure [...] Read more.
Previously conducted studies have established that deep underground rock masses have complex pore structures and face complex geological conditions. Therefore, the seepage problem of such rock masses seriously affects engineering safety. To better explore the seepage law of deep rock masses and ensure engineering safety, indoor experimental methods such as casting thin sections, scanning electron microscopy, and mercury intrusion testing were utilized in this study. The microscopic pore shape, size, distribution, and other structural characteristics of sandstone in coal bearing strata were analyzed. The tortuosity calculation formula was obtained by the theoretical derivation method. And a numerical model was established for seepage numerical simulation research through microscopic digital image methods. The seepage law of surrounding rocks in the Tangkou Coal Mine roadway under different conditions is discussed. The research results indicate that the complexity of the pore structure in porous media leads to an uneven distribution of flow velocity and pressure within the medium. Meanwhile, with the change of physical properties, the fluid flow characteristics also undergo significant changes. The research results can effectively guide micropore water blocking, reduce the impact of groundwater on the environment, ensure the environment and safety of the project, and provide guidance for other geological projects. Full article
Show Figures

Graphical abstract

16 pages, 2467 KB  
Article
Experimental Studies of Methane Adsorption on Activated Carbon and 3D Graphene Materials
by Ziwen Zhu and Muyuan Zhang
Processes 2023, 11(8), 2487; https://doi.org/10.3390/pr11082487 - 18 Aug 2023
Cited by 1 | Viewed by 3875
Abstract
Two kinds of slit pore carbon materials, namely activated carbon (AC) and 3D graphene materials (3D-GS), were purchased to examine their methane storage capabilities. The structural analysis and characterization of AC and 3D-GS were carried out using X-ray diffraction (XRD), scanning electron microscopy [...] Read more.
Two kinds of slit pore carbon materials, namely activated carbon (AC) and 3D graphene materials (3D-GS), were purchased to examine their methane storage capabilities. The structural analysis and characterization of AC and 3D-GS were carried out using X-ray diffraction (XRD), scanning electron microscopy (SEM), the X-ray energy dispersive spectrum (EDS), and N2 adsorption/desorption isotherms. Additionally, a thermodynamic framework was employed in the Henry’s law region to evaluate the potential well between the adsorbed fluid and adsorbent. The adsorption behavior of methane on two materials at room temperature and high pressure was also investigated. The results show that the Toth equation is the most suitable model for predicting adsorption isotherms than the Langmuir and L-F equations and determines that the absolute uptake of methane storage on AC and 3D-GS are, respectively, 7.86 mmol·g−1 and 8.9 mmol·g−1 at 298 K and 35 bar. In the Henry’s law region, the isosteric heat of methane adsorption on 3D-GS is larger than that of AC. Meanwhile, the potential well between methane and carbon-based materials decreases as the temperature increases. This indicates that the capacity of methane uptake is enhanced at lower temperatures, which is consistent with the measurements of adsorption isotherms. The research concludes that the 3D-GS is more suitable as a material storage medium than AC. This study provides valuable theoretical guidance for exploring the potential of methane storage on slit pore carbon-based material. Full article
Show Figures

Figure 1

16 pages, 10340 KB  
Article
Influence of Peat Soil Environment on Mechanical Properties of Cement-Soil and Its Mechanism
by Yunfei Song, Jing Cao, Wenyun Ding, Zhigang Song, Hong Liu, Siyang Huang and Weiming Zhu
Sustainability 2023, 15(5), 4580; https://doi.org/10.3390/su15054580 - 3 Mar 2023
Cited by 8 | Viewed by 2559
Abstract
The influence of peat soil environment (PSE) on the mechanical properties of cement-soil in the area around Dianchi Lake and Erhai Lake in Yunnan Province has attracted much attention. This study explores the change law of cement-soil UCS in the PSE, and provides [...] Read more.
The influence of peat soil environment (PSE) on the mechanical properties of cement-soil in the area around Dianchi Lake and Erhai Lake in Yunnan Province has attracted much attention. This study explores the change law of cement-soil UCS in the PSE, and provides guidance for the development and sustained usage of peat soil foundation. The paper discusses the preparation of cement-soil samples by adding humic acid (HA) and cement to cohesive soil with low organic matter content (blending method) and soaking it in fulvic acid (FA) solution and deionized water (steeping method) to simulate the actual working environment of cement-soil. Unconfined compressive strength (UCS), acid consumption, ion leaching, scanning electron microscope (SEM), and X-ray diffraction (XRD) tests are carried out on cement-soil samples soaked for 90 days. The results show that HA can significantly reduce the UCS of cement-soil. FA can reduce the UCS of cement-soil when the content of HA is less than 18%. However, when the amount of HA is more than 18%, the UCS of cement-soil increases slightly. FA makes the deformation and failure type of cement-soil gradually change from brittle shear failure to plastic shear failure. FA reacts with the cement hydration products in the sample so that the cumulative acid consumption of the cement-soil sample continues to increase, and the dissolution of Ca2+, Mg2+, Al3+, and Fe3+ in the sample increases the ion concentration of the soaking solution. In addition, SEM and XRD show that HA can increase the macropores and connectivity of cement-soil, while FA fills part of the pores of the wetting layer. In the PSE, FA can strengthen the inner structure of HA particles and fill and cement the layers of cohesive particles, enhancing the construction of cement-soil with HA content greater than 18%, so that its UCS is relatively improved. However, when the amount of HA is less than 18%, there are more small pores in the cement-soil. The interaction between FA and HA in the cement-soil is weak. The influence of FA on cement-soil is mainly a weakening effect, and its UCS is relatively reduced. Full article
Show Figures

