Sign in to use this feature.

Years

Between: -

Subjects

remove_circle_outline
remove_circle_outline
remove_circle_outline
remove_circle_outline

Journals

Article Types

Countries / Regions

Search Results (4)

Search Parameters:
Keywords = monogyne

Order results
Result details
Results per page
Select all
Export citation of selected articles as:
13 pages, 523 KB  
Article
Underground Inter-Nest Tunnels of Red Imported Fire Ants, Solenopsis invicta: Physical Features and Associations with Colony and Environmental Factors
by Meihong Ni, Juli Lu, Xinyi Yang, Yiran Zheng, Yuan Wang and Mingxing Jiang
Insects 2025, 16(8), 835; https://doi.org/10.3390/insects16080835 - 13 Aug 2025
Viewed by 1162
Abstract
While foraging tunnels of the red imported fire ant, Solenopsis invicta, have been well studied, much less is known about the tunnels constructed between neighboring nests, despite their perceived importance in intra-colony exchange and collaboration. In this study, we investigated such tunnels [...] Read more.
While foraging tunnels of the red imported fire ant, Solenopsis invicta, have been well studied, much less is known about the tunnels constructed between neighboring nests, despite their perceived importance in intra-colony exchange and collaboration. In this study, we investigated such tunnels by excavating 80 pairs of nests (with distances of <1 m between nests) located in different types of habitats. For each pair of nests, we recorded the number of inter-nest tunnels and observed their shape, diameter, subsurface depth, and ant presence within them. Moreover, we analyzed the relationships between the probability of constructing inter-nest tunnels and several nest/habitat characteristics, including distance between nests, colony social form, nest size, soil type, and vegetation cover, as well as the relationships between tunnel numbers and these factors. The results show that the number of inter-nest tunnels ranges from one to 11. These tunnels open to the two nests at terminals, are elliptical in cross-section, <1.5 cm in diameter, and mostly at 1–3 cm (range 1–12 cm) subsurface depth. Among the 36 pairs of nests possessing tunnels, 31 pairs (86.1%) had worker or alate ants within their tunnels. Polygynous colonies are more likely (52.4%) to construct inter-nest tunnels than monogynous colonies (17.6%). Nest pairs that have a small nest, located in habitats with higher vegetation cover and loamy or sandy loam soil, tend to have inter-nest tunnels. We also showed that the capacity of constructing inter-nest tunnels falls in the regime similar to foraging tunnels. As nests were treated with chemicals, 33 nests were relocated and 47 new nests resulted within 2 weeks, but no definite tunnels were constructed between original nests and corresponding new nests. Our results highlight the significance of including such tunnels when analyzing intra-colony exchange, collaboration, and adaptive strategies in S. invicta. Uses of tunnels by fire ants during nest relocation, and the requirement of destroying them during control program implementation, were discussed. Full article
(This article belongs to the Special Issue Surveillance and Management of Invasive Insects)
Show Figures

Figure 1

16 pages, 5233 KB  
Article
Effects of Colony Breeding System and Nest Architecture on Soil Microbiome and Fertility in the Fungus-Growing Termite Macrotermes barneyi Light
by Jiachang Zhou, Wenquan Qin, Yang Zeng, Xin Huang, Jing Yuan, Yuting Yin, Paike Xu, Xiaohong Fan, Runfeng Zhang, Ganghua Li and Yinqi Zhang
Insects 2025, 16(5), 470; https://doi.org/10.3390/insects16050470 - 29 Apr 2025
Viewed by 1266
Abstract
Macrotermes barneyi is a typical fungus-growing termite that forms both monogynous (single queen) and polygynous (multiple queen) colonies in nature. This species influences the local soil fertility in part by redistributing nutrients across the landscape in its habitats. However, how the colony structure [...] Read more.
Macrotermes barneyi is a typical fungus-growing termite that forms both monogynous (single queen) and polygynous (multiple queen) colonies in nature. This species influences the local soil fertility in part by redistributing nutrients across the landscape in its habitats. However, how the colony structure of M. barneyi affects nutrient cycling and microbial communities within the nest is not well understood. In this study, we compared the physicochemical properties and microbial communities across nest parts between monogynous and polygynous colonies of M. barneyi. Our results showed that the fungus garden is the most nutrient-rich part of the nest, with higher soil moisture, organic matter, ammonium nitrogen, nitrate nitrogen, available sulfur, available potassium, available silicon, and available boron than other nest parts. Notably, the fungus garden in monogynous colonies had higher nitrate nitrogen, available sulfur, and available silicon than those in the polygynous colonies. The microbial α-diversity in the fungus garden was lower than that in other parts of the nest. β-diversity analysis revealed a clear separation of microbial communities between monogynous and polygynous colonies across nest parts. Furthermore, the relative abundance of functional genes associated with “cell cycle control, cell division, and chromosome partitioning” was higher in the fungus garden of polygynous colonies compared to monogynous colonies. Our results suggest that the fungus garden plays a crucial role in maintaining colony stability in M. barneyi colonies. The rapid depletion of nutrients in the fungus garden to sustain the larger population in polygynous colonies likely influences microbial community dynamics and nutrient cycling. Full article
(This article belongs to the Section Social Insects and Apiculture)
Show Figures

