Sign in to use this feature.

Years

Between: -

Subjects

remove_circle_outline
remove_circle_outline
remove_circle_outline
remove_circle_outline
remove_circle_outline

Journals

Article Types

Countries / Regions

Search Results (7)

Search Parameters:
Keywords = lock-ring synchronizer

Order results
Result details
Results per page
Select all
Export citation of selected articles as:
17 pages, 4572 KB  
Article
Optical Energy Increasing in a Synchronized Motif-Ring Array of Autonomous Erbium-Doped Fiber Lasers
by José Octavio Esqueda de la Torre, Juan Hugo García-López, Rider Jaimes-Reátegui, José Luis Echenausía-Monroy, Eric Emiliano López-Muñoz, Héctor Eduardo Gilardi-Velázquez and Guillermo Huerta-Cuellar
Quantum Beam Sci. 2024, 8(4), 27; https://doi.org/10.3390/qubs8040027 - 29 Oct 2024
Viewed by 1493
Abstract
This work investigates the enhancement of optical energy in the synchronized dynamics of three erbium-doped fiber lasers (EDFLs) that are diffusively coupled in a unidirectional ring configuration without the need for external pump modulation. Before the system shows stable high-energy pulses, different dynamic [...] Read more.
This work investigates the enhancement of optical energy in the synchronized dynamics of three erbium-doped fiber lasers (EDFLs) that are diffusively coupled in a unidirectional ring configuration without the need for external pump modulation. Before the system shows stable high-energy pulses, different dynamic behaviors can be observed in the dynamics of the coupled lasers. The evolution of the studied system was analyzed using different techniques for different values of coupling strength. The system shows the well-known dynamic behavior towards chaos at weak coupling, starting with a fixed point at low coupling and passing through Hopf and torus bifurcations as the coupling strength increases. An interesting finding emerged at high coupling strengths, where phase locking occurs between the frequencies of the three lasers of the system. This phase-locking leads to a significant increase in the peak energy of the EDFL pulses, effectively converting the emission into short, high amplitude pulses. With this method, it is possible to significantly increase the peak energy of the laser compared to a continuous EDFL single pulse. Full article
(This article belongs to the Section High-Power Laser Physics)
Show Figures

Figure 1

12 pages, 3004 KB  
Article
A High FoM and Low Phase Noise Edge-Injection-Based Ring Oscillator in 350 nm CMOS for Sub-GHz ADPLL Applications
by Khalil Yousef and Ahmed Alzahmi
Electronics 2023, 12(18), 3769; https://doi.org/10.3390/electronics12183769 - 6 Sep 2023
Cited by 1 | Viewed by 2512
Abstract
This paper presents an injection locked digitally controlled ring oscillator (IL-DCRO). To reduce jitter variations, minimize oscillator spurious signals, and eliminate periodical phase error, a double edge-injection (window injection) scheme with synchronized edge directions is proposed. A combinational edge generator is utilized to [...] Read more.
This paper presents an injection locked digitally controlled ring oscillator (IL-DCRO). To reduce jitter variations, minimize oscillator spurious signals, and eliminate periodical phase error, a double edge-injection (window injection) scheme with synchronized edge directions is proposed. A combinational edge generator is utilized to substitute the sequential edge generators for injection timing requirements relaxation. By biasing devices in deep triode, digitally controlled delay cells currents are adopted for frequency tuning. This helps reducing the devices flicker (1/f) noise and minimize the DCRO overall phase noise. At 1 MHz offset of frequency, the proposed oscillator has a measured phase noise of −125.95 dBc/Hz and −115.6 dBc/Hz at oscillation frequencies of 913.4 MHz and 432.6 MHz, respectively. Fabricated in 350 nm CMOS process, with a maximum power consumption of 3.3 mW, and oscillating at 913.4 MHz, this DCRO achieves a tuned oscillator figure of merit (FoM) of −197.35 dBc/Hz. The core area of this edge-injection-based DRCO is only 0.08 mm2. Full article
(This article belongs to the Section Microelectronics)
Show Figures