Figure 1

19 pages, 4172 KB  
Article
An Experimental and Numerical Study of the Influence of Temperature on Mode II Fracture of a T800/Epoxy Unidirectional Laminate
by Yu Gong, Linfei Jiang, Linkang Li and Jian Zhao
Materials 2022, 15(22), 8108; https://doi.org/10.3390/ma15228108 - 16 Nov 2022
Cited by 19 | Viewed by 2513
Abstract
Studies on mode II fracture have promoted the establishment of the delamination theory for unidirectional composite laminates at room temperature. However, under thermal conditions, the fracture behavior of composite laminates will exhibit certain differences. The delamination theory should be extended to consider the [...] Read more.
Studies on mode II fracture have promoted the establishment of the delamination theory for unidirectional composite laminates at room temperature. However, under thermal conditions, the fracture behavior of composite laminates will exhibit certain differences. The delamination theory should be extended to consider the temperature effect. To achieve this goal, in this study, the mode II static delamination growth behavior of an aerospace-grade T800/epoxy composite is investigated at 23 °C, 80 °C and 130 °C. The mode II fracture resistance curve (R-curve) is experimentally determined. A fractographic study on the fracture surface is performed using a scanning electron microscope (SEM), in order to reveal the failure mechanism. In addition, a numerical framework based on the cohesive zone model with a bilinear constitutive law is established for simulating the mode II delamination growth behavior at the thermal condition. The effects of the interfacial parameters on the simulations are investigated and a suitable value set for the interfacial parameters is determined. Good agreements between the experimental and numerical load–displacement responses illustrate the applicability of the numerical model. The research results provide helpful guidance for the design of composite laminates and an effective numerical method for the simulation of mode II delamination growth behavior. Full article
(This article belongs to the Special Issue Feature Papers in Materials Simulation and Design)
Show Figures

Figure 1

21 pages, 8537 KB  
Article
A Predefined-Time Control for the Laser Acquisition in Space Gravitational Wave Detection Mission
by Jinxiu Zhang, Peiji Wang, Xiaobin Lian, Lang Lu and Wei Liu
Sensors 2022, 22(18), 7021; https://doi.org/10.3390/s22187021 - 16 Sep 2022
Cited by 6 | Viewed by 2703
Abstract
The establishment of a laser link between satellites, i.e., the acquisition phase, is a key technology for space-based gravitational detection missions, and it becomes extremely complicated when the long distance between satellites, the inherent limits of the sensor accuracy, the narrow laser beam [...] Read more.
The establishment of a laser link between satellites, i.e., the acquisition phase, is a key technology for space-based gravitational detection missions, and it becomes extremely complicated when the long distance between satellites, the inherent limits of the sensor accuracy, the narrow laser beam divergence and the complex space environment are considered. In this paper, we investigate the laser acquisition problem of a new type of satellite equipped with two two-degree-of-freedom telescopes. A predefined-time controller law for the acquisition phase is proposed. Finally, a numerical simulation was conducted to demonstrate the effectiveness of the proposed controller. The results showed that the new strategy has a higher efficiency and the control performance can meet the requirements of the gravitational detection mission. Full article
(This article belongs to the Section Sensors and Robotics)
Show Figures

