Sign in to use this feature.

Years

Between: -

Subjects

remove_circle_outline
remove_circle_outline

Journals

Article Types

Countries / Regions

Search Results (3)

Search Parameters:
Keywords = radiocesium infiltration

Order results
Result details
Results per page
Select all
Export citation of selected articles as:
15 pages, 5549 KB  
Article
The Distribution and Migration of 137Cs in Oak (Quercus serrata) and Cedar (Cryptomeria japonica) Forest Organic Fractions
by Akwasi Dwira Mensah, Hiroto Toda, Sonoko Dorothea Bellingrath-Kimura, Hiroaki Kato and Dongsu Choi
Forests 2021, 12(8), 1045; https://doi.org/10.3390/f12081045 - 6 Aug 2021
Cited by 2 | Viewed by 2377
Abstract
To analyse the 137Cs distribution and migration under various fractions of organic matter layers, this study investigated easily recognizable, originally shaped organic L-fractions, and not easily recognizable, early fermented and fragmented organic F-fractions, of both oak (Quercus serrata) and cedar [...] Read more.
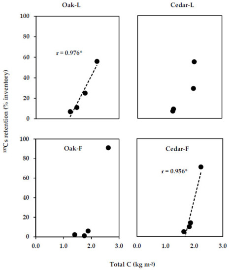
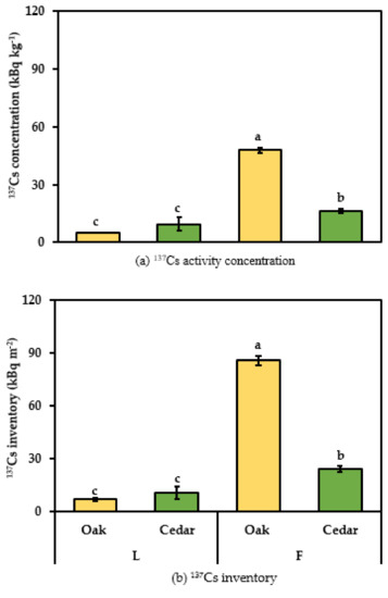
To analyse the 137Cs distribution and migration under various fractions of organic matter layers, this study investigated easily recognizable, originally shaped organic L-fractions, and not easily recognizable, early fermented and fragmented organic F-fractions, of both oak (Quercus serrata) and cedar (Cryptomeria japonica) sampled from Osawa watershed sites at Nihonmatsu City, Fukushima Prefecture, Japan. The organic materials were put on top of soil columns from Field Museum (FM) Tamakyuryo in Hachioji City, Tokyo. The 137Cs vertical distribution in forest soil profiles was analyzed using the relaxation mass depth, ho (kg m−2). Soil columns with both L and F- organic layer fractions of both oak and cedar, labelled as Oak-L, Oak-F, Cedar-L and Cedar-F with four replications (n = 16), were set up by the laboratory column-based method and kept under five months’ incubation period. Soil columns after incubation were sampled at depths of 0–1 cm, 1–2 cm, 2–5 cm and 5–10 cm. Results of 137Cs inventory in the organic fractions showed that 86% (oak and cedar) of the total organic layer fractions 137Cs inventory accumulated within the F-layer, indicating that the transformation of litter is a huge source for potentially mobile 137Cs, especially the oak F-layer (67% 137Cs inventory) and further continuous transfer into the forest soil mineral layers. A higher ho in L treated soils (Oak-L and Cedar-L) compared to the F treatments implied that the low 137Cs amounts penetrated faster and deeper due to their water-soluble nature. Furthermore, Cedar-F showed a higher ho of 24.3 kg m−2 than Oak-F of ho, 14.0 kg m−2, and a significant positive relationship between 137Cs retention and total carbon (TC) (p < 0.05) suggested the influence of soil organic matter on 137Cs penetration and retention. The C/N (carbon nitrogen ratio) results revealed that organic matter fractions of high C/N including 137Cs, as observed in Cedar-F, in which decomposition does not advance, penetrates soil depths while the organic matter fraction of low C/N, observed in Oak-F, showed that decomposition advanced to release 137Cs which was held by adsorption unto the RIP (radiocesium interception potential) of soil surface. In addition, infiltration by water as a transportation process was suggested to largely influence the downward migration and retention of 137Cs at lower depths of Cedar-F. Full article
(This article belongs to the Section Forest Soil)
Show Figures

