Sign in to use this feature.

Years

Between: -

Subjects

remove_circle_outline
remove_circle_outline
remove_circle_outline
remove_circle_outline
remove_circle_outline
remove_circle_outline
remove_circle_outline
remove_circle_outline
remove_circle_outline

Journals

Article Types

Countries / Regions

Search Results (10)

Search Parameters:
Keywords = nature-inspired cybersecurity

Order results
Result details
Results per page
Select all
Export citation of selected articles as:
26 pages, 4097 KB  
Article
Integrating Convolutional Neural Networks with a Firefly Algorithm for Enhanced Digital Image Forensics
by Abed Al Raoof Bsoul and Yazan Alshboul
AI 2025, 6(12), 321; https://doi.org/10.3390/ai6120321 - 8 Dec 2025
Viewed by 454
Abstract
Digital images play an increasingly central role in journalism, legal investigations, and cybersecurity. However, modern editing tools make image manipulation difficult to detect with traditional forensic methods. This research addresses the challenge of improving the accuracy and stability of deep-learning-based forgery detection by [...] Read more.
Digital images play an increasingly central role in journalism, legal investigations, and cybersecurity. However, modern editing tools make image manipulation difficult to detect with traditional forensic methods. This research addresses the challenge of improving the accuracy and stability of deep-learning-based forgery detection by developing a convolutional neural network enhanced through automated hyperparameter optimisation. The framework integrates a Firefly-based search strategy to optimise key network settings such as learning rate, filter size, depth, dropout, and batch configuration, reducing reliance on manual tuning and the risk of suboptimal model performance. The model is trained and evaluated on a large raster dataset of tampered and authentic images, as well as a custom vector-based dataset containing manipulations involving geometric distortion, object removal, and gradient editing. The Firefly-optimised model achieves higher accuracy, faster convergence, and improved robustness than baseline networks and traditional machine-learning classifiers. Cross-domain evaluation demonstrates that these gains extend across both raster and vector image types, even when vector files are rasterised for deep-learning analysis. The findings highlight the value of metaheuristic optimisation for enhancing the reliability of deep forensic systems and underscore the potential of combining deep learning with nature-inspired search methods to support more trustworthy image authentication in real-world environments. Full article
Show Figures

Figure 1

28 pages, 3758 KB  
Article
A Lightweight, Explainable Spam Detection System with Rüppell’s Fox Optimizer for the Social Media Network X
by Haidar AlZeyadi, Rıdvan Sert and Fecir Duran
Electronics 2025, 14(21), 4153; https://doi.org/10.3390/electronics14214153 - 23 Oct 2025
Viewed by 581
Abstract
Effective spam detection systems are essential in online social media networks (OSNs) and cybersecurity, and they directly influence the quality of decision-making pertaining to security. With today’s digital communications, unsolicited spam degrades user experiences and threatens platform security. Machine learning-based spam detection systems [...] Read more.
Effective spam detection systems are essential in online social media networks (OSNs) and cybersecurity, and they directly influence the quality of decision-making pertaining to security. With today’s digital communications, unsolicited spam degrades user experiences and threatens platform security. Machine learning-based spam detection systems offer an automated defense. Despite their effectiveness, such methods are frequently hindered by the “black box” problem, an interpretability deficiency that constrains their deployment in security applications, which, in order to comprehend the rationale of classification processes, is crucial for efficient threat evaluation and response strategies. However, their effectiveness hinges on selecting an optimal feature subset. To address these issues, we propose a lightweight, explainable spam detection model that integrates a nature-inspired optimizer. The approach employs clean data with data preprocessing and feature selection using a swarm-based, nature-inspired meta-heuristic Rüppell’s Fox Optimization (RFO) algorithm. To the best of our knowledge, this is the first time the algorithm has been adapted to the field of cybersecurity. The resulting minimal feature set is used to train a supervised classifier that achieves high detection rates and accuracy with respect to spam accounts. For the interpretation of model predictions, Shapley values are computed and illustrated through swarm and summary charts. The proposed system was empirically assessed using two datasets, achieving accuracies of 99.10%, 98.77%, 96.57%, and 92.24% on Dataset 1 using RFO with DT, KNN, AdaBoost, and LR and 98.94%, 98.67%, 95.04%, and 94.52% on Dataset 2, respectively. The results validate the efficacy of the suggested approach, providing an accurate and understandable model for spam account identification. This study represents notable progress in the field, offering a thorough and dependable resolution for spam account detection issues. Full article
Show Figures

