error_outline You can access the new MDPI.com website here. Explore and share your feedback with us.
 
 
Sign in to use this feature.

Years

Between: -

Subjects

remove_circle_outline
remove_circle_outline
remove_circle_outline
remove_circle_outline
remove_circle_outline
remove_circle_outline
remove_circle_outline

Journals

Article Types

Countries / Regions

Search Results (10)

Search Parameters:
Keywords = noise budget management

Order results
Result details
Results per page
Select all
Export citation of selected articles as:
23 pages, 1101 KB  
Article
A Reinforcement Learning-Based Optimization Strategy for Noise Budget Management in Homomorphically Encrypted Deep Network Inference
by Chi Zhang, Fenhua Bai, Jinhua Wan and Yu Chen
Electronics 2026, 15(2), 275; https://doi.org/10.3390/electronics15020275 - 7 Jan 2026
Abstract
Homomorphic encryption provides a powerful cryptographic solution for privacy-preserving deep neural network inference, enabling computation on encrypted data. However, the practical application of homomorphic encryption is fundamentally constrained by the noise budget, a core component of homomorphic encryption schemes. The substantial multiplicative depth [...] Read more.
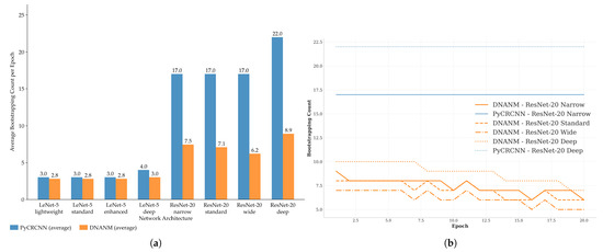
Homomorphic encryption provides a powerful cryptographic solution for privacy-preserving deep neural network inference, enabling computation on encrypted data. However, the practical application of homomorphic encryption is fundamentally constrained by the noise budget, a core component of homomorphic encryption schemes. The substantial multiplicative depth of modern deep neural networks rapidly consumes this budget, necessitating frequent, computationally expensive bootstrapping operations to refresh the noise. This bootstrapping process has emerged as the primary performance bottleneck. Current noise management strategies are predominantly static, triggering bootstrapping at pre-defined, fixed intervals. This approach is sub-optimal for deep, complex architectures, leading to excessive computational overhead and potential accuracy degradation due to cumulative precision loss. To address this challenge, we propose a Deep Network-aware Adaptive Noise-budget Management mechanism, a novel mechanism that formulates noise budget allocation as a sequential decision problem optimized via reinforcement learning. The core of the proposed mechanism comprises two components. First, we construct a layer-aware noise consumption prediction model to accurately estimate the heterogeneous computational costs and noise accumulation across different network layers. Second, we design a Deep Q-Network-driven optimization algorithm. This Deep Q-Network agent is trained to derive a globally optimal policy, dynamically determining the optimal timing and network location for executing bootstrapping operations, based on the real-time output of the noise predictor and the current network state. This approach shifts from a static, pre-defined strategy to an adaptive, globally optimized one. Experimental validation on several typical deep neural network architectures demonstrates that the proposed mechanism significantly outperforms state-of-the-art fixed strategies, markedly reducing redundant bootstrapping overhead while maintaining model performance. Full article
(This article belongs to the Special Issue Security and Privacy in Artificial Intelligence Systems)
Show Figures

