Sign in to use this feature.

Years

Between: -

Subjects

remove_circle_outline
remove_circle_outline
remove_circle_outline

Journals

Article Types

Countries / Regions

remove_circle_outline

Search Results (1)

Search Parameters:
Keywords = particulated costal allocartilage

Order results
Result details
Results per page
Select all
Export citation of selected articles as:
15 pages, 1606 KB  
Article
Particulated Costal Hyaline Cartilage Allograft and Microdrilling Combined with High Tibial Osteotomy Improves Early Pain Outcomes in Patients Suffering from Medial Knee Osteoarthritis with Full-Thickness Cartilage Defects: A Randomized Controlled Trial
by Gi Beom Kim, Oog-Jin Shon and Sang-Woo Jeon
Medicina 2026, 62(2), 289; https://doi.org/10.3390/medicina62020289 - 1 Feb 2026
Abstract
Background and Objectives: While particulated costal hyaline cartilage allograft (PCHCA) combined with microdrilling demonstrates superior cartilage regeneration compared to microdrilling alone in high tibial osteotomy (HTO), the impact on early clinical recovery remains uncertain. The aim of this study is to compare [...] Read more.
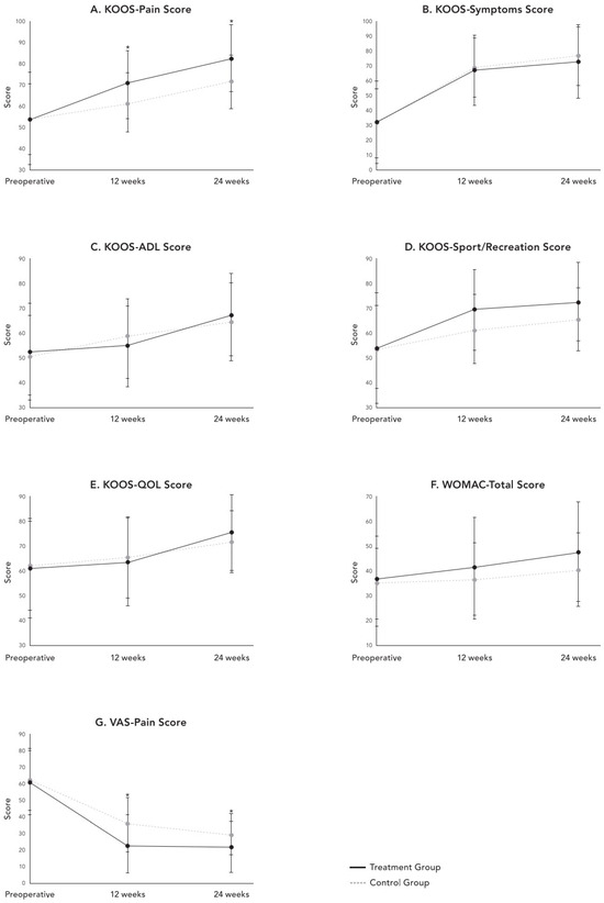
Background and Objectives: While particulated costal hyaline cartilage allograft (PCHCA) combined with microdrilling demonstrates superior cartilage regeneration compared to microdrilling alone in high tibial osteotomy (HTO), the impact on early clinical recovery remains uncertain. The aim of this study is to compare early clinical outcomes (within 6 months) between microdrilling alone versus combined particulated costal hyaline cartilage allograft (PCHCA) with microdrilling in medial open-wedge high tibial osteotomy (MOWHTO) for medial compartment osteoarthritis, and to investigate age-related differences in treatment response. Materials and Methods: This prospective, dual-center, randomized controlled trial with blinded outcome assessment enrolled 64 patients (33 treatment and 31 control) undergoing MOWHTO with medial femoral condyle cartilage defects (ICRS III-IV, ≥200 mm2). The treatment group received PCHCA implantation combined with microdrilling, while the control group received microdrilling alone. Patients and outcome assessors were blinded to group allocation. Primary outcomes were KOOS-Pain and VAS scores at 12 and 24 weeks. Age-stratified analysis compared patients ≤ 60 years (n = 44) versus > 60 years (n = 20) Results: The treatment group showed significantly superior KOOS-Pain scores at 12 weeks (70.6 vs. 61.6, p = 0.014) and 24 weeks (82.9 vs. 71.5, p = 0.011), with corresponding VAS improvements (p = 0.010 and p = 0.004). Age-stratified analysis revealed patients ≤ 60 years achieved comparable outcomes regardless of treatment (p = 0.574), while patients > 60 years demonstrated significantly superior outcomes with PCHCA (KOOS-Pain improvement: 24.7 vs. 17.9 points, p = 0.012). BMI ≥ 26 kg/m2 significantly predicted reduced odds of achieving MCID for both pain (OR 0.88, p = 0.028) and ADL (OR 0.80, p = 0.003). Conclusions: PCHCA combined with microdrilling provides superior early pain relief compared to microdrilling alone in MOWHTO, with effects most pronounced in patients > 60 years. Age-stratified treatment selection and BMI optimization should be considered to maximize outcomes. Full article
(This article belongs to the Special Issue Advances in Knee Surgery: From Diagnosis to Recovery)
Show Figures

Figure 1

Back to TopTop