Sign in to use this feature.

Years

Between: -

Subjects

remove_circle_outline
remove_circle_outline
remove_circle_outline
remove_circle_outline
remove_circle_outline
remove_circle_outline
remove_circle_outline
remove_circle_outline
remove_circle_outline

Journals

remove_circle_outline
remove_circle_outline
remove_circle_outline
remove_circle_outline
remove_circle_outline

Article Types

Countries / Regions

remove_circle_outline
remove_circle_outline
remove_circle_outline
remove_circle_outline
remove_circle_outline
remove_circle_outline

Search Results (653)

Search Parameters:
Keywords = rapid faults

Order results
Result details
Results per page
Select all
Export citation of selected articles as:
22 pages, 6092 KB  
Review
Development Status and Prospects of Centrifugal Pump Cavitation: A Bibliometric Analysis Using CiteSpace
by Xiaojuan Yin, Xiaomei Guo, Ping Li, Renyong Lin, Bohua Feng and Vladimir Kukareko
Water 2026, 18(6), 668; https://doi.org/10.3390/w18060668 - 12 Mar 2026
Viewed by 121
Abstract
This study employs CiteSpace 6.3 R1 software to conduct a quantitative analysis of 645 cavitation-related centrifugal pump publications from the Web of Science Core Collection database (2007–2025) using bibliometric methods. The analysis encompasses publication volume statistics, keyword co-occurrence analysis, and keyword clustering. The [...] Read more.
This study employs CiteSpace 6.3 R1 software to conduct a quantitative analysis of 645 cavitation-related centrifugal pump publications from the Web of Science Core Collection database (2007–2025) using bibliometric methods. The analysis encompasses publication volume statistics, keyword co-occurrence analysis, and keyword clustering. The results indicate that research on centrifugal pump cavitation is currently in a phase of rapid development. The annual number of publications related to centrifugal pump cavitation shows an overall fluctuating upward trend, with Jiangsu University emerging as the leading research institution. The research hotspots include fault diagnosis, impeller design, numerical simulation, and validation, forming four major developmental pathways. Research on cavitation in centrifugal pumps has gradually shifted its focus from numerical simulation to practical engineering issues such as pressure pulsation and cavitation, with hot topics evolving at an accelerated pace. Future efforts must address challenges like cavitation monitoring and high-precision simulation to comprehensively enhance the anti-cavitation performance and operational reliability of centrifugal pumps. Full article
(This article belongs to the Special Issue Advanced Numerical Approaches for Multiphase and Cavitating Flows)
Show Figures

Figure 1

43 pages, 2166 KB  
Article
Research on Root Cause Analysis Method for Certain Civil Aircraft Based on Ensemble Learning and Large Language Model Reasoning
by Wenyou Du, Jingtao Du, Haoran Zhang and Dongsheng Yang
Machines 2026, 14(3), 322; https://doi.org/10.3390/machines14030322 - 12 Mar 2026
Viewed by 143
Abstract
To address the challenges commonly encountered in civil aircraft operating under multi-mode, strongly coupled closed-loop control—namely scarce fault samples, pronounced distribution shift, and root-cause explanations that are easily confounded by covariates—this paper proposes a root-cause analysis method that integrates ensemble learning with constraint-guided [...] Read more.
To address the challenges commonly encountered in civil aircraft operating under multi-mode, strongly coupled closed-loop control—namely scarce fault samples, pronounced distribution shift, and root-cause explanations that are easily confounded by covariates—this paper proposes a root-cause analysis method that integrates ensemble learning with constraint-guided reasoning by large language models (LLMs). First, for Full Authority Digital Engine Control (FADEC) monitoring sequences, a feature system comprising environment-normalized ratios, mechanism-informed mixing indices, and multi-scale temporal statistics is constructed, thereby improving cross-mode comparability and enhancing engineering-semantic expressiveness. Second, in the anomaly detection stage, a cost-sensitive LightGBM model is adopted and a validation-set-based adaptive thresholding strategy is introduced to achieve robust identification under highly imbalanced fault conditions. Furthermore, for Root Cause Analysis (RCA), a “computation–reasoning decoupling” framework is developed: Shapley Additive exPlanations (SHAP) are used to generate segment-level contribution evidence, while causal chains, engineering prohibitions, and structured output templates are injected into prompts to constrain the LLM, enabling it to infer root-cause candidates and produce structured explanations under mechanism-consistency constraints. Experiments on real flight data demonstrate that our method yields an anomaly detection F1-score of 0.9577 and improves overall RCA accuracy to 97.1% (versus 62.3% for a pure SHAP baseline). Practically, by translating complex high-dimensional data into actionable natural language diagnostic reports, the proposed method provides reliable and interpretable decision support for rapid RCA. Full article
(This article belongs to the Section Automation and Control Systems)
Show Figures