Figure 1

20 pages, 270 KB  
Article
A Novel User Behavior Modeling Scheme for Edge Devices with Dynamic Privacy Budget Allocation
by Hua Zhang, Hao Huang and Cheng Peng
Electronics 2025, 14(5), 954; https://doi.org/10.3390/electronics14050954 - 27 Feb 2025
Cited by 4 | Viewed by 2572
Abstract
Federated learning (FL) enables privacy-preserving collaborative model training across edge devices without exposing raw user data, but it is vulnerable to privacy leakage through shared model updates, making differential privacy (DP) essential. Existing DP-based FL methods, such as fixed-noise DP, suffer from excessive [...] Read more.
Federated learning (FL) enables privacy-preserving collaborative model training across edge devices without exposing raw user data, but it is vulnerable to privacy leakage through shared model updates, making differential privacy (DP) essential. Existing DP-based FL methods, such as fixed-noise DP, suffer from excessive noise injection and inefficient privacy budget allocation, which degrade model accuracy. To address these limitations, we propose an adaptive differential privacy mechanism that dynamically adjusts the noise based on gradient sensitivity, optimizing the privacy–accuracy trade-off, along with a hierarchical privacy budget management strategy to minimize cumulative privacy loss. We also incorporate communication-efficient techniques like gradient sparsification and quantization to reduce bandwidth usage without sacrificing privacy guarantees. Experimental results on three real-world datasets showed that our adaptive DP-FL method improved accuracy by up to 8.1%, reduced privacy loss by 38%, and lowered communication overhead by 15–18%. While promising, our method’s robustness against advanced privacy attacks and its scalability in real-world edge environments are areas for future exploration, highlighting the need for further validation in practical FL applications such as personalized recommendation and privacy-sensitive user behavior modeling. Full article
Show Figures

Figure 1

18 pages, 391 KB  
Article
An Effective Federated Object Detection Framework with Dynamic Differential Privacy
by Baoping Wang, Duanyang Feng, Junyu Su and Shiyang Song
Mathematics 2024, 12(14), 2150; https://doi.org/10.3390/math12142150 - 9 Jul 2024
Cited by 1 | Viewed by 2700
Abstract
The proliferation of data across multiple domains necessitates the adoption of machine learning models that respect user privacy and data security, particularly in sensitive scenarios like surveillance and medical imaging. Federated learning (FL) offers a promising solution by decentralizing the learning process, allowing [...] Read more.
The proliferation of data across multiple domains necessitates the adoption of machine learning models that respect user privacy and data security, particularly in sensitive scenarios like surveillance and medical imaging. Federated learning (FL) offers a promising solution by decentralizing the learning process, allowing multiple participants to collaboratively train a model without sharing their data. However, when applied to complex tasks such as object detection, standard FL frameworks can fall short in balancing the dual demands of high accuracy and stringent privacy. This paper introduces a sophisticated federated object detection framework that incorporates advanced differential privacy mechanisms to enhance privacy protection. Our framework is designed to work effectively across heterogeneous and potentially large-scale datasets, characteristic of real-world environments. It integrates a novel adaptive differential privacy model that strategically adjusts the noise scale during the training process based on the sensitivity of the features being learned and the progression of the model’s accuracy. We present a detailed methodology that includes a privacy budget management system, which optimally allocates and tracks privacy expenditure throughout training cycles. Additionally, our approach employs a hybrid model aggregation technique that not only ensures robust privacy guarantees but also mitigates the degradation of object detection performance typically associated with DP. The effectiveness of our framework is demonstrated through extensive experiments on multiple benchmark datasets, including COCO and PASCAL VOC. Our results show that our framework not only adheres to strict DP standards but also achieves near-state-of-the-art object detection performance, underscoring its practical applicability. For example, in some settings, our method can lower the privacy success rate by 40% while maintaining high model accuracy. This study makes significant strides in advancing the field of privacy-preserving machine learning, especially in applications where user privacy cannot be compromised. The proposed framework sets a new benchmark for implementing federated learning in complex, privacy-sensitive tasks and opens avenues for future research in secure, decentralized machine learning technologies. Full article
Show Figures

