Sign in to use this feature.

Years

Between: -

Subjects

remove_circle_outline
remove_circle_outline
remove_circle_outline

Journals

Article Types

Countries / Regions

Search Results (3)

Search Parameters:
Keywords = knee joint innervation

Order results
Result details
Results per page
Select all
Export citation of selected articles as:
13 pages, 1938 KB  
Article
Erosion of Stumble Correction Evoked with Superficial Peroneal Nerve Stimulation in Older Adults during Walking
by Ryan Brodie, Marc Klimstra, Drew Commandeur and Sandra Hundza
J. Funct. Morphol. Kinesiol. 2024, 9(2), 94; https://doi.org/10.3390/jfmk9020094 - 27 May 2024
Viewed by 1488
Abstract
In healthy young adults, electrical stimulation of the superficial peroneal cutaneous nerve (SPn) innervating the dorsum of the foot has been shown to elicit functionally relevant reflexes during walking that are similar to those evoked by mechanical perturbation to the dorsum of the [...] Read more.
In healthy young adults, electrical stimulation of the superficial peroneal cutaneous nerve (SPn) innervating the dorsum of the foot has been shown to elicit functionally relevant reflexes during walking that are similar to those evoked by mechanical perturbation to the dorsum of the foot during walking and are referred to as stumble corrective (obstacle avoidance) responses. Though age-related differences in reflexes induced by mechanical perturbation have been studied, toe clearance has not been measured. Further, age-related differences in reflexes evoked by electrical stimulation of SPn have yet to be determined. Thus, the purpose of this study was to characterize age-related differences between healthy young adults and older adults with no history of falls in stumble correction responses evoked by electrical stimulation of the SPn at the ankle during walking. Toe clearance relative to the walking surface along with joint displacement and angular velocity at the ankle and knee and EMG of the tibialis anterior, medial gastrocnemius, biceps femoris and vastus lateralis were measured. The combined background and reflex toe clearance was reduced in the older adults compared with the young in mid-early swing (p = 0.011). These age-related differences likely increase fall risk in the older adult cohort. Further, age-related changes were seen in joint kinematics and EMG in older adults compared with the young such as decreased amplitude of the plantarflexion reflex in early swing in older adults (p < 0.05). These altered reflexes reflect the degradation of the stumble corrective response in older adults. Full article
(This article belongs to the Special Issue Biomechanics and Neuromuscular Control of Gait and Posture)
Show Figures

Figure 1

9 pages, 2966 KB  
Article
Is the Numbness after Knee Replacement a More Critical Complication Than Thought? A Detailed Analysis of Neuropathic Pain and Functional Outcomes
by Deniz Gurler and Ismail Buyukceran
Medicina 2022, 58(10), 1369; https://doi.org/10.3390/medicina58101369 - 29 Sep 2022
Cited by 1 | Viewed by 7848
Abstract
Background and Objectives: Numbness, one of the complications after knee replacement (KR), has been studied far less than other complications, and there are few studies on this topic. Without comprehensive research on numbness, there is a need to design a study that [...] Read more.
Background and Objectives: Numbness, one of the complications after knee replacement (KR), has been studied far less than other complications, and there are few studies on this topic. Without comprehensive research on numbness, there is a need to design a study that includes all relevant parameters. This study investigated the relationship between numbness and pain and neuropathic pain and its impact on functional and emotional life and the functioning of the knee. Materials and Methods: The 105 knees with KRs were divided anteriorly into six regions. Numbness was determined with a pinprick test. Douleur Neuropathique 4 (DN4) and a painDETECT questionnaire (PD-Q) were tested for neuropathic pain. Patients’ physical, emotional, and social status and functional knee abilities were assessed with the Short Form (SF-36) and the Western Ontario and McMaster Universities Osteoarthritis Index (WOMAC) test. The relationships between numbness and gender, age, bilaterality, postoperative follow-up time, and incision measures were examined. The binomial logistic regression model was applied to investigate the effects of age, gender, bilaterality, incision length, and postoperative follow-up time on numbness. Results: A total of 88.6% of the patients were female, half had bilateral KRs, and the mean age was 68.3 years. Numbness occurred more frequently in the L3 and L2 areas than in other regions. There was no association with gender, bilaterality, and age, but there was a weak association with postoperative follow-up time. There was a positive correlation between numbness and neuropathic pain. It has been found that there is a significant relationship between numbness and physical function, and it has a negative effect. Emotional health was not significantly associated with numbness. The effect of numbness on social functioning was statistically significant. Knee functioning was measured with the WOMAC, and significant differences were found in the numbness group. Conclusions: According to the results, numbness is considered to be a complication that affects social and physical life and has a negative impact on functional outcomes of the knee. The results show that it should be considered a statistically significant complication. Numbness and its indirect effects should be considered in patients whose follow-up parameters are normal over one year but whose symptoms do not resolve. Full article
(This article belongs to the Special Issue Knee Replacement: Complications and Associated Diseases)
Show Figures

Figure 1

12 pages, 1800 KB  
Communication
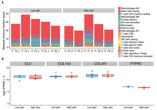
Pain-Associated Transcriptome Changes in Synovium of Knee Osteoarthritis Patients
by Anna Bratus-Neuenschwander, Francesc Castro-Giner, Mojca Frank-Bertoncelj, Sirisha Aluri, Sandro F. Fucentese, Ralph Schlapbach and Haiko Sprott
Genes 2018, 9(7), 338; https://doi.org/10.3390/genes9070338 - 4 Jul 2018
Cited by 41 | Viewed by 5473
Abstract
Joint pain causes significant morbidity in osteoarthritis (OA). The aetiology of joint pain in OA is not well understood. The synovial membrane as an innervated joint structure represents a potential source of peripheral pain in OA. Here we analyse, using a hypothesis-free next [...] Read more.
Joint pain causes significant morbidity in osteoarthritis (OA). The aetiology of joint pain in OA is not well understood. The synovial membrane as an innervated joint structure represents a potential source of peripheral pain in OA. Here we analyse, using a hypothesis-free next generation RNA sequencing, the differences in protein-coding and non-coding transcriptomes in knee synovial tissues from OA patients with high knee pain (n = 5) compared with OA patients with low knee pain (n = 5), as evaluated by visual analogue scale (VAS). We conduct Gene Ontology and pathway analyses on differentially expressed mRNA genes. We identify new protein-coding, long non-coding RNA and microRNA candidates that can be associated with OA joint pain. Top enriched genes in painful OA knees encode neuronal proteins that are known to promote neuronal survival under cellular stress or participate in calcium-dependent synaptic exocytosis and modulation of GABA(γ-aminobutyric acid)ergic activity. Our study uncovers transcriptome changes associated with pain in synovial microenvironment of OA knees. This sets a firm ground for future mechanistic studies and drug discovery to alleviate joint pain in OA. Full article
(This article belongs to the Section Human Genomics and Genetic Diseases)
Show Figures

Figure 1

Back to TopTop