Sign in to use this feature.

Years

Between: -

Subjects

remove_circle_outline
remove_circle_outline
remove_circle_outline
remove_circle_outline
remove_circle_outline

Journals

Article Types

Countries / Regions

Search Results (4)

Search Parameters:
Keywords = micro-level vehicle emission estimation

Order results
Result details
Results per page
Select all
Export citation of selected articles as:
30 pages, 7670 KB  
Article
Comparative Analysis of Energy Consumption and Performance Metrics in Fuel Cell, Battery, and Hybrid Electric Vehicles Under Varying Wind and Road Conditions
by Ahmed Hebala, Mona I. Abdelkader and Rania A. Ibrahim
Technologies 2025, 13(4), 150; https://doi.org/10.3390/technologies13040150 - 9 Apr 2025
Cited by 4 | Viewed by 4027
Abstract
As global initiatives to reduce greenhouse gas emissions and combat climate change expand, electric vehicles (EVs) powered by fuel cells and lithium-ion batteries are gaining global recognition as solutions for sustainable transportation due to their high energy conversion efficiency. Considering the driving range [...] Read more.
As global initiatives to reduce greenhouse gas emissions and combat climate change expand, electric vehicles (EVs) powered by fuel cells and lithium-ion batteries are gaining global recognition as solutions for sustainable transportation due to their high energy conversion efficiency. Considering the driving range limitations of battery electric vehicles (BEVs) and the low efficiency of internal combustion engines (ICEs), fuel cell hybrid vehicles offer a compelling alternative for long-distance, low-emission driving with less refuelling time. To facilitate their wider scale adoption, it is essential to understand their energy performance through models that consider external weather effects, driving styles, road gradients, and their simultaneous interaction. This paper presents a microlevel, multicriteria assessment framework to investigate the performance of BEVs, fuel cell electric vehicles (FCEVs), and hybrid electric vehicles (HEVs), with a focus on energy consumption, drive systems, and emissions. Simulation models were developed using MATLAB 2021a Simulink environment, thus enabling the integration of standardized driving cycles with real-world wind and terrain variations. The results are presented for various trip scenarios, employing quantitative and qualitative analysis methods to identify the most efficient vehicle configuration, also validated through the simulation of three commercial EVs. Predictive modelling approaches are utilized to estimate a vehicle’s performance under unexplored conditions. Results indicate that trip conditions have a significant impact on the performance of all three vehicles, with HEVs emerging as the most efficient and balanced option, followed by FCEVs, making them strong candidates compared with BEVs for broader adoption in the transition toward sustainable transportation. Full article
(This article belongs to the Special Issue Next-Generation Distribution System Planning, Operation, and Control)
Show Figures

Figure 1

20 pages, 7400 KB  
Article
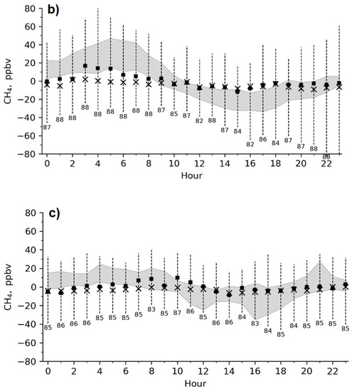
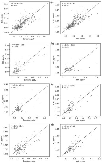
Atmospheric CH4 and Its Isotopic Composition (δ13C) in Urban Environment in the Example of Moscow, Russia
by Elena Berezina, Anastasia Vasileva, Konstantin Moiseenko, Natalia Pankratova, Andrey Skorokhod, Igor Belikov and Valery Belousov
Atmosphere 2023, 14(5), 830; https://doi.org/10.3390/atmos14050830 - 5 May 2023
Cited by 5 | Viewed by 2601
Abstract
Measurements of near-surface methane (CH4) mixing ratio and its stable isotope 13C were carried out from January 2018 to December 2020 at the A.M. Obukhov Institute of Atmospheric Physics (IAP) research site in the center of Moscow city. The data [...] Read more.
Measurements of near-surface methane (CH4) mixing ratio and its stable isotope 13C were carried out from January 2018 to December 2020 at the A.M. Obukhov Institute of Atmospheric Physics (IAP) research site in the center of Moscow city. The data show moderate interannual variations in monthly mean CH4 with maximum values being observed predominantly in winter (2.05–2.10 ppmv on average). The most δ13C depleted CH4 (up to −56‰) is observed in summer and autumn following seasonal decrease in traffic load in the city. The highest CH4 concentrations (>2.2 ppmv) were likely to be caused by air transport from the E–SE sector where potentially large microbial CH4 sources are located (landfills and water treatment plants, Moscow River). Keeling plots of these episodes in different seasons of 2018–2020 showed δ13C isotopic signatures of about −58–−59‰ for the spring–autumn period and −67‰ for winter. A good correlation was observed between CH4 and other pollutants: CO2, CO, and benzene in daytime (10:00–19:00) hours (R > 0.7). Contribution of urban methane emissions due to vehicle exhausts (∆[CH4]auto) and microbial activity (∆[CH4]micro+) along with regional baseline mixing ratios of CH4 ([CH4]base) and CO ([CO]base) were estimated from the linear orthogonal regression analyses of the measured daytime mixing ratios. A significant role of microbial methane in the formation of CH4 maximums in Moscow was revealed. Contributions of the upwind continental CH4 and CO sources to the measured species levels were estimated through comparison with the Mace Head site data representative for the Northern Hemisphere baseline air. The study provides, for the first time, important insights into the long- and short-term variations of CH4 levels in Moscow in connection to the local (urban) emissions and long-range transport from upwind continental sources. The results will contribute to elaboration of a default emission inventory in air quality modeling and help to identify the areas for targeted mitigation efforts. Full article
(This article belongs to the Section Air Quality)
Show Figures

