Sign in to use this feature.

Years

Between: -

Subjects

remove_circle_outline
remove_circle_outline

Journals

Article Types

Countries / Regions

Search Results (4)

Search Parameters:
Keywords = piggyback pipelines

Order results
Result details
Results per page
Select all
Export citation of selected articles as:
14 pages, 3884 KB  
Article
Experimental Studies on Vortex-Induced Vibration of a Piggyback Pipeline
by Difei Xiao, Zhiyong Hao, Tongming Zhou and Hongjun Zhu
Fluids 2024, 9(2), 39; https://doi.org/10.3390/fluids9020039 - 1 Feb 2024
Cited by 2 | Viewed by 2056
Abstract
Offshore pipelines of different diameters are often seen in piggyback arrangements in close proximity. Under the effects of external flows, the pipelines may experience vibration. Reliable prediction of the vibration amplitudes is important for the design and operation of these structures. In the [...] Read more.
Offshore pipelines of different diameters are often seen in piggyback arrangements in close proximity. Under the effects of external flows, the pipelines may experience vibration. Reliable prediction of the vibration amplitudes is important for the design and operation of these structures. In the present study, the effect of the position angle (α) and gap ratio (G/D) of a piggyback pipeline on the amplitude of 1DOF vortex-induced vibration (VIV) was investigated experimentally in a wind tunnel. The diameter ratio d/D of the two cylinders was 0.5. Five position angles, namely, α = 0°, 45°, 90°, 135°, and 180°, and six gap ratios at each angle, G/D = 0, 0.1, 0.2, 0.3, 0.4, 0.5, were tested. It was found that both α and G/D affected the amplitude of vibrations significantly. For all gap ratios, the amplitude of vibrations increased from α = 0° to α = 90° and then decreased to a minimum value around α = 135°. The maximum amplitude occurred around α = 90° when G/D = 0, and the minimum occurred around α = 135°, when G/D = 0.2–0.3. At other position angles, the vibration amplitude was less sensitive to G/D, especially when the latter was between 0.1 and 0.4. These results verified those obtained using numerical methods and are invaluable to engineers when designing offshore piggyback pipelines. Full article
(This article belongs to the Special Issue Vortical Flows in Memory of Professor Ippolit Stepanovich Gromeka)
Show Figures

Figure 1

16 pages, 3640 KB  
Article
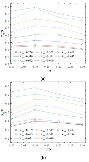
Scour Characteristics and Equilibrium Scour Depth Prediction around a Submarine Piggyback Pipeline
by Ruigeng Hu, Xiuhai Wang, Hongjun Liu, Hao Leng and Yao Lu
J. Mar. Sci. Eng. 2022, 10(3), 350; https://doi.org/10.3390/jmse10030350 - 2 Mar 2022
Cited by 6 | Viewed by 2491
Abstract
Local scour around a submarine piggyback pipeline in combined waves and current is investigated experimentally. Based on the experimental results, the scour evolution and scour morphology are firstly analyzed. Then, a comparison with the equilibrium scour depth Seq between the present experimental [...] Read more.
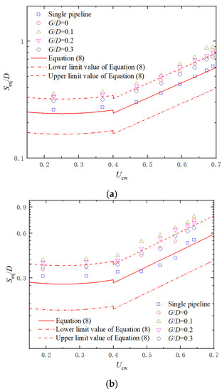
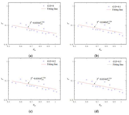
Local scour around a submarine piggyback pipeline in combined waves and current is investigated experimentally. Based on the experimental results, the scour evolution and scour morphology are firstly analyzed. Then, a comparison with the equilibrium scour depth Seq between the present experimental data and predicted results is conducted. After that, the correlation between the dimensionless scour timescale T* and the maximum Shields parameter θcw is investigated, and a formula is obtained to describe the variation trend between T* and θcw for different gap ratios G/D. Furthermore, the parametric study is carried out to study the effects of Reynolds number Red and θcw on Seq, respectively. The results indicate that the Seq below the piggyback pipeline increases when the gap ratio G/D increases from 0 to 0.1, and it gradually decreases when G/D > 0.1. For a given KC, the Seq increases with the increase of the ratio of velocities Ucw. In addition, when Ucw is fixed, a higher KC results in a greater Seq. The T* is closely related to θcw and G/D. The higher Red and θcw both tend to result in the greater scour depth below a piggyback pipeline in combined waves and current. Full article
(This article belongs to the Section Ocean Engineering)
Show Figures