Figure 1

22 pages, 6992 KB  
Article
Operational and Analytical Modal Analysis of a Bridge Using Low-Cost Wireless Arduino-Based Accelerometers
by Seyedmilad Komarizadehasl, Pierre Huguenet, Fidel Lozano, Jose Antonio Lozano-Galant and Jose Turmo
Sensors 2022, 22(24), 9808; https://doi.org/10.3390/s22249808 - 14 Dec 2022
Cited by 37 | Viewed by 6392
Abstract
Arduino-based accelerometers are receiving wide attention from researchers to make long-term Structural Health Monitoring (SHM) feasible for structures with a low SHM budget. The current low-cost solutions found in the literature share some of the following drawbacks: (1) high noise density, (2) lack [...] Read more.
Arduino-based accelerometers are receiving wide attention from researchers to make long-term Structural Health Monitoring (SHM) feasible for structures with a low SHM budget. The current low-cost solutions found in the literature share some of the following drawbacks: (1) high noise density, (2) lack of wireless synchronization, (3) lack of automatic data acquisition and data management, and (4) lack of dedicated field tests aiming to compare mode shapes from Operational Modal Analysis (OMA) with those of a digital model. To solve these problems, a recently built short-span footbridge in Barcelona is instrumented using four Low-cost Adaptable Reliable Accelerometers (LARA). In this study, the automatization of the data acquisition and management of these low-cost solutions is studied for the first time in the literature. In addition, a digital model of the bridge under study is generated in SAP2000 using the available drawings and reported characteristics of its materials. The OMA of the bridge is calculated using Frequency Domain Decomposition (FDD) and Covariance Stochastic Subspace Identification (SSI-cov) methods. Using the Modal Assurance Criterion (MAC), the mode shapes of OMA are compared with those of the digital model. Finally, the acquired eigenfrequencies of the bridge obtained with a high-precision commercial sensor (HI-INC) showed a good agreement with those obtained with LARA. Full article
Show Figures

Figure 1

23 pages, 4141 KB  
Article
Rational Organization of Urban Parking Using Microsimulation
by Irina Makarova, Vadim Mavrin, Damir Sadreev, Polina Buyvol, Aleksey Boyko and Eduard Belyaev
Infrastructures 2022, 7(10), 140; https://doi.org/10.3390/infrastructures7100140 - 18 Oct 2022
Cited by 7 | Viewed by 4987
Abstract
Urbanization, which causes the need for population mobility, leads to an increase in motorization and related problems: the organization of parking spaces in cities, both near work places and recreational spaces, and not far from residential locations. This has a number of consequences. [...] Read more.
Urbanization, which causes the need for population mobility, leads to an increase in motorization and related problems: the organization of parking spaces in cities, both near work places and recreational spaces, and not far from residential locations. This has a number of consequences. Therefore, the occupation of parking spaces near shopping centers and sports and recreation facilities, intended only for customers of these organizations, makes it difficult for direct customers to access services. This forces potential customers to look for a parking space in adjacent areas, often far from the target location. At the same time, the search for a parking space is stretched over time, negatively affecting the environment in the form of emissions and noise. On the other hand, there is a risk of losing a client. In the course of the study, we have analyzed the state of the problem and the directions of research on parking management in cities, and then we have studied the possibilities of using simulation models to find rational options for the organization of access to parking spaces and further using such models in decision support systems (DSS) as an intellectual core. The literature review showed that this is the most adequate option for an intelligent city parking space management system. At the same time, the environmental factor must also be taken into account. Research methods are based on field studies of traffic flows and emissions near parking places, and mathematical and simulation modeling. The proposed system will allow the evaluation of the effectiveness of the proposed changes in the organization of access to parking spaces, and, in the future, when implementing the obtained optimal solution, in practice, provide customers with a guaranteed parking space and reduce traffic and emissions. The introduction of such a system guarantees its quick payback, which is associated with the efficiency of use, as well as with the additional effects obtained from its implementation (improving the road situation, reducing vehicle emissions, solving social problems of the population, etc.), which is especially important for medium and small cities with limited budgets. Full article
(This article belongs to the Special Issue Smart Mobility)
Show Figures