Figure 1

29 pages, 1620 KB  
Article
A Multi-Layer Quantum-Resilient IoT Security Architecture Integrating Uncertainty Reasoning, Relativistic Blockchain, and Decentralised Storage
by Gerardo Iovane
Appl. Sci. 2025, 15(16), 9218; https://doi.org/10.3390/app15169218 - 21 Aug 2025
Cited by 1 | Viewed by 1827
Abstract
The rapid development of the Internet of Things (IoT) has enabled the implementation of interconnected intelligent systems in extremely dynamic contexts with limited resources. However, traditional paradigms, such as those using ECC-based heuristics and centralised decision-making frameworks, cannot be modernised to ensure resilience, [...] Read more.
The rapid development of the Internet of Things (IoT) has enabled the implementation of interconnected intelligent systems in extremely dynamic contexts with limited resources. However, traditional paradigms, such as those using ECC-based heuristics and centralised decision-making frameworks, cannot be modernised to ensure resilience, scalability and security while taking quantum threats into account. In this case, we propose a modular architecture that integrates quantum-inspired cryptography (QI), epistemic uncertainty reasoning, the multiscale blockchain MuReQua, and the quantum-inspired decentralised storage engine (DeSSE) with fragmented entropy storage. Each component addresses specific cybersecurity weaknesses of IoT devices: quantum-resistant communication on epistemic agents that facilitate cognitive decision-making under uncertainty, lightweight adaptive consensus provided by MuReQua, and fragmented entropy storage provided by DeSSE. Tested through simulations and use case analyses in industrial, healthcare and automotive networks, the architecture shows exceptional latency, decision accuracy and fault tolerance compared to conventional solutions. Furthermore, its modular nature allows for incremental integration and domain-specific customisation. By adding reasoning, trust and quantum security, it is possible to design intelligent decentralised architectures for resilient IoT ecosystems, thereby strengthening system defences alongside architectures. In turn, this work offers a specific architectural response and a broader perspective on secure decentralised computing, even for the imminent advent of quantum computers. Full article
(This article belongs to the Section Computing and Artificial Intelligence)
Show Figures

