Sign in to use this feature.

Years

Between: -

Subjects

remove_circle_outline
remove_circle_outline
remove_circle_outline
remove_circle_outline

Journals

Article Types

Countries / Regions

Search Results (6)

Search Parameters:
Keywords = outpatient quality assurance

Order results
Result details
Results per page
Select all
Export citation of selected articles as:
20 pages, 1009 KB  
Article
Implementing a Manual for Neurofeedback Training in a Psychosomatic–Psychotherapeutic Outpatient Unit: A Mixed Methods Evaluation of Acceptance, Satisfaction and Feasibility in Patients and Practitioners
by Miriam Karl, Hannah Göke, Axel Kowalski, Nora Dörrie, Eva-Maria Skoda, Alexander Bäuerle, Martin Teufel and Kira L. Schmidt
Psychiatry Int. 2025, 6(1), 28; https://doi.org/10.3390/psychiatryint6010028 - 10 Mar 2025
Cited by 1 | Viewed by 2207
Abstract
Despite the evidence for the effectiveness of neurofeedback (NFB) treatment, standardization is scarce, impairing comparability across studies and conditions. Therefore, the acceptance, satisfaction and feasibility of a standardized NFB manual with 14 sessions focused on sensory motor rhythm (SMR) reward and theta and [...] Read more.
Despite the evidence for the effectiveness of neurofeedback (NFB) treatment, standardization is scarce, impairing comparability across studies and conditions. Therefore, the acceptance, satisfaction and feasibility of a standardized NFB manual with 14 sessions focused on sensory motor rhythm (SMR) reward and theta and high-beta reduction were evaluated. Methodology: This monocentric, prospective, interventional pilot study in an outpatient setting followed a mixed methods approach. Quantitative data were collected from patients through standardized questionnaires. Qualitative data were derived from interviews with NFB practitioners (NPs) and were analyzed using Mayring’s method of content analysis. Results: The analysis included 24 patients. The mean patient satisfaction (ZUF-8) was 20.81, reflecting moderate satisfaction. The average perceived system usability was 73.48, representing good acceptance. The majority (95.7%) of patients perceived the treatment to be feasible; 78.3% found it useful and would recommend it. Despite reoccurring technical difficulties, NPs perceived the manual to provide security and confidence during sessions. The clear instructions could partially compensate for the heterogeneity in expertise among NPs. Suggested improvements were intensified training on technical aspects and improved patient education. Conclusions: The developed NFB manual is a promising tool for delivering NFB in psychosomatic outpatient settings. It facilitates the establishment of standards, enhances quality assurance and ensures comparability across studies and treatments. Full article
Show Figures

Figure 1

11 pages, 292 KB  
Article
Translation, Cultural Adaptation, and Psychometric Evaluation of the Brazilian Portuguese Version of the Quality in Psychiatric Care—Outpatients Instrument
by Lars-Olov Lundqvist, Naiara Gajo Silva, Sônia Barros and Agneta Schröder
Healthcare 2023, 11(7), 1001; https://doi.org/10.3390/healthcare11071001 - 31 Mar 2023
Cited by 3 | Viewed by 1845
Abstract
Measuring the quality of care received by patients of mental health services is necessary to determine the effectiveness of prevention programs and mental health treatment. This study translated the original Swedish Quality in Psychiatric Care—Outpatient (QPC-OP) instrument to Brazilian Portuguese, adapted it to [...] Read more.
Measuring the quality of care received by patients of mental health services is necessary to determine the effectiveness of prevention programs and mental health treatment. This study translated the original Swedish Quality in Psychiatric Care—Outpatient (QPC-OP) instrument to Brazilian Portuguese, adapted it to the context of Brazilian psychosocial care centers (CAPS), and evaluated its psychometric properties. The instrument was translated and back-translated by two independent professional translators. A seven-person expert group of professionals and 31 psychiatric outpatients verified the content validity of the Brazilian Portuguese QPC-OP, which then was completed by 253 outpatients from 16 CAPS in São Paulo, Brazil. Confirmatory factor analysis revealed adequate goodness of fit for the factor structure corresponding to the original Swedish version, except for the discharge dimension. Three additional items added in the Brazilian Portuguese QPC-OP formed a separate factor. The internal consistency of the entire scale was excellent but low in some dimensions. In conclusion, the translation and cultural adaptation of the Brazilian Portuguese QPC-OP was satisfactory, and the psychometric evaluation demonstrated that the concept of quality of mental health care is similarly understood in the Brazilian and Swedish cultural context. Thus, the Brazilian Portuguese QPC-OP is a useful instrument for assessing the quality of care in the Brazilian CAPS context and will be useful in quality assurance and in cross-cultural research addressing quality of mental health care from the patient’s perspective. Full article
12 pages, 2680 KB  
Article
A Study of Patients’ Willingness to Pay for a Basic Outpatient Copayment and Medical Service Quality in Taiwan
by Wei Hsu, Chih-Hao Yang and Wen-Ping Fan
Int. J. Environ. Res. Public Health 2021, 18(12), 6604; https://doi.org/10.3390/ijerph18126604 - 19 Jun 2021
Cited by 4 | Viewed by 3715
Abstract
Patients might be willing to pay more to obtain better quality medical services when they recognize that high-level hospitals have better quality. However, published papers have not found solid empirical evidence to support this possibility. Therefore, the purpose of this study is to [...] Read more.
Patients might be willing to pay more to obtain better quality medical services when they recognize that high-level hospitals have better quality. However, published papers have not found solid empirical evidence to support this possibility. Therefore, the purpose of this study is to empirically investigate patients’ willingness to pay (WTP) for an outpatient copayment. The study aims to analyze the difference between the two WTP values: to implement a hierarchy of medical care and to improve the quality of medical services. This study administered a questionnaire using the contingent valuation method with a quasi-bidding game for patients’ WTP and the SERVQUAL scale for medical service quality. The Wilcoxon signed-rank test was employed to test the difference between the two WTP values, notably to implement a hierarchy of medical care and to improve the quality of medical services. Both of the WTP values are higher than the academic medical centre’s current copayment NT$420 (approximately US$14); the percentage of respondents willing to pay a higher copayment declined when the outpatient copayment was increased, and the patients’ WTP to have better medical service quality was significantly higher than that to implement a hierarchy of medical care. Patients’ desire to receive better medical services from higher-level hospitals might be stronger than their desire to implement hierarchical medical care. This study reported the relationship between the respondents’ perceived medical service quality and WTP for having better service quality by using regression models. The respondents’ perceptions of medical service quality, especially for “reliability” and “assurance,” would positively affect their WTP. Policy makers should focus on improving the quality of medical services. Full article
Show Figures