Figure 1

45 pages, 9532 KB  
Review
Advances, Challenges, and Recommendations for Non-Destructive Testing Technologies for Wind Turbine Blade Damage: A Review of the Literature from the Past Decade
by Guodong Qin, Yongchang Jin, Lizheng Qiao and Zhenyu Wu
Sensors 2026, 26(6), 1773; https://doi.org/10.3390/s26061773 - 11 Mar 2026
Viewed by 146
Abstract
As critical components of wind energy systems, the structural integrity of wind turbine blades is directly tied to the operational safety and economic performance of wind turbines. With blade designs trending toward larger and more flexible structures and operating environments becoming increasingly harsh, [...] Read more.
As critical components of wind energy systems, the structural integrity of wind turbine blades is directly tied to the operational safety and economic performance of wind turbines. With blade designs trending toward larger and more flexible structures and operating environments becoming increasingly harsh, maintenance strategies must urgently shift from reactive approaches to predictive maintenance paradigms. From an engineering application perspective, this study conducts a systematic and critical review of non-destructive testing (NDT) and structural health monitoring (SHM) technologies for wind turbine blades. Drawing on the literature published over the past decade, we examine the field applicability, limitations, and engineering challenges of core NDT techniques—including vision-based methods, acoustic approaches, vibration analysis, ultrasound, and infrared thermography. Particular emphasis is placed on the integration of data-driven approaches with engineering practice, evaluating the role of machine learning in fault classification and anomaly diagnosis, as well as the contributions of deep learning to automated defect detection in image and signal data. Moreover, this paper critically discusses the growing use of robotic inspection platforms, such as unmanned aerial vehicles and climbing robots, as multi-sensor carriers enabling rapid and comprehensive blade assessment. By comparatively analyzing detection performance, cost, and automation levels across technologies, we identify key engineering barriers, including environmental noise robustness, signal attenuation within complex blade structures, and the persistent gap between laboratory methods and field deployment. Finally, we outline forward-looking research directions, encompassing multi-modal sensor fusion, edge computing for real-time diagnostics, and the development of standardized SHM systems aimed at supporting full lifecycle blade management. Full article
(This article belongs to the Section Fault Diagnosis & Sensors)
Show Figures