Figure 1

1 pages, 127 KB  
Abstract
Deforestation Regulation Open Platform (DROP): An AI-Driven Open-Source Platform for Economically Sustainable Coffee Production and European Union Deforestation Regulation (EUDR) Compliance
by Mirko Ilowski
Proceedings 2024, 109(1), 14; https://doi.org/10.3390/ICC2024-18173 - 4 Sep 2024
Cited by 2 | Viewed by 1261
Abstract
The European Union Deforestation Regulation (EUDR) poses significant challenges for the global coffee industry. All the stakeholders involved, from smallholder farmers to global farming, trading and production corporations, are struggling with compliance. Hereby, the Deforestation Regulation Open Platform (DROP), an innovative AI-driven solution [...] Read more.
The European Union Deforestation Regulation (EUDR) poses significant challenges for the global coffee industry. All the stakeholders involved, from smallholder farmers to global farming, trading and production corporations, are struggling with compliance. Hereby, the Deforestation Regulation Open Platform (DROP), an innovative AI-driven solution designed to address EUDR compliance challenges, is introduced. DROP utilizes artificial intelligence (AI) to manage extensive datasets, including farmer-uploaded images, 3D calculations, maps, ownership data, and export documents. The platform’s development involves collaboration with a globally renowned advisory board and employs experts in AI, computer vision, natural language processing, software development, and cybersecurity. DROP’s effectiveness will be assessed through its ability to integrate and verify various data sources, detect fraudulent attempts, and provide cost-effective compliance solutions. R&D efforts indicate that DROP will successfully offer a transparent, scalable, and secure alternative to traditional certification processes, effectively verifying EUDR compliance at significantly reduced costs compared to current certification expenses. These aspects of DROP provide a differentiating factor within the global coffee industry. The platform’s open-source nature and Linux-inspired business model enable it to provide free and easy access to smallholder farmers, while remaining economically viable, enabled via providing huge cost-savings and efficiency gains for large coffee-related corporations. The conclusion is that DROP represents a promising approach to EUDR compliance, potentially transforming how the coffee industry addresses deforestation regulations, as well as an increase in sustainable operations in general by promoting transparency, reducing costs, and fostering a more equitable and sustainable global coffee sector. Full article
(This article belongs to the Proceedings of ICC 2024)
21 pages, 2510 KB  
Article
Fine-Grained Radio Frequency Fingerprint Recognition Network Based on Attention Mechanism
by Yulan Zhang, Jun Hu, Rundong Jiang, Zengrong Lin and Zengping Chen
Entropy 2024, 26(1), 29; https://doi.org/10.3390/e26010029 - 27 Dec 2023
Cited by 2 | Viewed by 3367
Abstract
With the rapid development of the internet of things (IoT), hundreds of millions of IoT devices, such as smart home appliances, intelligent-connected vehicles, and wearable devices, have been connected to the network. The open nature of IoT makes it vulnerable to cybersecurity threats. [...] Read more.
With the rapid development of the internet of things (IoT), hundreds of millions of IoT devices, such as smart home appliances, intelligent-connected vehicles, and wearable devices, have been connected to the network. The open nature of IoT makes it vulnerable to cybersecurity threats. Traditional cryptography-based encryption methods are not suitable for IoT due to their complexity and high communication overhead requirements. By contrast, RF-fingerprint-based recognition is promising because it is rooted in the inherent non-reproducible hardware defects of the transmitter. However, it still faces the challenges of low inter-class variation and large intra-class variation among RF fingerprints. Inspired by fine-grained recognition in computer vision, we propose a fine-grained RF fingerprint recognition network (FGRFNet) in this article. The network consists of a top-down feature pathway hierarchy to generate pyramidal features, attention modules to locate discriminative regions, and a fusion module to adaptively integrate features from different scales. Experiments demonstrate that the proposed FGRFNet achieves recognition accuracies of 89.8% on 100 ADS-B devices, 99.5% on 54 Zigbee devices, and 83.0% on 25 LoRa devices. Full article
(This article belongs to the Section Signal and Data Analysis)
Show Figures

Figure 1

45 pages, 515 KB  
Review
Deep Reinforcement Learning for Resilient Power and Energy Systems: Progress, Prospects, and Future Avenues
by Mukesh Gautam
Electricity 2023, 4(4), 336-380; https://doi.org/10.3390/electricity4040020 - 1 Dec 2023
Cited by 37 | Viewed by 9855
Abstract
In recent years, deep reinforcement learning (DRL) has garnered substantial attention in the context of enhancing resilience in power and energy systems. Resilience, characterized by the ability to withstand, absorb, and quickly recover from natural disasters and human-induced disruptions, has become paramount in [...] Read more.
In recent years, deep reinforcement learning (DRL) has garnered substantial attention in the context of enhancing resilience in power and energy systems. Resilience, characterized by the ability to withstand, absorb, and quickly recover from natural disasters and human-induced disruptions, has become paramount in ensuring the stability and dependability of critical infrastructure. This comprehensive review delves into the latest advancements and applications of DRL in enhancing the resilience of power and energy systems, highlighting significant contributions and key insights. The exploration commences with a concise elucidation of the fundamental principles of DRL, highlighting the intricate interplay among reinforcement learning (RL), deep learning, and the emergence of DRL. Furthermore, it categorizes and describes various DRL algorithms, laying a robust foundation for comprehending the applicability of DRL. The linkage between DRL and power system resilience is forged through a systematic classification of DRL applications into five pivotal dimensions: dynamic response, recovery and restoration, energy management and control, communications and cybersecurity, and resilience planning and metrics development. This structured categorization facilitates a methodical exploration of how DRL methodologies can effectively tackle critical challenges within the domain of power and energy system resilience. The review meticulously examines the inherent challenges and limitations entailed in integrating DRL into power and energy system resilience, shedding light on practical challenges and potential pitfalls. Additionally, it offers insights into promising avenues for future research, with the aim of inspiring innovative solutions and further progress in this vital domain. Full article
Show Figures