Figure 1

26 pages, 10689 KB  
Article
Development of a Novel Burned-Area Subpixel Mapping (BASM) Workflow for Fire Scar Detection at Subpixel Level
by Haizhou Xu, Gui Zhang, Zhaoming Zhou, Xiaobing Zhou, Jia Zhang and Cui Zhou
Remote Sens. 2022, 14(15), 3546; https://doi.org/10.3390/rs14153546 - 24 Jul 2022
Cited by 11 | Viewed by 3326
Abstract
The accurate detection of burned forest area is essential for post-fire management and assessment, and for quantifying carbon budgets. Therefore, it is imperative to map burned areas accurately. Currently, there are few burned-area products around the world. Researchers have mapped burned areas directly [...] Read more.
The accurate detection of burned forest area is essential for post-fire management and assessment, and for quantifying carbon budgets. Therefore, it is imperative to map burned areas accurately. Currently, there are few burned-area products around the world. Researchers have mapped burned areas directly at the pixel level that is usually a mixture of burned area and other land cover types. In order to improve the burned area mapping at subpixel level, we proposed a Burned Area Subpixel Mapping (BASM) workflow to map burned areas at the subpixel level. We then applied the workflow to Sentinel 2 data sets to obtain burned area mapping at subpixel level. In this study, the information of true fire scar was provided by the Department of Emergency Management of Hunan Province, China. To validate the accuracy of the BASM workflow for detecting burned areas at the subpixel level, we applied the workflow to the Sentinel 2 image data and then compared the detected burned area at subpixel level with in situ measurements at fifteen fire-scar reference sites located in Hunan Province, China. Results show the proposed method generated successfully burned area at the subpixel level. The methods, especially the BASM-Feature Extraction Rule Based (BASM-FERB) method, could minimize misclassification and effects due to noise more effectively compared with the BASM-Random Forest (BASM-RF), BASM-Backpropagation Neural Net (BASM-BPNN), BASM-Support Vector Machine (BASM-SVM), and BASM-notra methods. We conducted a comparison study among BASM-FERB, BASM-RF, BASM-BPNN, BASM-SVM, and BASM-notra using five accuracy evaluation indices, i.e., overall accuracy (OA), user’s accuracy (UA), producer’s accuracy (PA), intersection over union (IoU), and Kappa coefficient (Kappa). The detection accuracy of burned area at the subpixel level by BASM-FERB’s OA, UA, IoU, and Kappa is 98.11%, 81.72%, 74.32%, and 83.98%, respectively, better than BASM-RF’s, BASM-BPNN’s, BASM-SVM’s, and BASM-notra’s, even though BASM-RF’s and BASM-notra’s average PA is higher than BASM-FERB’s, with 89.97%, 91.36%, and 89.52%, respectively. We conclude that the newly proposed BASM workflow can map burned areas at the subpixel level, providing greater accuracy in regards to the burned area for post-forest fire management and assessment. Full article
(This article belongs to the Section Forest Remote Sensing)
Show Figures

Figure 1

23 pages, 6639 KB  
Article
Potential Effects on Human Safety and Health from Infrasound and Audible Frequencies Generated by Vibrations of Diesel Engines Using Biofuel Blends at the Workplaces of Sustainable Engineering Systems
by Gavriil D. Chaitidis, Panagiotis K. Marhavilas and Venetis Kanakaris
Sustainability 2022, 14(13), 7554; https://doi.org/10.3390/su14137554 - 21 Jun 2022
Cited by 4 | Viewed by 4359
Abstract
Employees involved in various occupational environments that include vibration machines and any kind of vehicles are adversely subjected to multiple source noise. Thus, the corresponding noise frequencies (and mainly the infrasound ones) present high interest, especially from the viewpoint of sustainability, due to [...] Read more.
Employees involved in various occupational environments that include vibration machines and any kind of vehicles are adversely subjected to multiple source noise. Thus, the corresponding noise frequencies (and mainly the infrasound ones) present high interest, especially from the viewpoint of sustainability, due to the potential effects on human safety and health (H_S&H) in sustainable engineering projects. Moreover, the occupational safety and health (OSH) visualization (a fact of unveiling the social dimension of sustainability) of occupational workplaces (by evaluating the infrasound and audible noise frequencies generated by diesel engines) could help a safety officer to lessen crucial risk factors in the OSH field and also to protect, more efficiently, the employees by taking the most essential safety measures. This study (i) suggests a technique to determine the infrasound and audible sound frequencies produced due to vibrations of diesel engines, by using biofuels (i.e., sustainable utilization of resources), in order to evaluate potential effects on human safety and health at the workplaces of sustainable engineering projects, and (ii) it ultimately aims to contribute to the improvement of the three “sustainability pillars” (economy, social, and environmental). Therefore, it provides experimental results of the frequency of the noise (regarding the infrasound and audible spectrum) that a diesel motor generates by vibration, in the frame of using different engine rpms (850, 1150, and 2000) and a variety of biofuel mixtures (B20-D80, B40-D60, B60-D40, and B80-D20). The article shows that the fuel blend meaningfully affects the generated noise, and more particularly, the usage of biofuel blends coming from mixing diesel oil with biodiesel (a fact of the emerging environmental dimension of sustainability) can produce various noise frequencies, which are determined in the infrasound and audible spectra (~10–23 Hz). The suggested technique, by ameliorating the OSH situation, doubtless will help enterprises to achieve the finest allocation of limited financial resources (a fact corresponding to the economic dimension of sustainability), allowing financial managers to have more available budget for implementing other risk-reduction projects. Full article
Show Figures