Figure 1

18 pages, 3491 KB  
Article
Study on Hydrodynamic Coefficients of a Submarine Piggyback Pipeline under the Action of Waves and Current
by Xiaofei Cheng, Jun Yang, Tiaojian Xu and Qianyuan Xu
J. Mar. Sci. Eng. 2021, 9(10), 1118; https://doi.org/10.3390/jmse9101118 - 14 Oct 2021
Cited by 2 | Viewed by 2486
Abstract
In this study, physical model tests are used to investigate the effects of a varying number of wave and current parameters, the gap ratios between the pipeline and seabed, the spacing ratios between the two pipelines and the diameter ratios on the hydrodynamic [...] Read more.
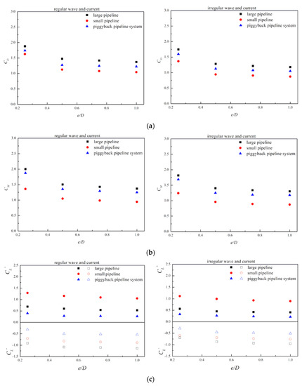
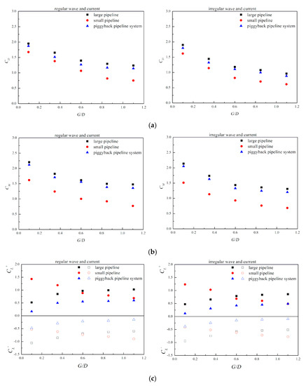
In this study, physical model tests are used to investigate the effects of a varying number of wave and current parameters, the gap ratios between the pipeline and seabed, the spacing ratios between the two pipelines and the diameter ratios on the hydrodynamic coefficients of the large, small pipeline and pipeline system (bundle) in a piggyback configuration under the combined action of waves and current. The results show that, compared with the pure wave field, the existence of the steady current will lead to a decrease in hydrodynamic coefficients. In addition, the results indicate clear differences between the hydrodynamic coefficients of the large pipeline, small pipeline and piggyback pipeline system. The experimental results on hydrodynamic coefficients can be used as an important basis for the safety design of a submarine piggyback pipeline. Full article
(This article belongs to the Section Ocean Engineering)
Show Figures

Figure 1

20 pages, 6031 KB  
Article
Numerical Investigation of Scour Beneath Pipelines Subjected to an Oscillatory Flow Condition
by Jun Huang, Guang Yin, Muk Chen Ong, Dag Myrhaug and Xu Jia
J. Mar. Sci. Eng. 2021, 9(10), 1102; https://doi.org/10.3390/jmse9101102 - 9 Oct 2021
Cited by 13 | Viewed by 2788
Abstract
The present study carries out two-dimensional numerical simulations to investigate scour beneath a single pipeline and piggyback pipelines subjected to an oscillatory flow condition at a Keulegan–Carpenter (KC) number of 11 using SedFoam (an open-source, multi-dimensional Eulerian two-phase solver for [...] Read more.
The present study carries out two-dimensional numerical simulations to investigate scour beneath a single pipeline and piggyback pipelines subjected to an oscillatory flow condition at a Keulegan–Carpenter (KC) number of 11 using SedFoam (an open-source, multi-dimensional Eulerian two-phase solver for sediment transport based on OpenFOAM). The turbulence flow is resolved using the two-phase modified kω 2006 model. The particle stresses due to the binary collisions and enduring contacts among the sediments are modeled using the rheology model of granular flow. The present numerical model is validated for the scour beneath a single pipeline, and the simulated sediment profiles are compared with published experimental data and numerical simulation results. The scour process beneath three different piggyback pipelines under the same flow condition are also considered, and the scour development and surrounding flow patterns are discussed in detail. Typical steady-streaming structures around the pipeline due to the oscillatory flow condition are captured. The scour depth during the initial development of the scour process for the piggyback pipeline with the small pipeline placed above the large one is the largest among all the investigated configurations. The phase-averaged flow fields show that the flow patterns are influenced by the additional small pipeline. Full article
(This article belongs to the Special Issue Instability and Failure of Subsea Structures)
Show Figures

Figure 1

Back to TopTop