Sign in to use this feature.

Years

Between: -

Subjects

remove_circle_outline
remove_circle_outline
remove_circle_outline
remove_circle_outline
remove_circle_outline

Journals

Article Types

Countries / Regions

Search Results (6)

Search Parameters:
Keywords = sandwich-insulated concrete blocks

Order results
Result details
Results per page
Select all
Export citation of selected articles as:
19 pages, 2056 KB  
Article
Evaluating the Performance and Efficiency of Sandwich-Insulated Concrete Block Products in the Saudi Market
by Hani Alanazi, Abdullah Alzlfawi and Mohammed Albuaymi
Buildings 2025, 15(22), 4172; https://doi.org/10.3390/buildings15224172 - 19 Nov 2025
Viewed by 834
Abstract
The sandwich-insulated concrete block is one of the innovative building units developed to enhance thermal insulation in buildings. However, there are still some drawbacks that hinder the optimum utilization of these types of insulating blocks. Therefore, this study aims to conduct a systematic [...] Read more.
The sandwich-insulated concrete block is one of the innovative building units developed to enhance thermal insulation in buildings. However, there are still some drawbacks that hinder the optimum utilization of these types of insulating blocks. Therefore, this study aims to conduct a systematic and comparative assessment of the performance of the sandwich-insulated concrete block available in the local market. To accurately assess the efficiency of the insulated concrete blocks, several samples from various sources available in the local market were collected and examined. Visual inspection, dimensional tolerance, compressive strength, physical properties, thermal performance, and environmental resistance tests have been conducted in accordance with local and international standards. The obtained experimental results revealed that the mixture proportion of the concrete shell plays a crucial role in the properties and performance of the whole insulated concrete block. Blocks with volcanic aggregates exhibited lower compressive strength, ranging between 3.19 and 5.26 MPa, but better thermal conductivity with an average of 0.25 W/m·K. In comparison, normal aggregate blocks showed higher compressive strength up to 8.12 MPa but slightly reduced thermal insulation around 0.44 W/m·K. Water absorption varied widely from 5% to 16%, and chloride contents in volcanic aggregates exceeded the permissible 1% limit. Broken edges and cracks were mainly observed in low-strength blocks, emphasizing the importance of proper curing and material selection. Durability assessments revealed that accelerated weathering experiments demonstrated the susceptibility of expanded and extruded polystyrene to UV-induced degradation. Nevertheless, all tested polystyrene samples showed high resistance to fungal attack, with varying antibacterial activity. Full article
(This article belongs to the Special Issue Advances in Green Building and Environmental Comfort)
Show Figures

Figure 1

18 pages, 5330 KB  
Article
Impact of Moisture Migration on Heat Transfer Performance at Vertical Joints of ‘One-Line’ Sandwich Insulation Composite Exterior Walls
by Yingjie Chen, Chenyu Mao, Guoxin Chen and Yating He
Buildings 2025, 15(7), 1084; https://doi.org/10.3390/buildings15071084 - 27 Mar 2025
Cited by 1 | Viewed by 1464
Abstract
Due to moisture migration effects, thermal and moisture bridges tend to form at building joints, thereby increasing the thermal conductivity coefficient of construction materials. To examine the influence of moisture transfer on the thermal performance of ‘one-line’ vertical joint walls, this study establishes [...] Read more.
Due to moisture migration effects, thermal and moisture bridges tend to form at building joints, thereby increasing the thermal conductivity coefficient of construction materials. To examine the influence of moisture transfer on the thermal performance of ‘one-line’ vertical joint walls, this study establishes a thermal–humidity coupling numerical model at the vertical joint of sandwich insulation composite walls. This model is employed to analyze the effects of various joint filling materials (aerated blocks, glass wool, concrete), insulation layer thicknesses, and environmental conditions on the thermal transfer properties of the wall joint. The results indicate that when filled with aerated blocks, the joint is most significantly affected by moisture transfer, exhibiting a heat flow loss rate of 8.08%. In high-temperature environments, the thermal transfer performance at the connection of the composite wall is particularly susceptible to humidity, with heat flow loss rates ranging from 6.17% to 8.74%. Furthermore, an increase in the thickness of the insulation layer leads to a reduction in the “heterogeneity” of the sandwich insulation wall, which reduces the wall’s effects to moisture transfer; however, this is accompanied by a rise in the heat loss rate at the connection. After accounting for the effects of hygrothermal bridging, the mean heat transfer corrected coefficient of the wall in areas with hot summers and cold winters ranges from 1.10 to 1.18 during the summer and from 1.12 to 1.16 during the winter. This finding holds significant relevance for aiding researchers in predicting thermal transfer analysis in scenarios involving wall moisture transfer. Full article
(This article belongs to the Section Building Energy, Physics, Environment, and Systems)
Show Figures