Figure 1

35 pages, 10385 KB  
Article
Water Seepage in Rocks at Micro-Scale
by Yue Wu, Yan-Zhi Li, Wei-Guo Qiao, Zhen-Wang Fan, Shuai Zhang, Kui Chen and Lei Zhang
Water 2022, 14(18), 2827; https://doi.org/10.3390/w14182827 - 11 Sep 2022
Cited by 3 | Viewed by 2405
Abstract
To complete groundwater diversion, the complex flow law of groundwater in rocks must be investigated so that groundwater diversion can be improved. This research uses the computer finite element method (FEM), CT scanning calculation method, Avizo method, and digital core technology combined with [...] Read more.
To complete groundwater diversion, the complex flow law of groundwater in rocks must be investigated so that groundwater diversion can be improved. This research uses the computer finite element method (FEM), CT scanning calculation method, Avizo method, and digital core technology combined with the Fluent calculation method (FCM) to reconstruct rocks with microscopic pore structures on a computer. The numerical simulation results under different conditions show that: the total pressure change gradually decreases under different pressure gradients. In a seepage channel, the seepage path does not change with the change in seepage pressure, and the seepage velocity is the largest in the center of the pore. The longer the seepage path is, the greater the decrease in seepage velocity. Different seepage directions have similar seepage laws. The research results provide effective guidance for the project to control groundwater. Full article
(This article belongs to the Section Hydraulics and Hydrodynamics)
Show Figures

Figure 1

13 pages, 4533 KB  
Article
Femtosecond Laser-Induced Evolution of Surface Micro-Structure in Depth Direction of Nickel-Based Alloy
by Shangyu Liu, Zhen Zhang, Zenan Yang and Chenchong Wang
Appl. Sci. 2022, 12(17), 8464; https://doi.org/10.3390/app12178464 - 24 Aug 2022
Cited by 10 | Viewed by 2939
Abstract
The surface coating properties of turbine blades are highly dependent on the material’s surface roughness, and the femtosecond laser-induced micro-structure can provide a wide range of roughness with periodicity. However, precise control of femtosecond laser-induced micro-structure is difficult. In this paper, we extend [...] Read more.
The surface coating properties of turbine blades are highly dependent on the material’s surface roughness, and the femtosecond laser-induced micro-structure can provide a wide range of roughness with periodicity. However, precise control of femtosecond laser-induced micro-structure is difficult. In this paper, we extend the application of the two-temperature model and combine it with experiments to accurately reveal the evolution law of micro-structure depth at different single pulse energies, as well as the influence of two processing parameters on micro-structure, namely, defocusing amount and scanning speed. The findings of this study provide reliable theoretical guidance for fast and accurate control of material surface roughness and open new possibilities for coating properties. Full article
(This article belongs to the Special Issue Laser-Based Micro/Nano Manufacturing Technology)
Show Figures

Figure 1

21 pages, 10398 KB  
Article
Study on the Influence of Surface Temperature Field of Aluminum Alloy Etched by Laser Water Jet Composite Machining
by Xuehui Chen, Xin Xu, Wei Liu, Lei Huang, Hao Li, Chao Wu, Weihao Mu and Xiang Li
Materials 2020, 13(14), 3206; https://doi.org/10.3390/ma13143206 - 18 Jul 2020
Cited by 10 | Viewed by 2533
Abstract
This paper studies the compound effect of liquid medium and laser on the workpiece and analyses the law of material surface temperature change during the processing. Taking 7075-T6 aluminum alloy as the research object, the surface temperature field of aluminum alloy processed using [...] Read more.
This paper studies the compound effect of liquid medium and laser on the workpiece and analyses the law of material surface temperature change during the processing. Taking 7075-T6 aluminum alloy as the research object, the surface temperature field of aluminum alloy processed using water-jet-assisted laser machining under different process parameters was simulated using finite element software. In addition, the temperature field of the material surface was detected in real-time using the self-built water-jet-assisted laser machining temperature field detection system, and the processing results were observed and verified using an optical microscope, scanning electron microscope, and energy spectrum analyzer. The results show that when the water jet inflow angle is 45°, the heat-affected area of the material surface is the smallest, and the cooling effect of the temperature field of the material surface is better. Considering the liquidus melting point of 7075 aluminum alloys, it is concluded that the processing effect is better when the water jet velocity is 14 m·s−1, the laser power is 100 W, and the laser scanning speed is 1.2 mm·s−1. At this time, the quality of the tank is relatively good, there are no cracks in the bottom of the tank, and there is less slag accumulation. Compared with anhydrous laser etching, water-jet-assisted laser etching can reduce the problems of micro-cracks, molten slag, and the formation of a recast layer in laser etching and improve the quality of the workpiece, and the composition of the bottom slag does not change. This study provides theoretical guidance and application support for the selection and optimization of process parameters for water-jet-assisted laser etching of aluminum alloy and further enriches the heat transfer mechanism of multi-field coupling in the process of water-jet-assisted laser machining. Full article
Show Figures

Figure 1

Back to TopTop