Figure 1

28 pages, 2067 KB  
Article
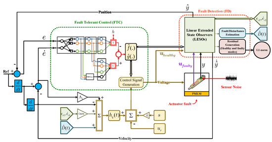
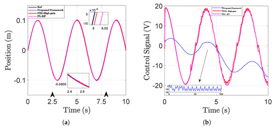
Fault Detection and Fault-Tolerant Control of Permanent Magnet Linear Motors Using an Emotional Learning-Based Neural Network and a Linear Extended State Observer
by Alireza Nezamzadeh, Mohammadreza Esmaeilidehkordi, Hamed Habibi, Amirmehdi Yazdani, Hai Wang and Afef Fekih
Energies 2026, 19(6), 1413; https://doi.org/10.3390/en19061413 - 11 Mar 2026
Viewed by 163
Abstract
This paper presents a unified framework for reliable motion control of permanent magnet linear motors (PMLMs) by integrating fault detection (FD) and fault-tolerant control (FTC). The framework combines a brain emotional learning-based intelligent controller (BELBIC) with a linear extended state observer (LESO) to [...] Read more.
This paper presents a unified framework for reliable motion control of permanent magnet linear motors (PMLMs) by integrating fault detection (FD) and fault-tolerant control (FTC). The framework combines a brain emotional learning-based intelligent controller (BELBIC) with a linear extended state observer (LESO) to enable rapid detection and mitigation of abrupt and incipient faults, as well as disturbances and sensor noise that degrade tracking accuracy and system reliability. The LESO is employed to estimate unknown dynamics and lumped disturbances and to generate residuals for reliable fault detection, while BELBIC provides adaptive and robust control actions without requiring prior knowledge of system parameters or explicit fault models. Extensive simulation studies under actuator faults, system dynamics faults, external disturbances, and measurement noise are conducted. Comparative evaluations with benchmark approaches demonstrate improved fault detection speed, tracking accuracy, and robustness of the proposed framework, highlighting its potential for enhancing reliability and operational continuity in high-precision industrial applications. Full article
Show Figures

Figure 1

21 pages, 8695 KB  
Article
Investigation on the Use of Screw Pile Technology for Rapid Installation of Post-Earthquake Prefabricated House Buildings
by Talha Sarici, Alper Özmen and Mustafa Özcan
Appl. Sci. 2026, 16(6), 2657; https://doi.org/10.3390/app16062657 - 11 Mar 2026
Viewed by 90
Abstract
Turkey, located on one of the world’s most active fault lines, frequently experiences major earthquakes. The 2023 Kahramanmaraş earthquakes (Mw 7.6 and 7.7) caused significant destruction and housing shortages. Post-disaster shelters are often provided using containers, which require flat and solid ground. This [...] Read more.
Turkey, located on one of the world’s most active fault lines, frequently experiences major earthquakes. The 2023 Kahramanmaraş earthquakes (Mw 7.6 and 7.7) caused significant destruction and housing shortages. Post-disaster shelters are often provided using containers, which require flat and solid ground. This typically involves pouring concrete foundations, but high demand for materials and labor hinders rapid installation. This study investigates screw piles as an alternative foundation system for container settlements. Screw piles can eliminate the need for concrete, offering a faster, cost-effective, and environmentally friendly solution. Finite element analyses using Abaqus were conducted to assess the structural behavior of container foundations with screw piles under real earthquake records. Additionally, a decision-making analysis based on the Analytic Hierarchy Process compares screw piles and concrete foundations in terms of cost, time, sustainability, and safety. Results show that screw piles reduce structural responses and are a more feasible post-disaster foundation solution. Full article
Show Figures

Figure 1

15 pages, 3567 KB  
Article
Intelligent Prediction Method for Pipeline Structural Health State Under Fault Movement
by Ning Shi, Tianwei Kong, Kaifang Hou, Wancheng Ding, Jie Jia and Hong Zhang
Processes 2026, 14(5), 872; https://doi.org/10.3390/pr14050872 - 9 Mar 2026
Viewed by 175
Abstract
The rapid development of the oil and gas industry has led to increasingly severe challenges for buried pipelines when crossing complex geological environments. Especially in fault zones induced by seismic action, the pipe–soil interaction mechanism and the rapid judgment of pipeline mechanical response [...] Read more.
The rapid development of the oil and gas industry has led to increasingly severe challenges for buried pipelines when crossing complex geological environments. Especially in fault zones induced by seismic action, the pipe–soil interaction mechanism and the rapid judgment of pipeline mechanical response urgently require in-depth research. This study conducted pipe–soil interaction tests on pipeline uplift under seismic-frequency loading, and for the first time, proposed a modified soil-spring method suitable for typical soft clay under seismic wave frequencies of 1–5 Hz. Through numerical simulation, the axial strain response of pipelines under normal fault movement was systematically analyzed. Considering comprehensively various variables such as fault dip angle, seismic wave frequency, internal pipeline pressure and wall thickness variation, this study extracted the maximum and minimum strain characteristics of the pipe top and pipe bottom, established a diversified intelligent prediction system for fault geological hazards, constructed the optimal machine learning model matching the type of normal fault geological hazards, and realized full-process intelligent modeling from model selection to parameter optimization. The research results can provide technical support for the seismic design and safety status prediction of pipelines under normal faulting conditions. Full article
Show Figures