Figure 1

8 pages, 1641 KB  
Article
Intake of Radionuclides in the Trees of Fukushima Forests 2. Study of Radiocesium Flow to Poplar Seedlings as a Model Tree
by Shoko Aoki, Miki Nonaka, Chisato Yasukawa, Masateru Itakura, Masaharu Tsubokura, Kei’ichi Baba, Hiroya Ohbayashi, Tomoko Seyama, Iwao Uehara, Rumi Kaida, Teruaki Taji, Yoichi Sakata and Takahisa Hayashi
Forests 2019, 10(9), 736; https://doi.org/10.3390/f10090736 - 27 Aug 2019
Cited by 3 | Viewed by 2833
Abstract
After the nuclear power plant accident in Fukushima, radionuclides were deposited over a large area of local forest. However, almost nothing is known about radionuclide infiltration into trees. Here, we used poplar seedlings as a model to show that radiocesium can enter directly [...] Read more.
After the nuclear power plant accident in Fukushima, radionuclides were deposited over a large area of local forest. However, almost nothing is known about radionuclide infiltration into trees. Here, we used poplar seedlings as a model to show that radiocesium can enter directly into leaves and bark, moving via ray cells through the symplastic pathways to the xylem and concentrating around the meristems, cork, and vascular cambium. During induced potassium incorporation and reduced seasonal growth, the radiocesium in the meristems of stems mainly passes into abscission tissues such as leaves and heartwood. There is no turnover of radiocesium after it enters the heartwood. Full article
(This article belongs to the Section Forest Ecophysiology and Biology)
Show Figures

Figure 1

12 pages, 2217 KB  
Article
Intake of Radionuclides in the Trees of Fukushima Forests 1. Field Study
by Chisato Yasukawa, Shoko Aoki, Miki Nonaka, Masateru Itakura, Masaharu Tsubokura, Kei’ichi Baba, Hiroya Ohbayashi, Izumi Sugawara, Tomoko Seyama, Iwao Uehara, Rumi Kaida, Teruaki Taji, Yoichi Sakata and Takahisa Hayashi
Forests 2019, 10(8), 652; https://doi.org/10.3390/f10080652 - 2 Aug 2019
Cited by 7 | Viewed by 4585
Abstract
The earthquake and tsunami on 11 March 2011 led to a meltdown followed by a hydrogen explosion at the Fukushima–Daiichi nuclear power plant in Japan, causing the dispersal of abundant radionuclides into the atmosphere and ocean. The radionuclides were deposited onto trees and [...] Read more.
The earthquake and tsunami on 11 March 2011 led to a meltdown followed by a hydrogen explosion at the Fukushima–Daiichi nuclear power plant in Japan, causing the dispersal of abundant radionuclides into the atmosphere and ocean. The radionuclides were deposited onto trees and local residences in aerosol or gaseous forms that were partly absorbed by rain or melting snow. Here, we show that the radionuclides attached to the surfaces of trees, in which some radiocesium was incorporated into the xylem through ray cells and through symplastic pathways. The level of incorporated radiocesium varied based on tree species and age because of the ability of radiocesium to attach to the surface of the outer bark. After four years, the radiocesium level in the forest has been decreasing as it is washed out with rainwater into the sea and as it decays over time due to its half-life, but it can also be continuously recycled through leaf tissue, litter, mulch, and soil. As a result, the level of radiocesium was relatively increased in the heartwood and roots of trees at four years after the event. In private forest fields, most trees were left as afforested trees without being used for timber, although some trees were cut down. We discuss an interdisciplinary field study on the immediate effects of high radiation levels upon afforested trees in private forest fields. Full article
(This article belongs to the Section Forest Ecophysiology and Biology)
Show Figures

Figure 1

Back to TopTop