Figure 1

28 pages, 7815 KB  
Article
Design and Characteristics of a Single-Story Building Model Incorporating Waste
by Mohamed Darwish, Mohamed Elnakeb, Marina Moawad, Marwan Mohamed Shawki, Ehab Abdelhamid, Donia Eldwib, Mohamed Nagib Abouzeid, Maram Saudy, Safwan Khedr and Khaled Nassar
Buildings 2025, 15(2), 177; https://doi.org/10.3390/buildings15020177 - 9 Jan 2025
Cited by 2 | Viewed by 2118
Abstract
The construction field is one of the largest sectors and industries worldwide. This industry is the main industry accused of contributing to greenhouse gases and increasing the effects of climate change. However, the construction industry is indispensable, accordingly in an attempt to decrease [...] Read more.
The construction field is one of the largest sectors and industries worldwide. This industry is the main industry accused of contributing to greenhouse gases and increasing the effects of climate change. However, the construction industry is indispensable, accordingly in an attempt to decrease the greenhouse gas effects of construction this research presents the manuscript for building a one-story building with all components including waste products. The building model used a strip foundation with a concrete mix design incorporating recycled concrete as a partial replacement for aggregates, cement hollow blocks containing granite waste instead of conventional cement blocks, and sandwiched insulated panels made of wood-plastic composites for the roof. The structural soundness of the system was tested by loading it with a load surpassing its design load in addition to measuring the deflection and checking its abidance to the code limitations. The thermal efficiency was tested by measuring the temperatures in comparison with the outside of the building for a span of 7 days with data recorded every 1 h. Analysis of both the short-term and long-term costs and carbon emissions was performed by acquiring the carbon emissions per unit of material from literature and multiplying it by the quantities of the materials used within the different building alternatives. That study showed that the roofs made of Structural Insulated Panels (SIPs) using Wood-Plastic Composite (WPC) facings when used with hollow-block cement block walls have shown enduring cost efficiency and improved thermal insulation, leading to diminished energy usage, life-cycle expenses, and carbon emissions. Furthermore, the proposed system is more environmentally friendly than conventional reinforced concrete technologies due to their lower costs and emissions in addition to improving sustainability through utilizing recycled materials. Full article
(This article belongs to the Section Building Structures)
Show Figures

Figure 1

22 pages, 5971 KB  
Article
Life Cycle Carbon Emission Analysis of Buildings with Different Exterior Wall Types Based on BIM Technology
by Yuelong Lyu, Nikita Igorevich Fomin, Shuailong Li, Wentao Hu, Shuoting Xiao, Yue Huang and Chong Liu
Buildings 2025, 15(1), 138; https://doi.org/10.3390/buildings15010138 - 5 Jan 2025
Cited by 6 | Viewed by 3300
Abstract
Building energy conservation and emission reduction are crucial in addressing global climate change. High-performance insulated building envelopes can significantly reduce energy consumption over a building’s lifecycle. However, few studies have systematically analyzed carbon reduction potential through a life cycle assessment (LCA), incorporating case [...] Read more.
Building energy conservation and emission reduction are crucial in addressing global climate change. High-performance insulated building envelopes can significantly reduce energy consumption over a building’s lifecycle. However, few studies have systematically analyzed carbon reduction potential through a life cycle assessment (LCA), incorporating case studies and regional differences. To address this, this study establishes an LCA carbon emission calculation model using Building Information Modeling (BIM) technology and the carbon emission coefficient method. We examined four residential buildings in China’s cold regions and hot summer–cold winter regions, utilizing prefabricated concrete sandwich insulation exterior walls (PCSB) and autoclaved aerated concrete block self-insulating exterior walls (AACB). Results indicate that emissions during the operational phase account for 75% of total lifecycle emissions, with heating, ventilation, and air conditioning systems contributing over 50%. Compared to AACB, PCSB reduces lifecycle carbon emissions by 18.54% and by 20.02% in hot summer–cold winter regions. The findings demonstrate that PCSB offers significant energy-saving and emission-reduction benefits during the construction and operation phases. However, it exhibits higher energy consumption during the materialization and demolition phases. This study provides a practical LCA carbon calculation framework that offers insights into reducing lifecycle carbon emissions, thereby guiding sustainable building design. Full article
(This article belongs to the Section Building Energy, Physics, Environment, and Systems)
Show Figures