Figure 1

41 pages, 5011 KB  
Review
Recent Techniques Used for Anomaly Detection in the Automotive Sector: A Comprehensive Survey
by Cihangir Derse, Sajib Chakraborty and Omar Hegazy
Appl. Sci. 2026, 16(5), 2584; https://doi.org/10.3390/app16052584 - 8 Mar 2026
Viewed by 188
Abstract
The rapid digital transformation of industrial systems in the 21st century has led to an exponential growth in data generated by manufacturing processes and end-user products, particularly in the automotive sector. While this big data creates new opportunities for monitoring and diagnostics, it [...] Read more.
The rapid digital transformation of industrial systems in the 21st century has led to an exponential growth in data generated by manufacturing processes and end-user products, particularly in the automotive sector. While this big data creates new opportunities for monitoring and diagnostics, it also introduces significant challenges related to system complexity, scalability, and nonlinearity, as well as the increasing shortage of experienced domain experts. These challenges motivate the adoption of intelligent, automated fault and anomaly detection techniques capable of operating reliably under real-world conditions. The primary objective of this paper is to provide a comprehensive and structured review of the anomaly detection methodologies for automotive applications, with particular emphasis on intelligent fault diagnosis, tolerance, and monitoring architectures. To this end, the paper systematically categorizes existing approaches, including model-based, data-driven, and hybrid techniques, and analyzes their underlying principles, data requirements, computational complexity, and applicability to safety-critical systems. Based on this analysis, the paper highlights current limitations, open research challenges, and emerging trends, including the integration of machine learning and artificial intelligence with domain knowledge and control-oriented frameworks. The main contribution of this work is a unified perspective that supports researchers and practitioners in selecting, designing, and deploying effective anomaly detection solutions for next-generation automotive and cyber-physical systems. Full article
Show Figures