Graphical abstract

18 pages, 7448 KB  
Article
In Situ Micro-Observation of Surface Roughness and Fracture Mechanism in Metal Microforming of Thin Copper Sheets with Newly Developed Compact Testing Apparatus
by Mandeep Singh, Shubham Sharma, Appusamy Muniappan, Danil Yurievich Pimenov, Szymon Wojciechowski, Kanishka Jha, Shashi Prakash Dwivedi, Changhe Li, Jolanta B. Królczyk, Dominik Walczak and Tien V. T. Nguyen
Materials 2022, 15(4), 1368; https://doi.org/10.3390/ma15041368 - 12 Feb 2022
Cited by 26 | Viewed by 3972
Abstract
A better understanding of material deformation behaviours with changes in size is crucial to the design and operation of metal microforming processes. In order to facilitate the investigation of size effects, material deformation behaviours needed to be determined directly from material characterizations. This [...] Read more.
A better understanding of material deformation behaviours with changes in size is crucial to the design and operation of metal microforming processes. In order to facilitate the investigation of size effects, material deformation behaviours needed to be determined directly from material characterizations. This study was aimed at the design and manufacture of a compact universal testing machine (UTM) compatible with a 3D laser-confocal microscope to observe the deformation behaviour of materials in real-time. In this study, uniaxial micro tensile testing was conducted on three different thin (0.05 mm, 0.1 mm, and 0.3 mm) copper specimens with characteristic dimensions at micro scales. Micro tensile experimental runs were carried out on copper specimens with varying grain sizes on the newly developed apparatus under a 3D laser-confocal microscope. Microscale experiments under 3D laser-confocal microscope provided not only a method to observe the microstructure of materials, but also a novel way to observe the early stages of fracture mechanisms. From real-time examination using the newly developed compact testing apparatus, we discovered that fracture behaviour was mostly brought about by the concave surface formed by free surface roughening. Findings with high stability were discovered while moving with the sample grasped along the drive screw in the graphical plot of a crosshead’s displacement against time. Our results also showed very low mechanical noise (detected during the displacement of the crosshead), which indicated that there were no additional effects on the machine, such as vibrations or shifts in speed that could influence performance. The engineering stress-strain plots of the pure copper-tests with various thicknesses or samples depicted a level of stress necessary to initiate plastic flowing inside the material. From these results, we observed that strength and ductility declined with decreasing thickness. The influence of thickness on fracture-strain, observed during tensile testing, made it clear that the elongation-at-break of the pure-copper foils intensely decreased with decreases in thickness. The relative average surface-roughness Ra was evaluated, which showed us that the surface-roughness escalated with the increasing trend of plasticity deformation (plastic strain) ε. For better understanding of the effects of plastic strain on surface roughness prior to material fractures, micro tensile tests were performed on the newly developed machine under a 3D laser-confocal-microscope. We observed that homogeneous surface roughness was caused by plastic strain, which further formed the concave surface that led to the fracture points. Finally, we concluded that surface roughness was one of the crucial factors influencing the fracture behaviour of metallic sheet-strips in metal microforming. We found that this type of testing apparatus could be designed and manufactured within a manageable budget. Full article
(This article belongs to the Special Issue Mechanical Properties of Technical Materials)
Show Figures

