Pain-Associated Transcriptome Changes in Synovium of Knee Osteoarthritis Patients
Abstract
1. Introduction
2. Materials and Methods
2.1. Patient Information
2.2. Sample Collection and Total RNA Extraction
2.3. Next Generation Sequencing
2.4. Data Analysis
3. Results
3.1. Protein-Coding Transcriptome and Gene Enrichment Analysis
3.2. Noncoding Transcriptome
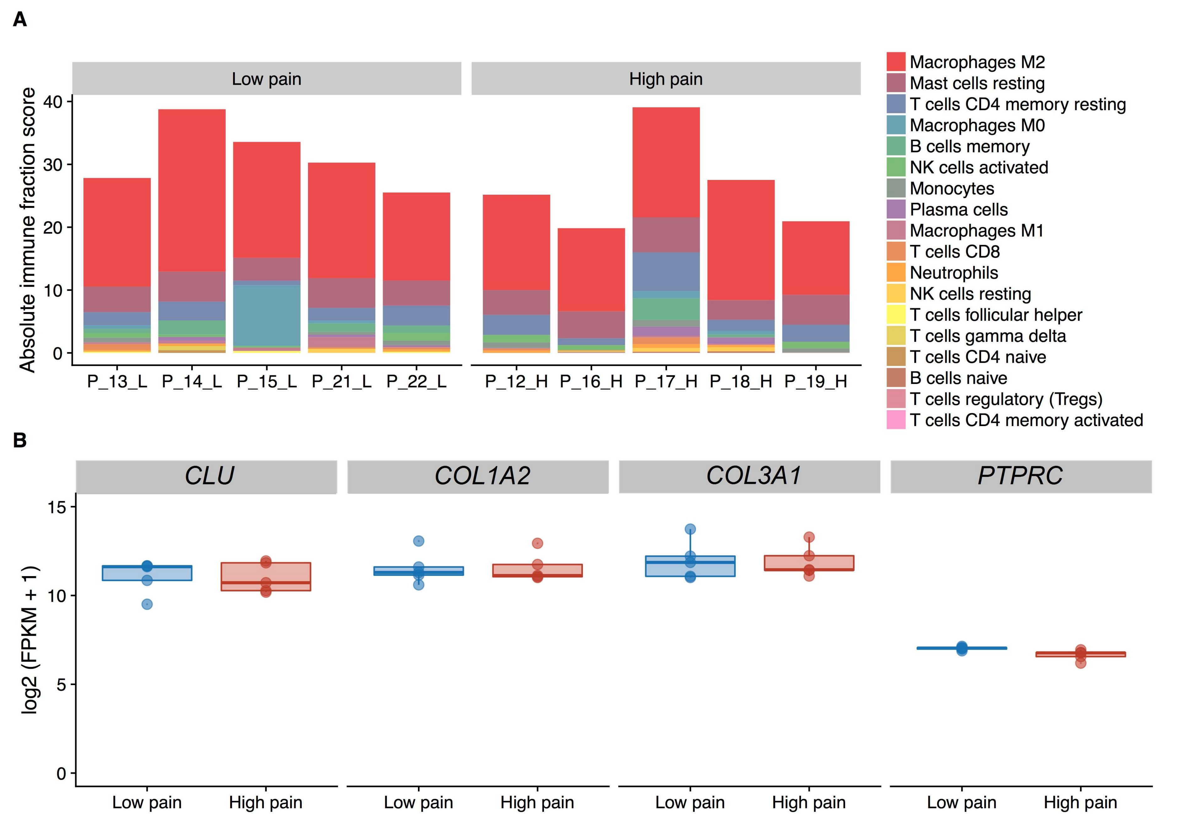
3.3. Deconvolution Analysis of Harvested Synovial Tissue
4. Discussion
5. Conclusions
Supplementary Materials
Author Contributions
Acknowledgments
Conflicts of Interest
References
- March, L.M.; Bachmeier, C.J. Economics of osteoarthritis: A global perspective. Baillieres Clin. Rheumatol. 1997, 11, 817–834. [Google Scholar] [CrossRef]
- White, D.K.; Master, H. Patient-reported measures of physical function in knee osteoarthritis. Rheum. Dis. Clin. 2016, 42, 239–252. [Google Scholar] [CrossRef] [PubMed]
- Jones, G. What’s new in osteoarthritis pathogenesis? Intern. Med. J. 2016, 46, 229–236. [Google Scholar] [CrossRef] [PubMed]
- Hunter, D.J.; McDougall, J.J.; Keefe, F.J. The symptoms of osteoarthritis and the genesis of pain. Rheum. Dis. Clin. 2008, 34, 623–643. [Google Scholar] [CrossRef] [PubMed]
- Kidd, B.L. Osteoarthritis and joint pain. Pain 2006, 123, 6–9. [Google Scholar] [CrossRef] [PubMed]
- Dieppe, P.A.; Lohmander, L.S. Pathogenesis and management of pain in osteoarthritis. Lancet 2005, 365, 965–973. [Google Scholar] [CrossRef]
- Pincus, T.; Block, J.A. Pain and radiographic damage in osteoarthritis. BMJ 2009, 339, b2802. [Google Scholar] [CrossRef] [PubMed]
- Lee, Y.C.; Nassikas, N.J.; Clauw, D.J. The role of the central nervous system in the generation and maintenance of chronic pain in rheumatoid arthritis, osteoarthritis and fibromyalgia. Arthritis Res. Ther. 2011, 13, 211. [Google Scholar] [CrossRef] [PubMed]
- Schaible, H.G.; Richter, F.; Ebersberger, A.; Boettger, M.K.; Vanegas, H.; Natura, G.; Vazquez, E.; Segond von Banchet, G. Joint pain. Exp. Brain Res. 2009, 196, 153–162. [Google Scholar] [CrossRef] [PubMed]
- Wen, Z.H.; Chang, Y.C.; Jean, Y.H. Excitatory amino acid glutamate: Role in peripheral nociceptive transduction and inflammation in experimental and clinical osteoarthritis. Osteoarthr. Cartil. 2015, 23, 2009–2016. [Google Scholar] [CrossRef] [PubMed]
- Kidd, B.L.; Photiou, A.; Inglis, J.J. The role of inflammatory mediators on nociception and pain in arthritis. In Novartis Foundation Symposium; John Wiley: Chichester; NY, USA, 2004; Volume 260, pp. 122–133. [Google Scholar]
- Sellam, J.; Berenbaum, F. The role of synovitis in pathophysiology and clinical symptoms of osteoarthritis. Nat. Rev. Rheumatol. 2010, 6, 625–635. [Google Scholar] [CrossRef] [PubMed]