Figure 1

13 pages, 339 KB  
Article
Who Should Play a Key Role in Preventing Common Mental Disorders that Affect Employees in the Workplace? Results of a Survey with Occupational Health Physicians, Primary Care Physicians, Psychotherapists, and Human Resource Managers
by Martina Michaelis, Elisabeth Maria Balint, Florian Junne, Stephan Zipfel, Harald Gündel, Rahna Lange, Monika A. Rieger and Eva Rothermund
Int. J. Environ. Res. Public Health 2019, 16(8), 1383; https://doi.org/10.3390/ijerph16081383 - 17 Apr 2019
Cited by 10 | Viewed by 5013
Abstract
The rising burden of common mental disorders (CMDs) in employees requires strategies for prevention. No systematic data exist about how those involved perceive their roles, responsibilities, and interactions with other professional groups. Therefore, we performed a multi-professional standardized survey with health professionals in [...] Read more.
The rising burden of common mental disorders (CMDs) in employees requires strategies for prevention. No systematic data exist about how those involved perceive their roles, responsibilities, and interactions with other professional groups. Therefore, we performed a multi-professional standardized survey with health professionals in Germany. A self-administered questionnaire was completed by 133 occupational health physicians (OHPs), 136 primary care physicians (PCPs), 186 psychotherapists (PTs), and 172 human resource managers (HRMs). Inter alia, they were asked which health professionals working in the company health service and in the outpatient care or in the sector of statutory insurance agents should play a key role in the primary, secondary, and tertiary prevention of CMDs in employees. The McNemar test was used in order to compare the attributed roles among the professionals involved. With regard to CMDs, all the professional groups involved in this study declared OHPs as the most relevant pillar in the field of prevention. In primary prevention, HRMs regarded themselves, OHPs, and health insurance agents as equally relevant in terms of prevention. PTs indicated an important role for employee representatives in this field. In secondary prevention, PCPs were regarded as important as OHPs. HRMs indicated themselves as equally important as OHPs and PCPs. In tertiary prevention, only OHPs identified themselves as main protagonists. The other groups marked a variety of several professions. There is a common acceptance from the parties involved that might help the first steps be taken toward overcoming barriers, e.g., by developing a common framework for quality-assured intersectional cooperation in the field of CMD prevention in employees. Full article
17 pages, 953 KB  
Article
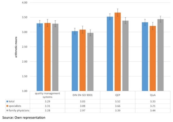
Quality Management Systems in the Ambulant Sector: An Analytical Comparison of Different Quality Management Systems
by Marcus Gumpert and Jens-Peter Reese
Int. J. Environ. Res. Public Health 2019, 16(3), 444; https://doi.org/10.3390/ijerph16030444 - 2 Feb 2019
Viewed by 3801
Abstract
Background: Since 1 January 2004, all physicians, psychotherapists, and medical care centers that are under contract to statutory healthcare in Germany are obliged, according to § 135a Section 2 of the Fifth Social Security Statute Book, to introduce an intra-institutional quality management system. [...] Read more.
Background: Since 1 January 2004, all physicians, psychotherapists, and medical care centers that are under contract to statutory healthcare in Germany are obliged, according to § 135a Section 2 of the Fifth Social Security Statute Book, to introduce an intra-institutional quality management system. Methods: A total of 24 medical practices were chosen through random sampling. In total, there were 12 family physicians and specialist practices each and eight practices each per quality management system. The analysis was carried out with the help of three specially developed questionnaires (physician, employee, and patient). A total of 26 quality categories with different questions were available in the three survey groups (physicians, employees, and patients). The Kruskal–Wallis test checked the extent to which the different scores between the quality management systems were significant and effective for specialists or family physicians. Results: ”Quality and Development in Practices (QEP)” had the highest average score. Due to a specific family practitioner specialism, “Quality management in Saxony medical practices (QisA)” followed with good average scores. The individual quality categories in the quality management systems, such as the “range of services” or “allocation of appointments”, received the highest average scores among the specialists. In contrast, categories such as “telephone enquiries” and “external cooperation and communication” received the highest average scores among the family physicians. Conclusion: Differences in the evaluation of quality management systems and medical groups (specialists/family physicians) were found in the study. The reasons for these differences could be found in the quality categories. Full article
(This article belongs to the Section Health Economics)
Show Figures