Figure 1

18 pages, 3767 KB  
Article
Characterization of SWOT Water Level Errors on Seine Reservoirs and La Bassée Gravel Pits: Impacts on Water Surface Energy Budget Modeling
by Catherine Ottlé, Anthony Bernus, Thomas Verbeke, Karine Pétrus, Zun Yin, Sylvain Biancamaria, Anne Jost, Damien Desroches, Claire Pottier, Charles Perrin, Alban de Lavenne, Nicolas Flipo and Agnès Rivière
Remote Sens. 2020, 12(18), 2911; https://doi.org/10.3390/rs12182911 - 8 Sep 2020
Cited by 7 | Viewed by 4346
Abstract
The Surface Water and Ocean Topography (SWOT) space mission will map surface area and water level changes in lakes at the global scale. Such new data are of great interest to better understand and model lake dynamics as well as to improve water [...] Read more.
The Surface Water and Ocean Topography (SWOT) space mission will map surface area and water level changes in lakes at the global scale. Such new data are of great interest to better understand and model lake dynamics as well as to improve water management. In this study, we used the large-scale SWOT simulator developed at the French Space National Center (CNES) to estimate the expected measurement errors of the water level of different water bodies in France. These water bodies include five large reservoirs of the Seine River and numerous small gravel pits located in the Seine alluvial plain of La Bassée upstream of the city of Paris. The results show that the SWOT mission will allow to observe water levels with a precision of a few tens of centimeters (10 cm for the largest water reservoir (Orient), 23 km2), even for the small gravel pits of size of a few hectares (standard deviation error lower than 0.25 m for water bodies larger than 6 ha). The benefit of the temporal sampling for water level monitoring is also highlighted on time series of pseudo-observations based on real measurements perturbed with the simulated noise errors. Then, the added value of these future data for the simulation of lake energy budgets is shown using the FLake lake model through sensitivity experiments. Results show that the SWOT data will help to model the surface temperature of the studied water bodies with a precision better than 0.5 K and the evaporation with an accuracy better than 0.2 mm/day. These large improvements compared to the errors obtained when a constant water level is prescribed (1.2 K and 0.6 mm/day) demonstrate the potential of SWOT for monitoring the lake energy budgets at global scale in addition to the other foreseen applications in operational reservoir management. Full article
(This article belongs to the Special Issue Remote Sensing of Lake Properties and Dynamics)
Show Figures

Graphical abstract

13 pages, 294 KB  
Article
Joint Resource Optimization for Orthogonal Frequency Division Multiplexing Based Cognitive Amplify and Forward Relaying Networks
by Dong Qin and Tianqing Zhou
Sensors 2020, 20(7), 2074; https://doi.org/10.3390/s20072074 - 7 Apr 2020
Cited by 5 | Viewed by 2342
Abstract
This paper investigates two resource allocation problems in cognitive relaying networks where both secondary network and primary network coexist in the same frequency band and adopt orthogonal frequency division multiplexing (OFDM) technology. The first one is the sum rate maximization problem of a [...] Read more.
This paper investigates two resource allocation problems in cognitive relaying networks where both secondary network and primary network coexist in the same frequency band and adopt orthogonal frequency division multiplexing (OFDM) technology. The first one is the sum rate maximization problem of a secondary network under total power budget of a secondary network and tolerable interference constraint of a primary network. The second one is the sum rate maximization problem of a secondary network under separate power budgets of a secondary network and tolerable interference constraint of a primary network. These two optimization problems are completely different from those in traditional cooperative communication due to interference management constraint condition. A joint optimization algorithm is proposed, where power allocation and subcarrier pairing are decomposed into two subproblems with reasonable cost. The first one is a closed form solution of power allocation of the secondary network while managing the interference to a primary network under a constraint condition. The other is optimal subcarrier pairing at given power allocation. Simulation results reveal aspects of average signal to noise ratio (SNR), interference level, relay position, and power ratio on the sum rate of a secondary network. Full article
(This article belongs to the Special Issue Energy-Efficient Sensing in Wireless Sensor Networks)
Show Figures

Figure 1

Back to TopTop