Figure 1

20 pages, 8496 KB  
Article
The Formation, Preservation, and Exhumation History of the Xincheng Gold Deposit, Jiaodong Peninsula: Constraints from Integrated Thermochronological Dating
by Qing Zhang, Chen-Xi Li, Xiao Li, Wei Yang, Long-Xiao Zhang, Xiao-Meng Wang, Chao-Fan Yao, Chang-Hao Tong and Yu-Ji Wei
Minerals 2026, 16(3), 281; https://doi.org/10.3390/min16030281 - 8 Mar 2026
Viewed by 224
Abstract
The Jiaodong Peninsula hosts one of the largest gold provinces in the world. The Xincheng gold deposit, located within the Jiaojia gold metallogenic belt, is the largest deposit in this belt and represents a super-large fractured alteration-type gold deposit hosted in fracture zones [...] Read more.
The Jiaodong Peninsula hosts one of the largest gold provinces in the world. The Xincheng gold deposit, located within the Jiaojia gold metallogenic belt, is the largest deposit in this belt and represents a super-large fractured alteration-type gold deposit hosted in fracture zones with relatively well-preserved conditions. Mineralization and hydrothermal alteration are controlled by the Jiaojia Fault zone and its subsidiary faults. The Jiaojia Fault (JJF) serves as the principal ore-hosting structure of the Xincheng deposit, and its multi-stage activity has governed the mineralization, subsequent modification, and preservation of the deposit. However, the post-mineralization cooling, uplift, and exhumation history of the deposit remains poorly constrained. In this study, zircon and apatite fission-track thermochronology analyses were conducted, and inverse thermal history modeling of apatite was performed to reconstruct the tectonic-metallogenic evolution of the Xincheng gold deposit. The zircon fission-track ages range from 90.0 ± 4.0 to 118.0 ± 5.2 Ma, which are younger than the mineralization age (~120 Ma), indicating that the region experienced widespread cooling during the Late Early Cretaceous. This cooling event was likely related to crustal uplift and exhumation triggered by a transformation of the tectonic regime. The apatite fission-track ages range from 15 ± 1.8 to 38 ± 2.7 Ma, recording the Cenozoic cooling and uplift history after mineralization. The inverse thermal history modeling results show that the post-mineralization cooling process can be divided into three stages. The first stage, from 42 ± 5 to 30 ± 4 Ma, is characterized by rapid cooling, with an average cooling rate of 4.23 °C/Myr. The second stage, from 30 ± 4 to 12 Ma, represents a period of slow cooling, with an average cooling rate of 0.98 °C/Myr. Since 12 Ma, the third stage has been marked by renewed rapid cooling, with an average cooling rate of 4.17 °C/Myr. Variations in cooling rates among different stages reflect adjustments in the regional tectonic stress field and the influence of activity along the JJF. Based on the fission track thermochronological data and a reasonable estimate of the geothermal gradient, the total amount of exhumation since 120 Ma is calculated to be approximately 8.22 km. Integration of these results indicates that the shallow portion of the deposit has undergone a certain degree of erosion; however, the overall preservation conditions remain favorable, and significant exploration potential persists at depth and along strike. This study constrains the post-mineralization cooling and erosion history of the Xincheng gold deposit, reveals the controlling role of multi-stage tectonic activity on deposit preservation, and provides new temporal constraints and a scientific basis for preservation assessment and deep exploration of gold deposits in the Jiaodong Peninsula and in regions with similar tectonic settings. Full article
(This article belongs to the Section Mineral Deposits)
Show Figures

Figure 1

31 pages, 5209 KB  
Review
AI-Driven Fault Detection and O&M for Wind Turbine Drivetrains: A Review of SCADA, CMS and Digital Twin Integration
by Ning Jia, Jiangzhe Feng, Zongyou Zuo, Zhiyi Liu, Tengyuan Wang, Chang Cai and Qingan Li
Energies 2026, 19(5), 1370; https://doi.org/10.3390/en19051370 - 7 Mar 2026
Viewed by 244
Abstract
The rapid expansion of wind energy has increased the operational complexity of wind turbines, where component degradation, environmental variability, and maintenance decisions are tightly coupled. Artificial intelligence (AI) has been widely applied to support fault detection and operation and maintenance (O&M), yet many [...] Read more.
The rapid expansion of wind energy has increased the operational complexity of wind turbines, where component degradation, environmental variability, and maintenance decisions are tightly coupled. Artificial intelligence (AI) has been widely applied to support fault detection and operation and maintenance (O&M), yet many existing studies remain fragmented and insufficiently address practical challenges such as heterogeneous data, sparse fault labels, and cross-site generalization. This review provides an engineering-oriented synthesis of AI-based methods for wind turbine fault detection and O&M, focusing on drivetrain diagnostics as a representative application. The literature is organized along an end-to-end O&M workflow, including SCADA-based condition monitoring, component-level fault diagnosis, health assessment and remaining useful life estimation, multi-modal blade inspection, and DT (Digital Twin) integration. Traditional ML (machine learning), ensemble methods, deep learning, physics-informed learning, and transfer learning are reviewed with respect to their data requirements, operational assumptions, and deployment constraints. Beyond algorithmic performance, this review discusses data governance, alarm design, model updating, and interpretability, and summarizes public datasets and emerging data resources. The aim is to bridge methodological advances and practical O&M requirements, supporting reliable and deployable AI applications in wind energy systems. Full article
(This article belongs to the Section A3: Wind, Wave and Tidal Energy)
Show Figures

