Sign in to use this feature.

Years

Between: -

Subjects

remove_circle_outline
remove_circle_outline
remove_circle_outline

Journals

Article Types

Countries / Regions

Search Results (1)

Search Parameters:
Keywords = pepitilla maize

Order results
Result details
Results per page
Select all
Export citation of selected articles as:
16 pages, 2683 KB  
Article
Changes in the Rhizospheric Microbiota of Pepitilla Maize in Response to Drought: Functional and Taxonomic Analysis
by Ricardo Zacamo-Velázquez, Lorena Jacqueline Gómez-Godínez, Humberto Ramírez-Vega, Víctor Manuel Gómez-Rodríguez, Carlos Iván Cruz-Cárdenas, José Martin Ruvalcaba-Gómez, Juan José Valdez-Alarcón and Ramón Ignacio Arteaga-Garibay
Microorganisms 2026, 14(2), 291; https://doi.org/10.3390/microorganisms14020291 - 27 Jan 2026
Abstract
Native maize varieties provide important information for counteracting the effects of climate change, which leads to agricultural drought. The native rhizospheric microbiota is an ecological niche that maintains a close relationship with the plant and helps mitigate the effects of drought on it. [...] Read more.
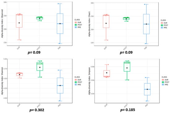
Native maize varieties provide important information for counteracting the effects of climate change, which leads to agricultural drought. The native rhizospheric microbiota is an ecological niche that maintains a close relationship with the plant and helps mitigate the effects of drought on it. The objective of this study was to describe the composition and structure of the rhizospheric bacterial communities of the native Pepitilla maize plants under conditions of water stress. An experiment was conducted under greenhouse conditions with three irrigation regimes and a control with normal irrigation. The responses of the plants to drought and the rhizospheric bacterial microbiota were measured before, during, and after the drought. Bacterial diversity was analyzed from rhizospheric soil using massive sequencing of the 16S rRNA gene. The drought model applied in the experiment had a negative effect on the plants, affecting their physiological, morphological, and biochemical functions. Diversity analyses showed statistical differences between the conditions during and after the drought in most cases. A reduction and modification in bacterial abundance was observed during the drought condition across different taxonomic groups, the most representative being the phyla Actinobacteriota, Pseudomonadota, and Acidobacteriota; the families Acidobacteriaceae, Rhodanobacteraceae, Solirubrobacteraceae, Acidothermaceae, and Microbacteriaceae; and the genera Actinobacteria, Sphingomonas, Geodermatophilus, Conexibacter, and Acidothermus. It is worth noting that the taxa Actinobacteria and Proteobacteria, as well as the families Microbacteriaceae, Sphingomonadaceae, and Unclassified_Actinobacteria, were directly associated with the drought condition, as an increase in their relative abundance was observed. This information is very useful for understanding the relationship between certain taxa enriched during stress conditions and the physiology of maize plants. Full article
(This article belongs to the Special Issue Advances in Agro-Microbiology)
Show Figures

Figure 1

Back to TopTop