Figure 1

17 pages, 6726 KB  
Article
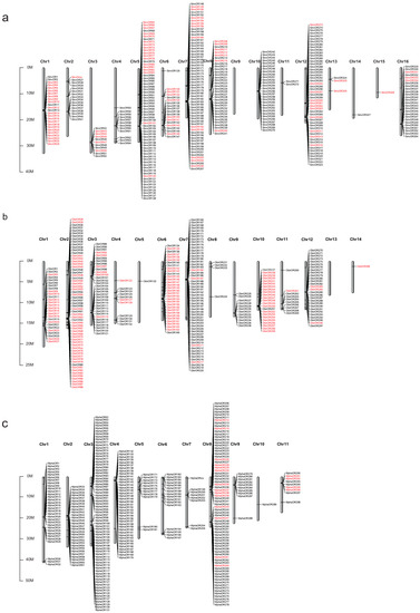
Genome-Wide Analysis of the Odorant Receptor Gene Family in Solenopsis invicta, Ooceraea biroi, and Monomorium pharaonis (Hymenoptera: Formicidae)
by Bo Zhang, Rong-Rong Yang, Xing-Chuan Jiang, Xiao-Xia Xu, Bing Wang and Gui-Rong Wang
Int. J. Mol. Sci. 2023, 24(7), 6624; https://doi.org/10.3390/ijms24076624 - 1 Apr 2023
Cited by 3 | Viewed by 3555
Abstract
Olfactory systems in eusocial insects play a vital role in the discrimination of various chemical cues. Odorant receptors (ORs) are critical for odorant detection, and this family has undergone extensive expansion in ants. In this study, we re-annotated the OR genes from the [...] Read more.
Olfactory systems in eusocial insects play a vital role in the discrimination of various chemical cues. Odorant receptors (ORs) are critical for odorant detection, and this family has undergone extensive expansion in ants. In this study, we re-annotated the OR genes from the most destructive invasive ant species Solenopsis invicta and 2 other Formicidae species, Ooceraea biroi and Monomorium pharaonis, with the aim of systematically comparing and analyzing the evolution and the functions of the ORs in ant species, identifying 356, 298, and 306 potential functional ORs, respectively. The evolutionary analysis of these ORs showed that ants had undergone chromosomal rearrangements and that tandem duplication may be the main contributor to the expansion of the OR gene family in S. invicta. Our further analysis revealed that 9-exon ORs had biased chromosome localization patterns in all three ant species and that a 9-exon OR cluster (SinvOR4–8) in S. invicta was under strong positive selection (Ka/Ks = 1.32). Moreover, we identified 5 S. invicta OR genes, namely SinvOR89, SinvOR102, SinvOR352, SinvOR327, and SinvOR135, with high sequence similarity (>70%) to the orthologs in O. biroi and M. pharaonis. An RT-PCR analysis was used to verify the antennal expression levels of these ORs, which showed caste-specific expression. The subsequent analysis of the antennal expression profiles of the ORs of the S. invicta workers from the polygyne and monogyne social forms indicated that SinvOR35 and SinvOR252 were expressed at much higher levels in the monogyne workers than in the polygyne workers and that SinvOR21 was expressed at higher levels in polygyne workers. Our study has contributed to the identification and analysis of the OR gene family in ants and expanded the understanding of the evolution and functions of the ORs in Formicidae species. Full article
(This article belongs to the Section Molecular Genetics and Genomics)
Show Figures

Figure 1

18 pages, 1227 KB  
Article
Bacterial Isolates Derived from Nest Soil Affect the Attraction and Digging Behavior of Workers of the Red Imported Fire Ant, Solenopsis invicta Buren
by Nicholas V. Travanty, Edward L. Vargo, Coby Schal, Charles S. Apperson and Loganathan Ponnusamy
Insects 2022, 13(5), 444; https://doi.org/10.3390/insects13050444 - 7 May 2022
Cited by 7 | Viewed by 3499
Abstract
Populations of monogyne and polygyne red imported fire ants (RIFA), Solenopsis invicta Buren, are distributed throughout the southern United States. This ant species is hazardous to farm animals and workers, damages infrastructure, and depletes native arthropod populations. Colony expansion is affected by several [...] Read more.
Populations of monogyne and polygyne red imported fire ants (RIFA), Solenopsis invicta Buren, are distributed throughout the southern United States. This ant species is hazardous to farm animals and workers, damages infrastructure, and depletes native arthropod populations. Colony expansion is affected by several biotic factors, but the effects of soil microbes on ant behavior related to soil excavation within nest sites have not been investigated. Consequently, we cultured bacteria from RIFA nest soils. The effects of individual bacterial isolates and bacterial cell densities on the choice of digging site as well as digging activity of monogyne and polygyne RIFA worker ants were evaluated in two-choice bioassays. Based on phylogenetic analysis, 17 isolates were selected and tested initially at 5 × 108 cells/mL and 20 workers per assay. Firmicutes (Bacillus, Paenibacillus, Brevibacillus) repelled the ants, but Arthrobacter woluwensis strongly attracted ants. Subsequently, the six isolates having the greatest positive or negative effects on ant behavior were evaluated at a lower bacterial cell and worker ant densities. Ant responses to these bacteria generally decreased as cell densities declined to 5 × 106 cells/mL. Observations of ant behavior during a three-hour, two-choice bioassay revealed that ants generally visited both control and bacteria-treated sand prior to making a digging site choice. Our research results indicate that soil bacteria may mediate ant nest expansion or relocation and foraging tunnel construction. Identification of bacterial metabolites that affect RIFA digging behavior merits additional research because these compounds may provide a basis for novel management strategies that repel RIFA away from sensitive infrastructure or attract fire ants to insecticidal baits. Full article
(This article belongs to the Section Insect Behavior and Pathology)
Show Figures

Figure 1

Back to TopTop