Figure 1

6 pages, 382 KB  
Article
Radiotherapy for Oncologic Emergencies on Weekends: Examining Reasons for Treatment and Patterns of Practice at a Canadian Cancer Centre
by Gunita Mitera, A. Swaminath, S. Wong, P. Goh, S. Robson, E. Sinclair, C. Danjoux and E. Chow
Curr. Oncol. 2009, 16(4), 55-60; https://doi.org/10.3747/co.v16i4.352 - 1 Aug 2009
Cited by 12 | Viewed by 1445
Abstract
Purpose: Radiotherapy for oncologic emergencies is an important aspect of the management of cancer patients. These emergencies—which include malignant spinal cord compression, brain metastases, superior vena cava obstruction, and uncontrolled tumour hemorrhage —may require treatment outside of hospital hours, particularly on weekends and [...] Read more.
Purpose: Radiotherapy for oncologic emergencies is an important aspect of the management of cancer patients. These emergencies—which include malignant spinal cord compression, brain metastases, superior vena cava obstruction, and uncontrolled tumour hemorrhage —may require treatment outside of hospital hours, particularly on weekends and hospital holidays. To date, there remains no consensus among radiation oncologists regarding the indications and appropriateness of radiotherapy treatment on weekends, and treatment decisions remain largely subjective. The main aim of the present study was to document the incidence and indications for patients receiving emergency treatment on weekends or scheduled hospital holidays at a single institution. The secondary aim was to investigate the compliance of such treatment with the institution’s quality assurance policies, both local and provincial. Methods: From 1 September 2002, to 30 September 2004, patients being treated over weekends (defined as commencing at 6 pm on a Friday and concluding at 8 am of the next scheduled workday) and hospital holidays were retrospectively identified using the Oncology Patient Information System scheduling module. Relevant patient data—including patient age, sex, primary cancer site, specific radiation field, rationale for treatment, referring hospital, total treatment dose, radiation dose fractionation, inpatient or outpatient status, and duration of treatment—were collected and subsequently analyzed. Comparison to local policy was performed subjectively. Results: Over the 2-year period, 161 patients were prescribed urgent radiotherapy over a weekend or on a hospital holiday. Of this cohort, 68% were treated on both Saturday and Sunday, 22% on Saturday alone, and 10% on Sunday alone. Most patients presented with lung (31%), prostate (18%), and breast cancer (17%). The top reasons for referral for emergency weekend treatment included spinal cord compression (56%), brain metastases (15%), and superior vena cava obstruction (6%). Most of the indications for treatment generally followed the quality assurance policies implemented both locally and provincially. Conclusions: Patients treated over a weekend or on a hospital holiday were generally found to be treated with appropriate intent. Most treatment indications within this study both complied with provincial policy and showed a pattern of care similar to that seen in other studies in the literature. Local policy appears to be robust; however, policy improvements may allow for more cohesiveness across radiation oncologists in patterns of care in this important group of patients. Comparisons with practice at other institutions would be valuable and also a key step in developing sound guidelines for all members of the radiotherapy community to follow. Full article
Back to TopTop