Figure 1

24 pages, 1717 KB  
Systematic Review
Large Language and Foundation Models for Machinery Health Monitoring: A Systematic Review
by Christos Tsallis, Panagiotis Papageorgas, Radu Adrian Munteanu and Sofiene Dellagi
Appl. Sci. 2026, 16(5), 2493; https://doi.org/10.3390/app16052493 - 5 Mar 2026
Viewed by 287
Abstract
The rapid adoption of large language models (LLMs) and foundation models is reshaping machinery health monitoring. This shift moves the field beyond task-specific deep learning (DL) toward more generalist and multimodal intelligence. Addressing this transition’s fragmented methodology, this systematic review uniquely shifts the [...] Read more.
The rapid adoption of large language models (LLMs) and foundation models is reshaping machinery health monitoring. This shift moves the field beyond task-specific deep learning (DL) toward more generalist and multimodal intelligence. Addressing this transition’s fragmented methodology, this systematic review uniquely shifts the focus from purely algorithmic performance to practical industrial deployment. It achieves this by mapping the evolution of text-centric LLMs into autonomous, cyber-physical industrial agents. Following the preferred reporting items for systematic reviews and meta-analyses (PRISMA) 2020 guidelines, an analysis of 58 Scopus studies published between 2022 and early 2026 was conducted to answer six core research questions (RQs). The synthesized literature demonstrates striking quantitative gains. Multimodal foundation models improve out-of-distribution accuracy to 71.95%, up from 18.25% in conventional models. Furthermore, they achieve approximately 98% fault diagnosis accuracy using merely 1.2% labeled samples. To ensure reliability, integrating retrieval-augmented generation (RAG) and knowledge graphs (KGs) mitigates hallucinations. Meanwhile, autonomous agentic architectures within digital twins (DTs) reduce false positive alarms by up to 67%. Despite generative artificial intelligence (GenAI) tackling data scarcity via synthetic data generation, challenges remain regarding real-time determinism, corpus poisoning, and edge deployment. Ultimately, real-world adoption demands targeted physics-AI hybridization and hardware-embedded DTs over generic compression. Full article
(This article belongs to the Special Issue AI-Based Machinery Health Monitoring)
Show Figures

Figure 1

30 pages, 4600 KB  
Article
Fault-Resilient Flat-Top Current Control for Large-Scale Electromagnetic Forming Using Staged-DQN
by Manli Huang, Xiaokang Sun, Jiqiang Wang, Jiajie Chen and Feifan Yu
Appl. Sci. 2026, 16(5), 2478; https://doi.org/10.3390/app16052478 - 4 Mar 2026
Viewed by 172
Abstract
Quasi-Static Electromagnetic Forming (QSEF) technology utilizes stable magnetic fields generated by long-pulse flat-top currents to achieve non-contact, high-precision forming of large-scale integral aerospace components. To meet the immense energy demands of large-scale component forming, the drive system requires instantaneous power output capabilities at [...] Read more.
Quasi-Static Electromagnetic Forming (QSEF) technology utilizes stable magnetic fields generated by long-pulse flat-top currents to achieve non-contact, high-precision forming of large-scale integral aerospace components. To meet the immense energy demands of large-scale component forming, the drive system requires instantaneous power output capabilities at the Gigawatt level. Consequently, the precise regulation of ultra-high flat-top current waveforms becomes a critical challenge for ensuring forming quality. However, traditional meta-heuristic methods, such as Genetic Algorithms (GAs) and Particle Swarm Optimization (PSO), exhibit limited adaptability and robustness when addressing strong geometric nonlinearities induced by workpiece deformation and the performance degradation of pulsed power modules. To address engineering challenges such as capacitor degradation, inductance drift, and module failures, this paper proposes a Staged Deep Reinforcement Learning (Staged-DQN) adaptive current control framework. This framework decouples the discharge scheduling into “heuristic rapid rise” and “DQN fine compensation” stages, adaptively optimizing triggering timing to suppress plateau oscillations and compensate for energy deficits caused by faults. Simulation results demonstrate that under typical high-energy operating conditions, the proposed method achieves superior tracking accuracy compared to traditional PSO in fault-free scenarios. In extreme scenarios involving 25 faulty modules, the Mean Absolute Percentage Error (MAPE) is maintained between 1.13% and 1.80%, significantly lower than the 2.65–3.52% of the baseline DQN. This study validates the effectiveness of the proposed method in enhancing waveform quality and system fault tolerance, offering a reliable intelligent control solution for large-scale electromagnetic manufacturing equipment. Full article
Show Figures