Figure 1

11 pages, 2530 KB  
Article
Energy Performance Assessment of Waste Materials for Buildings in Extreme Cold and Hot Conditions
by Yasir Rashid, Fadi Alnaimat and Bobby Mathew
Energies 2018, 11(11), 3131; https://doi.org/10.3390/en11113131 - 13 Nov 2018
Cited by 15 | Viewed by 2903
Abstract
In this article, thermal performance of different waste materials and by-products of industrial processes is investigated experimentally. A geopolymer concrete block with 7.5 cm thickness and cross-sectional area of 5 × 5 cm was considered as a reference model to measure heat transmission [...] Read more.
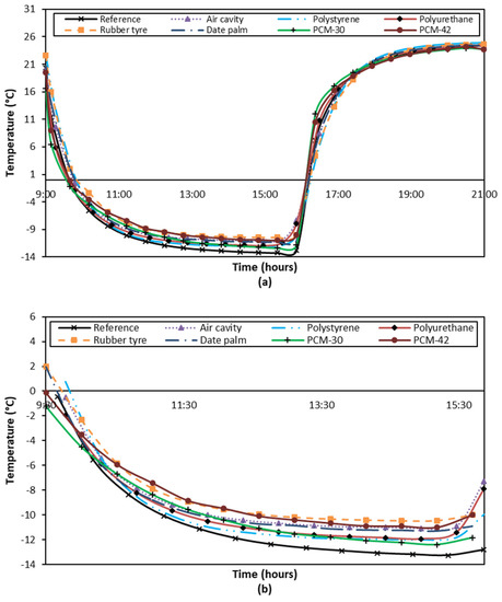
In this article, thermal performance of different waste materials and by-products of industrial processes is investigated experimentally. A geopolymer concrete block with 7.5 cm thickness and cross-sectional area of 5 × 5 cm was considered as a reference model to measure heat transmission across the two opposite surfaces while all four remnant surfaces were perfectly insulated. For all other samples, a sandwich concrete block was developed by taking two pieces of the geopolymer concrete with 2.5 cm thickness each on either side and insulation material of 2.5 cm thickness in between. The sandwich materials investigated were air cavity, expanded polystyrene foam, polyurethane foam, rubber tire, date palm, PCM-30, and PCM-42. Experimental investigations revealed that the investigated green materials and industrial by-products have comparable insulation performance with respect to the traditional insulations such as expanded polystyrene foam. It is found that polyurethane foam and date palm can reduce indoor cooling demand by 46.6% each in hot conditions while rubber tire can reduce indoor heating demand by 59.2% in cold climatic conditions at the maximum. The research results confirm and encourage the effective utilization of waste materials in building walls for reducing indoor air-conditioning demand in the extreme climatic conditions. Full article
Show Figures

Figure 1

15 pages, 5423 KB  
Article
Tests and Analysis of the Compressive Performance of an Integrated Masonry Structure of a Brick-Stem-Insulating Layer
by Suizi Jia, Yan Liu, Wanlin Cao, Zhongyi Zhou and Yuchen Zhang
Appl. Sci. 2016, 6(5), 146; https://doi.org/10.3390/app6050146 - 11 May 2016
Cited by 3 | Viewed by 5118
Abstract
This paper proposes, for low buildings, an integrated wall structure of a brick-stem-insulating layer, which plays a major part in both heat preservation and force bearing. The research team has tested the thermal performance of the structure, the results of which are satisfying. [...] Read more.
This paper proposes, for low buildings, an integrated wall structure of a brick-stem-insulating layer, which plays a major part in both heat preservation and force bearing. The research team has tested the thermal performance of the structure, the results of which are satisfying. To further study the force-bearing performance, the paper carries out compressive tests of specimens of different structural design, with two types of bricks, i.e., clay and recycled concrete bricks; three types of stems, i.e., square-shaped wood, square-shaped steel pipe and circular steel pipe; and one type of insulating layer, i.e., fly ash masonry blocks. Afterward, the force bearing performance, damage that occurred, compressive deformation and ductility of all of the specimens are compared. On the sideline, the structure is applied in the construction of a pilot residence project, yielding favorable outcomes. The results indicate that in comparison with a brick wall with an insulating layer sandwiched in between, the integrated wall structure of bricks and fly ash blocks is a more preferable choice in terms of compressive performance and ductility. The integrated wall structure of brick-stem-fly ash blocks delivers much better performance to this end. Note that regarding the stem’s contribution to compressive strength, circular steel pipe is highest, followed by square-shaped steel pipe and then square-shaped wood. The compressive performance of the sandwiched blocks surpasses that of the two brick wall pieces combined by a large margin. Full article
Show Figures

Figure 1

Back to TopTop