Figure 1

13 pages, 3630 KB  
Article
A Carrier Synchronization Lock Detector Based on Weighted Detection Statistics for APSK Signals
by Yaoyao Li, Xuesen Shi, Jie Zhan and Yongqing Wang
Electronics 2023, 12(1), 119; https://doi.org/10.3390/electronics12010119 - 27 Dec 2022
Cited by 3 | Viewed by 1689
Abstract
To solve the application limitations of conventional detectors caused by discrete phase distribution of high-order APSK signals, and the problem that the detection performance will degrade when the automatic control gain is unideal, a carrier synchronization lock detector based on weighted detection statistics [...] Read more.
To solve the application limitations of conventional detectors caused by discrete phase distribution of high-order APSK signals, and the problem that the detection performance will degrade when the automatic control gain is unideal, a carrier synchronization lock detector based on weighted detection statistics is proposed for APSK signals. Based on the detection statistics of the Linn detector, the proposed detector calculates a weighted factor according to the amplitude difference of the signal on the APSK constellation to adjust the weight of detection statistics for different rings. The proposed detector solves the detection performance degradation problem of the Linn detector caused by uneven phase distribution. In order to further improve detection performance, the detection threshold and statistical signal length are reasonably designed. The expectation and variance properties are derived, and the lock detection probability is analyzed. The performance of the proposed detector is verified through simulations. Simulation results show that the proposed carrier synchronization lock detector has better performance than the Linn detector. Full article
Show Figures

Figure 1

18 pages, 3319 KB  
Review
Synchronously Intracavity-Pumped Picosecond Optical Parametric Oscillators for Sensors
by Alena Zavadilová, Václav Kubeček and David Vyhlídal
Sensors 2022, 22(9), 3200; https://doi.org/10.3390/s22093200 - 21 Apr 2022
Cited by 3 | Viewed by 2755
Abstract
The research and development of laser systems for intracavity phase interferometry is described. These systems are based on an intracavity synchronously pumped optical parametric oscillator (OPO), enabling the generation of two trains of picosecond pulses inside a single cavity. In such a configuration, [...] Read more.
The research and development of laser systems for intracavity phase interferometry is described. These systems are based on an intracavity synchronously pumped optical parametric oscillator (OPO), enabling the generation of two trains of picosecond pulses inside a single cavity. In such a configuration, it is possible to measure the beat note frequency between two pulses and to very precisely determine the phase difference between them. The pump source is a diode-pumped passively mode-locked Nd:YVO4 laser. A periodically poled magnesium-doped lithium niobate crystal is used as the optical parametric oscillator crystal coupling the pump and the signal cavities. We designed a synchronously pumped OPO in a linear and ring cavity configuration allowing generation in a dual-pulse regime. By a mutual detuning of both cavity lengths, the quasi-synchronous regime of pumping was achieved and high harmonics of repetition rate frequencies were generated. Such a system can be useful for applications such as pump-probe spectroscopy or for testing telecommunication systems. We also realized the subharmonic OPO cavity as a source of two independent trains of picosecond pulses suitable for intracavity phase interferometry; we also measured the beat note signal. Full article
(This article belongs to the Special Issue Optical Sensors, Pushing the Limits)
Show Figures

Figure 1

18 pages, 39550 KB  
Article
Behavioral Analysis and Immunity Design of the RO-Based TRNG under Electromagnetic Interference
by Zhiwen Zhang and Tao Su
Electronics 2021, 10(11), 1347; https://doi.org/10.3390/electronics10111347 - 4 Jun 2021
Cited by 1 | Viewed by 3201
Abstract
True random-number generators based on ring oscillators (RO-based TRNG) are widely used in the field of information encryption because of their simple structure and compatibility with CMOS technology. However, radiated or conducted electromagnetic interference can dramatically deteriorate the randomness of the output bitstream [...] Read more.
True random-number generators based on ring oscillators (RO-based TRNG) are widely used in the field of information encryption because of their simple structure and compatibility with CMOS technology. However, radiated or conducted electromagnetic interference can dramatically deteriorate the randomness of the output bitstream of the RO-based TRNG, which poses a great threat to security. Traditional research focuses on the innovation of the means of attack and the detection of circuit states. There is a lack of research on the interference mechanism and anti-interference countermeasures. In this paper, the response of the RO array to electromagnetic interference was analyzed, and the concept of synchronous locking was proposed to describe the locking scene of multiple ROs. On the basis of synchronous locking, the RF immunity of the RO-based TRNG was modeled, which can explain the degradation mechanism of bitstream randomness under RFI. Moreover, the design method of gate-delay differentiation is presented to improve the RF immunity of the RO-based TRNG at a low cost. Both transistor-level simulation and board-level measurement proved the rationality of this scheme. Full article
(This article belongs to the Section Microelectronics)
Show Figures