Figure 1

18 pages, 2162 KB  
Article
Blockchain-Enabled Decentralized End Hopping for Proactive Network Defense
by Shenghan Luo, Fangxiao Li, Leyi Shi and Dawei Zhao
Telecom 2026, 7(2), 28; https://doi.org/10.3390/telecom7020028 - 4 Mar 2026
Viewed by 269
Abstract
As network attack methods continue to evolve, flooding attacks remain a major threat that causes network paralysis and service disruption. Statically configured systems are particularly vulnerable, as attackers can exploit reconnaissance information to launch large-scale attacks, while conventional defense mechanisms often fail under [...] Read more.
As network attack methods continue to evolve, flooding attacks remain a major threat that causes network paralysis and service disruption. Statically configured systems are particularly vulnerable, as attackers can exploit reconnaissance information to launch large-scale attacks, while conventional defense mechanisms often fail under high-intensity traffic. To address this problem, this paper introduces Moving Target Defense (MTD) within a decentralized framework and proposes a blockchain-based decentralized End Hopping system. The system employs the Practical Byzantine Fault Tolerance (PBFT) consensus protocol for dynamic controller election and incorporates a disaster recovery mechanism, which eliminates single points of failure while ensuring reliable controller transitions and rapid service restoration. Experimental results demonstrate that the proposed system achieves satisfactory performance in terms of availability, effectiveness, and security, providing a practical approach to constructing robust proactive defense networks. Full article
Show Figures

Figure 1

34 pages, 3542 KB  
Review
Thermal Runaway in Lithium-Ion Batteries: A Review of Mechanisms, Prediction Approaches, and Mitigation Strategies
by Zeyu Chen, Jiakai Zhang, Chengxin Liu, Chengyan Yang and Shuxian Chen
Batteries 2026, 12(3), 88; https://doi.org/10.3390/batteries12030088 - 3 Mar 2026
Viewed by 787
Abstract
Thermal runaway is one of the most critical safety challenges limiting the widespread deployment of lithium-ion batteries in electric vehicles, energy storage systems, and aerospace applications. With the continuous increase in battery energy density, the fault-to-failure transition becomes increasingly rapid, which makes early [...] Read more.
Thermal runaway is one of the most critical safety challenges limiting the widespread deployment of lithium-ion batteries in electric vehicles, energy storage systems, and aerospace applications. With the continuous increase in battery energy density, the fault-to-failure transition becomes increasingly rapid, which makes early detection and effective intervention quite difficult. This review systematically summarizes the fundamental mechanisms underlying thermal runaway that drive the escalation of battery hazards. Existing thermal runaway prediction and early warning approaches are comprehensively classified into electrical, thermal, mechanical/gas, and data-driven categories. The detection principles, performance characteristics, and current limitations are critically analyzed. Furthermore, research progress in mitigation and suppression, including system-level thermal management, material-level approach, and structure modification, is discussed. This work aims to support the development of advanced early-warning technologies and to provide guidance for the design of safer next-generation lithium-ion battery systems. Full article
(This article belongs to the Topic Battery Design and Management, 2nd Edition)
Show Figures

