Sign in to use this feature.

Years

Between: -

Subjects

remove_circle_outline
remove_circle_outline
remove_circle_outline
remove_circle_outline
remove_circle_outline

Journals

remove_circle_outline
remove_circle_outline

Article Types

Countries / Regions

Search Results (2)

Search Parameters:
Keywords = rotational fixity factor

Order results
Result details
Results per page
Select all
Export citation of selected articles as:
33 pages, 11531 KB  
Article
Bending Analysis of Rectangular Thick Plates with Partially Clamped Edges Based on Reissner Theory
by Biljana Mladenović, Stepa Paunović, Andrija Zorić, Žarko Petrović and Bojan Milošević
Appl. Mech. 2026, 7(2), 31; https://doi.org/10.3390/applmech7020031 - 6 Apr 2026
Viewed by 168
Abstract
In structural engineering practice, the problem of thick plate bending occurs in designing shelters, foundations of high-rise buildings, counter-slabs, etc. In such cases, neglecting shear deformation can lead to significant errors in predicted behavior, especially when a plate is subjected to a concentrated [...] Read more.
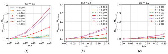
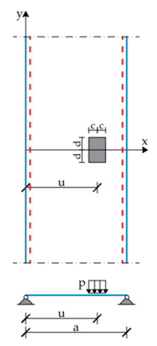
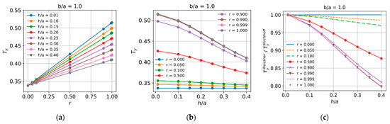
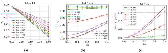
In structural engineering practice, the problem of thick plate bending occurs in designing shelters, foundations of high-rise buildings, counter-slabs, etc. In such cases, neglecting shear deformation can lead to significant errors in predicted behavior, especially when a plate is subjected to a concentrated force. In practice, neither a fully clamped nor an ideal simple support can be achieved during construction, so the plates are partially clamped, and this also applies to thick plates. Bending of thick rectangular plates with partially clamped edges has not been studied in the literature, so this paper addresses this issue. A comprehensive numerical analysis using a developed simple analytical model in the form of a Lévy-type solution based on Reissner theory has been carried out. The presented model is able to account for different degrees of rotational restraint in plates with two opposite edges simply supported and the other two partially clamped by introducing the fixity factor. The obtained results are compared with those available in the literature, as well as with a numerical FEM model, whereby good agreement is observed. The significant difference when using the proposed model to analyze a thick plate, as opposed to the models based on Kirchhoff theory, is underlined. Full article
Show Figures

Figure 1

13 pages, 1515 KB  
Article
Free Transverse Vibration of Rectangular Orthotropic Plates with Two Opposite Edges Rotationally Restrained and Remaining Others Free
by Yuan Zhang and Sigong Zhang
Appl. Sci. 2019, 9(1), 22; https://doi.org/10.3390/app9010022 - 21 Dec 2018
Cited by 9 | Viewed by 3315
Abstract
Many types of engineering structures can be effectively modelled as orthotropic plates with opposite free edges such as bridge decks. The other two edges, however, are usually treated as simply supported or fully clamped in current design practice, although the practical boundary conditions [...] Read more.
Many types of engineering structures can be effectively modelled as orthotropic plates with opposite free edges such as bridge decks. The other two edges, however, are usually treated as simply supported or fully clamped in current design practice, although the practical boundary conditions are intermediate between these two limiting cases. Frequent applications of orthotropic plates in structures have generated the need for a better understanding of the dynamic behaviour of orthotropic plates with non-classical boundary conditions. In the present study, the transverse vibration of rectangular orthotropic plates with two opposite edges rotationally restrained with the remaining others free was studied by applying the method of finite integral transforms. A new alternative formulation was developed for vibration analysis, which provides much easier solutions. Exact series solutions were derived, and the excellent accuracy and efficiency of the method are demonstrated through considerable numerical studies and comparisons with existing results. Some new results have been presented. In addition, the effect of different degrees of rotational restraints on the mode shapes was also demonstrated. The present analytical method is straightforward and systematic, and the derived characteristic equation for eigenvalues can be easily adapted for broad applications. Full article
(This article belongs to the Section Acoustics and Vibrations)
Show Figures

Figure 1

Back to TopTop