- Klein, K.; Aeschlimann, A.; Jordan, S.; Gay, R.; Gay, S.; Sprott, H. ATP induced brain-derived neurotrophic factor expression and release from osteoarthritis synovial fibroblasts is mediated by purinergic receptor p2x4. PLoS ONE 2012, 7, e36693. [Google Scholar] [CrossRef] [PubMed]
- Bratus, A.; Aeschlimann, A.; Russo, G.; Sprott, H. Candidate gene approach in genetic epidemiological studies of osteoarthritis-related pain. Pain 2014, 155, 217–221. [Google Scholar] [CrossRef] [PubMed]
- Kellgren, J.H.; Lawrence, J.S. Radiological assessment of osteo-arthrosis. Ann. Rheum. Dis. 1957, 16, 494–502. [Google Scholar] [CrossRef] [PubMed]
- Li, B.; Dewey, C.N. RSEM: Accurate transcript quantification from RNA-Seq data with or without a reference genome. BMC Bioinform. 2011, 12, 323. [Google Scholar] [CrossRef] [PubMed]
- Chen, C.J.; Servant, N.; Toedling, J.; Sarazin, A.; Marchais, A.; Duvernois-Berthet, E.; Cognat, V.; Colot, V.; Voinnet, O.; Heard, E.; et al. ncPRO-seq: A tool for annotation and profiling of ncRNAs in sRNA-seq data. Bioinformatics 2012, 28, 3147–3149. [Google Scholar] [CrossRef] [PubMed]
- Griffiths-Jones, S.; Saini, H.K.; van Dongen, S.; Enright, A.J. miRBase: tools for microRNA genomics. Nucleic Acids Res. 2008, 36, D154–D158. [Google Scholar] [CrossRef] [PubMed]
- Nawrocki, E.P.; Burge, S.W.; Bateman, A.; Daub, J.; Eberhardt, R.Y.; Eddy, S.R.; Floden, E.W.; Gardner, P.P.; Jones, T.A.; Tate, J.; et al. Rfam 12.0: Updates to the RNA families database. Nucleic Acids Res. 2015, 43, D130–D137. [Google Scholar] [CrossRef] [PubMed]
- Robinson, M.D.; McCarthy, D.J.; Smyth, G.K. Edger: A bioconductor package for differential expression analysis of digital gene expression data. Bioinformatics 2010, 26, 139–140. [Google Scholar] [CrossRef] [PubMed]
- Benjamini, Y.; Hochberg, Y. Controlling the false discovery rate: A practical and powerful approach to multiple testing. J. R. Stat. Soc. Ser. B Stat. Methodol. 1995, 57, 289–300. [Google Scholar]
- Mi, H.; Poudel, S.; Muruganujan, A.; Casagrande, J.T.; Thomas, P.D. Panther version 10: Expanded protein families and functions, and analysis tools. Nucleic Acids Res. 2016, 44, D336–D342. [Google Scholar] [CrossRef] [PubMed]
- Supek, F.; Bosnjak, M.; Skunca, N.; Smuc, T. Revigo summarizes and visualizes long lists of gene ontology terms. PLoS ONE 2011, 6, e21800. [Google Scholar] [CrossRef] [PubMed]
- Mootha, V.K.; Lindgren, C.M.; Eriksson, K.F.; Subramanian, A.; Sihag, S.; Lehar, J.; Puigserver, P.; Carlsson, E.; Ridderstrale, M.; Laurila, E.; et al. PGC-1alpha-responsive genes involved in oxidative phosphorylation are coordinately downregulated in human diabetes. Nat. Genet. 2003, 34, 267–273. [Google Scholar] [CrossRef] [PubMed]