Figure 1

29 pages, 2756 KB  
Review
Bio-Inspired Internet of Things: Current Status, Benefits, Challenges, and Future Directions
by Abdullah Alabdulatif and Navod Neranjan Thilakarathne
Biomimetics 2023, 8(4), 373; https://doi.org/10.3390/biomimetics8040373 - 17 Aug 2023
Cited by 29 | Viewed by 6588
Abstract
There is no doubt that the involvement of the Internet of Things (IoT) in our daily lives has changed the way we live and interact as a global community, as IoT enables intercommunication of digital objects around us, creating a pervasive environment. As [...] Read more.
There is no doubt that the involvement of the Internet of Things (IoT) in our daily lives has changed the way we live and interact as a global community, as IoT enables intercommunication of digital objects around us, creating a pervasive environment. As of now, this IoT is found in almost every domain that is vital for human survival, such as agriculture, medical care, transportation, the military, and so on. Day by day, various IoT solutions are introduced to the market by manufacturers towards making our life easier and more comfortable. On the other hand, even though IoT now holds a key place in our lives, the IoT ecosystem has various limitations in efficiency, scalability, and adaptability. As such, biomimicry, which involves imitating the systems found in nature within human-made systems, appeared to be a potential remedy to overcome such challenges pertaining to IoT, which can also be referred to as bio-inspired IoT. In the simplest terms, bio-inspired IoT combines nature-inspired principles and IoT to create more efficient and adaptive IoT solutions, that can overcome most of the inherent challenges pertaining to traditional IoT. It is based on the idea that nature has already solved many challenging problems and that, by studying and mimicking biological systems, we might develop better IoT systems. As of now, this concept of bio-inspired IoT is applied to various fields such as medical care, transportation, cyber-security, agriculture, and so on. However, it is noted that only a few studies have been carried out on this new concept, explaining how these bio-inspired concepts are integrated with IoT. Thus, to fill in the gap, in this study, we provide a brief review of bio-inspired IoT, highlighting how it came into play, its ecosystem, its latest status, benefits, challenges, and future directions. Full article
Show Figures

Figure 1

18 pages, 2968 KB  
Article
ModDiff: Modularity Similarity-Based Malware Homologation Detection
by Huaqi Sun, Hui Shu, Fei Kang and Yan Guang
Electronics 2023, 12(10), 2258; https://doi.org/10.3390/electronics12102258 - 16 May 2023
Cited by 5 | Viewed by 2618
Abstract
In recent years, the number and scale of malicious codes have grown exponentially, posing an increasing threat to cybersecurity. Hence, it is of great research value to quickly identify variants of malware and master their family information. Binary code similarity detection, as a [...] Read more.
In recent years, the number and scale of malicious codes have grown exponentially, posing an increasing threat to cybersecurity. Hence, it is of great research value to quickly identify variants of malware and master their family information. Binary code similarity detection, as a key technique in reverse analysis, plays an indispensable role in malware analysis. However, most existing methods focus on similarity at the function or basic block level, ignoring the modular composition of malware. Implementing similarity detection among malware modules would greatly improve the efficiency and accuracy of homology detection. Inspired by the successful application of deep-learning techniques in program analysis, we propose a binary code module similarity detection method called ModDiff. It abstracts malware into attribute graphs, clusters functions using graph-embedded clustering algorithms to decompose malware into function-based modules, and calculates module similarity using graph-matching algorithms and natural language processing-based function similarity detection algorithms. The experimental results indicated that ModDiff improves the accuracy of module partitioning by 10.8% compared with previous work, and the highest F1 score of 89% is achieved in malware homologation detection. These results demonstrate the effectiveness of ModDiff in detecting and analyzing malware with important application value and development prospects. Full article
Show Figures

Figure 1

16 pages, 991 KB  
Article
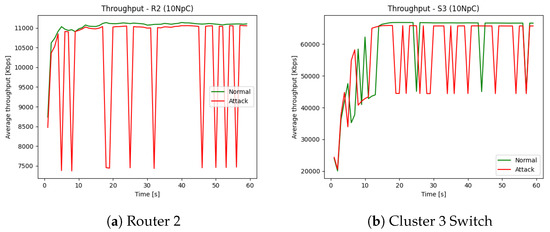
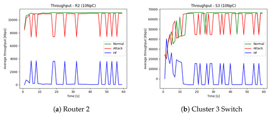
Modified Firefly Optimization Algorithm-Based IDS for Nature-Inspired Cybersecurity
by Shishir Kumar Shandilya, Bong Jun Choi, Ajit Kumar and Saket Upadhyay
Processes 2023, 11(3), 715; https://doi.org/10.3390/pr11030715 - 28 Feb 2023
Cited by 13 | Viewed by 3508
Abstract
The new paradigm of nature-inspired cybersecurity can establish a robust defense by utilizing well-established nature-inspired computing algorithms to analyze networks and act quickly. The existing research focuses primarily on the efficient selection of features for quick and optimized detection rates using firefly and [...] Read more.
The new paradigm of nature-inspired cybersecurity can establish a robust defense by utilizing well-established nature-inspired computing algorithms to analyze networks and act quickly. The existing research focuses primarily on the efficient selection of features for quick and optimized detection rates using firefly and other nature-inspired optimization techniques. However, selecting the most appropriate features may be specific to the network, and a different set of features may work better than the selected one. Therefore, there is a need for a generalized pre-processing step based on the standard network monitoring parameters for the early detection of suspicious nodes before applying feature-based or any other type of monitoring. This paper proposes a modified version of the firefly optimization algorithm to effectively monitor the network by introducing a novel health function for the early detection of suspicious nodes. We implement event management schemes based on the proposed algorithm and optimize the observation priority list based on a genetic evolution algorithm for real-time events in the network. The obtained simulation results demonstrate the effectiveness of the proposed algorithm under various attack scenarios. In addition, the results indicate that the proposed method reduces approximately 60–80% of the number of suspicious nodes while increasing the turnaround time by only approximately 1–2%. The proposed method also focuses specifically on accurate network health monitoring to protect the network proactively. Full article
Show Figures

Figure 1

16 pages, 6658 KB  
Article
Designing a Situational Awareness Information Display: Adopting an Affordance-Based Framework to Amplify User Experience in Environmental Interaction Design
by Yingjie Victor Chen, Zhenyu Cheryl Qian and Weiran Tyki Lei
Informatics 2016, 3(2), 6; https://doi.org/10.3390/informatics3020006 - 9 Jun 2016
Cited by 7 | Viewed by 11183
Abstract
User experience remains a crucial consideration when assessing the successfulness of information visualization systems. The theory of affordances provides a robust framework for user experience design. In this article, we demonstrate a design case that employs an affordance-based framework and evaluate the information [...] Read more.
User experience remains a crucial consideration when assessing the successfulness of information visualization systems. The theory of affordances provides a robust framework for user experience design. In this article, we demonstrate a design case that employs an affordance-based framework and evaluate the information visualization display design. SolarWheels is an interactive information visualization designed for large display walls in computer network control rooms to help cybersecurity analysts become aware of network status and emerging issues. Given the critical nature of this context, the status and performance of a computer network must be precisely monitored and remedied in real time. In this study, we consider various aspects of affordances in order to amplify the user experience via visualization and interaction design. SolarWheels visualizes the multilayer multidimensional computer network issues with a series of integrated circular visualizations inspired by the metaphor of the solar system. To amplify user interaction and experience, the system provides a three-zone physical interaction that allows multiple users to interact with the system. Users can read details at different levels depending on their distance from the display. An expert evaluation study, based on a four-layer affordance framework, was conducted to assess and improve the interactive visualization design. Full article
(This article belongs to the Special Issue Human–Information Interaction)
Show Figures

Graphical abstract

Back to TopTop