Figure 1

19 pages, 28473 KB  
Article
A Study of a Miniature TDLAS System Onboard Two Unmanned Aircraft to Independently Quantify Methane Emissions from Oil and Gas Production Assets and Other Industrial Emitters
by Abigail Corbett and Brendan Smith
Atmosphere 2022, 13(5), 804; https://doi.org/10.3390/atmos13050804 - 14 May 2022
Cited by 36 | Viewed by 7080
Abstract
In recent years, industries such as oil and gas production, waste management, and renewable natural gas/biogas have made a concerted effort to limit and offset anthropogenic sources of methane emissions. However, the state of emissions, what is emitting and at what rate, is [...] Read more.
In recent years, industries such as oil and gas production, waste management, and renewable natural gas/biogas have made a concerted effort to limit and offset anthropogenic sources of methane emissions. However, the state of emissions, what is emitting and at what rate, is highly variable and depends strongly on the micro-scale emissions that have large impacts on the macro-scale aggregates. Bottom-up emissions estimates are better verified using additional independent facility-level measurements, which has led to industry-wide efforts such as the Oil and Gas Methane Partnership (OGMP) push for more accurate measurements. Robust measurement techniques are needed to accurately quantify and mitigate these greenhouse gas emissions. Deployed on both fixed-wing and multi-rotor unmanned aerial vehicles (UAVs), a miniature tunable diode laser absorption spectroscopy (TDLAS) sensor has accurately quantified methane emissions from oil and gas assets all over the world since 2017. To compare bottom-up and top-down measurements, it is essential that both values are accompanied with a defensible estimate of measurement uncertainty. In this study, uncertainty has been determined through controlled release experiments as well as statistically using real field data. Two independent deployment methods for quantifying methane emissions utilizing the in situ TDLAS sensor are introduced: fixed-wing and multi-rotor. The fixed-wing, long-endurance UAV method accurately measured emissions with an absolute percentage difference between emitted and mass flux measurement of less than 16% and an average error of 6%, confirming its suitability for offshore applications. For the quadcopter rotary drone surveys, two flight patterns were performed: perimeter polygons and downwind flux planes. Flying perimeter polygons resulted in an absolute error less than 36% difference and average error of 16.2%, and downwind flux planes less than 32% absolute difference and average difference of 24.8% when flying downwind flux planes. This work demonstrates the applicability of ultra-sensitive miniature spectrometers for industrial methane emission quantification at facility level with many potential applications. Full article
(This article belongs to the Special Issue Atmospheric Measurements Using Unmanned Systems)
Show Figures

Figure 1

18 pages, 3788 KB  
Article
Estimating Micro-Level On-Road Vehicle Emissions Using the K-Means Clustering Method with GPS Big Data
by Hyejung Hu, Gunwoo Lee, Jae Hun Kim and Hyunju Shin
Electronics 2020, 9(12), 2151; https://doi.org/10.3390/electronics9122151 - 15 Dec 2020
Cited by 8 | Viewed by 3271
Abstract
Due to the advanced spatial data collection technologies, the locations of vehicles on roads are now being collected nationwide, so there is a demand for applying a micro-level emission calculation methods to estimate regional and national emissions. However, it is difficult to apply [...] Read more.
Due to the advanced spatial data collection technologies, the locations of vehicles on roads are now being collected nationwide, so there is a demand for applying a micro-level emission calculation methods to estimate regional and national emissions. However, it is difficult to apply this method due to the low data collection rate and the complicated calculation procedure. To solve these problems, this study proposes a vehicle trajectory extraction method for estimating micro-level vehicle emissions using massive GPS data. We extracted vehicle trajectories from the GPS data to estimate the emission factors for each link at a specific time period. Vehicle trajectory data was divided into several groups through a k-means clustering method, in which the ratios of each operating mode were used as variables for clustering similar vehicle trajectories. The results showed that the proposed method has an acceptable accuracy in estimating emissions. Furthermore, it was also confirmed that the estimated emission factors appropriately reflected the driving characteristics of links. If the proposed method were utilized to update the link-based micro-level emission factors using continuously accumulated trajectory data for the road network, it would be possible to efficiently calculate the regional- or national-level emissions only using traffic volume. Full article
(This article belongs to the Special Issue AI-Based Transportation Planning and Operation)
Show Figures

Figure 1

Back to TopTop