- Subramanian, A.; Tamayo, P.; Mootha, V.K.; Mukherjee, S.; Ebert, B.L.; Gillette, M.A.; Paulovich, A.; Pomeroy, S.L.; Golub, T.R.; Lander, E.S.; et al. Gene set enrichment analysis: A knowledge-based approach for interpreting genome-wide expression profiles. Proc. Natl. Acad. Sci. USA 2005, 102, 15545–15550. [Google Scholar] [CrossRef] [PubMed]
- Newman, A.M.; Liu, C.L.; Green, M.R.; Gentles, A.J.; Feng, W.; Xu, Y.; Hoang, C.D.; Diehn, M.; Alizadeh, A.A. Robust enumeration of cell subsets from tissue expression profiles. Nat. Methods 2015, 12, 453–457. [Google Scholar] [CrossRef] [PubMed]
- Stephenson, W.; Donlin, L.T.; Butler, A.; Rozo, C.; Bracken, B.; Rashidfarrokhi, A.; Goodman, S.M.; Ivashkiv, L.B.; Bykerk, V.P.; Orange, D.E.; et al. Single-cell RNA-seq of rheumatoid arthritis synovial tissue using low-cost microfluidic instrumentation. Nat. Commun. 2018, 9, 791. [Google Scholar] [CrossRef] [PubMed]
- Hawker, G.A.; Mian, S.; Kendzerska, T.; French, M. Measures of adult pain: Visual Analog Scale for Pain (VAS Pain), Numeric Rating Scale for Pain (NRS pain), Mcgill Pain Questionnaire (MPQ), Short-Form Mcgill Pain Questionnaire (SF-MPQ), Chronic Pain Grade Scale (CPGS), Short Form-36 Bodily Pain Scale (SF-36 BPS), and Measure of Intermittent and Constant Osteoarthritis Pain (ICOAP). Arthritis Care Res. (Hoboken) 2011, 63 (Suppl. 11), S240–S252. [Google Scholar] [PubMed]
- Karabis, A.; Nikolakopoulos, S.; Pandhi, S.; Papadimitropoulou, K.; Nixon, R.; Chaves, R.L.; Moore, R.A. High correlation of VAS pain scores after 2 and 6 weeks of treatment with VAS pain scores at 12 weeks in randomised controlled trials in rheumatoid arthritis and osteoarthritis: Meta-analysis and implications. Arthritis Res. Ther. 2016, 18, 73. [Google Scholar] [CrossRef] [PubMed]
- Descalzi, G.; Mitsi, V.; Purushothaman, I.; Gaspari, S.; Avrampou, K.; Loh, Y.E.; Shen, L.; Zachariou, V. Neuropathic pain promotes adaptive changes in gene expression in brain networks involved in stress and depression. Sci. Signal. 2017, 10. [Google Scholar] [CrossRef] [PubMed]
- Lei, J.X.; Cassone, C.G.; Luebbert, C.; Liu, Q.Y. A novel neuron-enriched protein SDIM1 is down regulated in Alzheimer’s brains and attenuates cell death induced by DNAJB4 over-expression in neuro-progenitor cells. Mol. Neurodegener. 2011, 6, 9. [Google Scholar] [CrossRef] [PubMed]
- Cheng, Y.; Cawley, N.X.; Loh, Y.P. Carboxypeptidase E (NF-α1): A new trophic factor in neuroprotection. Neurosci. Bull. 2014, 30, 692–696. [Google Scholar] [CrossRef] [PubMed]
- Almeida, R.D.; Manadas, B.J.; Melo, C.V.; