Sign in to use this feature.

Years

Between: -

Subjects

remove_circle_outline
remove_circle_outline
remove_circle_outline
remove_circle_outline
remove_circle_outline

Journals

Article Types

Countries / Regions

Search Results (2)

Search Parameters:
Keywords = nanofluidic energy absorption system (NEAS)

Order results
Result details
Results per page
Select all
Export citation of selected articles as:
12 pages, 12637 KB  
Article
Study of Temperature Effect on Cascade Characteristics of Nanofluidic Energy Absorption System
by Yafei Zhang, Haitao Wang, Hongjiu Xiao, Shenlei Liu, Wenlan Wei and Yihua Dou
Appl. Sci. 2023, 13(14), 8150; https://doi.org/10.3390/app13148150 - 13 Jul 2023
Viewed by 1702
Abstract
Nanofluidic energy absorption system (NEAS) with cascade energy absorption characteristics can absorb energy on different levels simultaneously in one system, which greatly enriches its functions and applications. The pore structure and size distribution of porous media play a crucial role in the design [...] Read more.
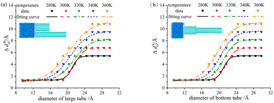
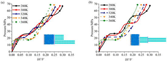
Nanofluidic energy absorption system (NEAS) with cascade energy absorption characteristics can absorb energy on different levels simultaneously in one system, which greatly enriches its functions and applications. The pore structure and size distribution of porous media play a crucial role in the design and construction of cascade nanofluidic systems. In this paper, two cascade pore models were constructed using carbon nanotubes with different diameters, one was the model of two tubes with both one end immersed in water (DNEAS), and the other was the model of two tubes end to end, with the end of the big tube immersed in water (SNEAS). The effects of temperature-coupled pore size on the infiltration processes of water molecules into two models were investigated. The fitting correlations between critical pore size difference and temperature were established. The microscopic mechanism of temperature effect was illuminated. With the increase in temperature, systems displaying cascade characteristics transformed into a single-stage system without cascade characteristics. Due to the significant size effect of system temperature, the critical pore difference increased with both system temperature and the pore size. The research results expanded the basic database of cascade nanofluidic systems and provided guidance for the application design of cascade nanofluidic systems. Full article
(This article belongs to the Section Nanotechnology and Applied Nanosciences)
Show Figures

Figure 1

14 pages, 4671 KB  
Article
Experimental Study on the Effects of Applied Electric Field on Liquid Infiltration into Hydrophobic Zeolite
by Yafei Zhang, Jiahua Zhang, Rui Luo and Yihua Dou
Energies 2023, 16(13), 5065; https://doi.org/10.3390/en16135065 - 30 Jun 2023
Cited by 4 | Viewed by 2313
Abstract
A nanofluidic energy absorption system (NEAS) is composed of nanoporous material and functional liquid with high energy absorption density. Applying an electric field to adjust the energy absorption characteristics of a nanofluidic system will open broader prospects for its application. In the current [...] Read more.
A nanofluidic energy absorption system (NEAS) is composed of nanoporous material and functional liquid with high energy absorption density. Applying an electric field to adjust the energy absorption characteristics of a nanofluidic system will open broader prospects for its application. In the current work, ZSM-5 zeolite was adopted as the nanoporous material and water, a 25% KCl solution, and a saturated KCl solution were adopted as functional liquids to configure NEASs. Pressure-induced infiltration experiments were carried out to study the infiltration and defiltration characteristics of the NEASs under the action of an applied electric field. The results show that the introduction of an applied electric field can weaken the hydrogen bonds between molecules, thus reducing the equivalent surface tension and contact angle, changing the infiltrability of liquid molecules into the nanopores, and reducing the infiltration pressure of the system. In an electrolyte solution/zeolite system, the anions and cations move close to the two plate electrodes under the action of an external electric field, and the fluid properties in the central zone of the pressure chamber are close to the water/zeolite system. For both an ultra-low conductivity liquid and an electrolyte solution/zeolite system, applying an electric field can effectively improve the relative outflow rate of liquid, thus improving the reusability of the system. Full article
(This article belongs to the Special Issue Nanomaterials for Advanced Energy Storage and Conversion)
Show Figures

Figure 1

Back to TopTop