Figure 1

15 pages, 3280 KB  
Article
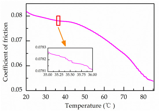
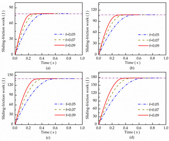
Friction Coefficient Compensation Control in Synchronizer Synchronization Process for Transmission
by Hao Yan, Zhaoping Xu, Juntang Yuan, Meiyan Liu and Wenqing Ge
Appl. Sci. 2019, 9(15), 3096; https://doi.org/10.3390/app9153096 - 31 Jul 2019
Cited by 6 | Viewed by 4430
Abstract
In the synchronization process of a synchronizer, the friction coefficient of the friction cone is changed because of friction heat. In this paper, the influence of a changing friction coefficient on shift quality was analyzed. The quantitative relationship between friction coefficient and its [...] Read more.
In the synchronization process of a synchronizer, the friction coefficient of the friction cone is changed because of friction heat. In this paper, the influence of a changing friction coefficient on shift quality was analyzed. The quantitative relationship between friction coefficient and its influencing factors was studied through a synchronizer synchronization process test bench. Based on the quantitative analysis and an optimal shift force control method, a compensation control strategy for friction coefficient was established. Moreover, the effectiveness of the compensation control was verified through simulation and experiment. The results showed that the friction coefficient was maintained near the expected value of 0.08 after the compensation control, the shifting speed difference the synchronous time was shortened by nearly 0.12 s, and the sliding friction was reduced by 4.64 J under the experimental conditions. The analysis and compensation of the friction coefficient provide a theoretical reference for improving shift quality. Full article
(This article belongs to the Section Mechanical Engineering)
Show Figures

Figure 1

22 pages, 3531 KB  
Article
Mutually Coupled Time-to-Digital Converters (TDCs) for Direct Time-of-Flight (dTOF) Image Sensors
by Augusto Ronchini Ximenes, Preethi Padmanabhan and Edoardo Charbon
Sensors 2018, 18(10), 3413; https://doi.org/10.3390/s18103413 - 11 Oct 2018
Cited by 16 | Viewed by 7539
Abstract
Direct time-of-flight (dTOF) image sensors require accurate and robust timing references for precise depth calculation. On-chip timing references are well-known and understood, but for imaging systems where several thousands of pixels require seamless references, area and power consumption limit the use of more [...] Read more.
Direct time-of-flight (dTOF) image sensors require accurate and robust timing references for precise depth calculation. On-chip timing references are well-known and understood, but for imaging systems where several thousands of pixels require seamless references, area and power consumption limit the use of more traditional synthesizers, such as phase/delay-locked loops (PLLs/DLLs). Other methods, such as relative timing measurement (start/stop), require constant foreground calibration, which is not feasible for outdoor applications, where conditions of temperature, background illumination, etc. can change drastically and frequently. In this paper, a scalable reference generation and synchronization is provided, using minimum resources of area and power, while being robust to mismatches. The suitability of this approach is demonstrated through the design of an 8 × 8 time-to-digital converter (TDC) array, distributed over 1.69 mm2, fabricated using TSMC 65 nm technology (1.2 V core voltage and 4 metal layers—3 thin + 1 thick). Each TDC is based on a ring oscillator (RO) coupled to a ripple counter, occupying a very small area of 550 μ m2, while consuming 500 μ W of power, and has 2 μ s range, 125 ps least significant bit (LSB), and 14-bit resolution. Phase and frequency locking among the ROs is achieved, while providing 18 dB phase noise improvement over an equivalent individual oscillator. The integrated root mean square (RMS) jitter is less than 9 ps, the instantaneous frequency variation is less than 0.11%, differential nonlinearity (DNL) is less than 2 LSB, and integral nonlinearity (INL) is less than 3 LSB. Full article
(This article belongs to the Special Issue The International SPAD Sensor Workshop)
Show Figures

Figure 1

Back to TopTop