Figure 1

22 pages, 19137 KB  
Review
Submarine Cable Systems: A Review of Installation, Monitoring, and Maintenance Processes and Technologies
by Dinghua Zhang, Yuanyuan Guo, Qingqing Yuan, Zirong Ni, Hongyang Xu, Xiao Liu and Huabin Qiu
Processes 2026, 14(5), 821; https://doi.org/10.3390/pr14050821 - 2 Mar 2026
Viewed by 686
Abstract
Submarine cable systems are essential for intercontinental connectivity and the integration of offshore renewable energy into onshore grids. The reliability of these systems depends on a well-coordinated life cycle process that integrates installation, monitoring, and maintenance technologies. This review synthesizes the key components [...] Read more.
Submarine cable systems are essential for intercontinental connectivity and the integration of offshore renewable energy into onshore grids. The reliability of these systems depends on a well-coordinated life cycle process that integrates installation, monitoring, and maintenance technologies. This review synthesizes the key components of submarine communication and power cables, highlighting the processes involved in route survey, cable laying, and burial under complex seabed conditions. The major factors contributing to damage are typically classified into natural hazards and human activities. Particular attention is given to fault diagnosis techniques, including optical time domain reflectometry (OTDR) and time domain reflectometry (TDR). Additionally, practical workflows and processes for fault location and cable repair are outlined. By structuring advancements across installation, monitoring, and maintenance processes, this review offers a comprehensive technical reference for researchers and practitioners, while emphasizing emerging trends aimed at enhancing system resilience, real-time situational awareness, and rapid response, thus supporting global digitalization and the transition to clean energy. Full article
(This article belongs to the Topic Marine Energy)
Show Figures

Figure 1

10 pages, 5590 KB  
Article
Rupture Velocity Acceleration and Slip Partitioning Along an Oceanic Transform Fault: The 2025 Mw 7.6 Cayman Trough Earthquake
by Hong Zhang, Dun Wang, Yuyang Peng, Zhifeng Wang, Zhenhang Zhang, Songlin Tan, Keyue Gong and Yongpeng Yang
J. Mar. Sci. Eng. 2026, 14(5), 479; https://doi.org/10.3390/jmse14050479 - 2 Mar 2026
Viewed by 212
Abstract
On 8 February 2025, an Mw 7.6 strike-slip earthquake ruptured the Swan Islands Transform Fault in the northern Caribbean near its junction with the Mid-Cayman Spreading Center, providing an important offshore case for investigating rupture dynamics along oceanic transform faults. In this study, [...] Read more.
On 8 February 2025, an Mw 7.6 strike-slip earthquake ruptured the Swan Islands Transform Fault in the northern Caribbean near its junction with the Mid-Cayman Spreading Center, providing an important offshore case for investigating rupture dynamics along oceanic transform faults. In this study, we jointly apply teleseismic high-frequency back-projection and low-frequency finite-fault full-waveform inversion to image the multi-scale spatiotemporal evolution of the rupture process. Back-projection results reveal a two-stage rupture characterized by an initial sub-shear propagation lasting approximately 20 s, followed by rapid acceleration to supershear velocities of ~5–6 km/s and westward propagation over ~80–100 km. Finite-fault inversion shows that coseismic slip is primarily concentrated within ~20 km west of the epicenter, with a peak slip of ~5.6 m and an overall rupture duration of ~40 s. Comparison between high-frequency radiation and low-frequency slip indicates that the most seismic moment was released during the early slow rupture stage, whereas the later fast-propagating segment produced enhanced high-frequency energy but relatively small slip. These observations reveal a pronounced along-strike complementary relationship between slip amplitude and rupture speed, suggesting a transition in rupture dynamics controlled by variations in fault strength, fracture energy, and/or geometric complexity. By combining high-frequency back-projection with low-frequency finite-fault inversion, we obtain a more complete view of the rupture process of offshore earthquakes, which helps clarify rupture propagation characteristics, including supershear behavior, along oceanic transform faults. Full article
(This article belongs to the Special Issue Advances in Ocean Plate Motion and Seismic Research)
Show Figures

Figure 1

Back to TopTop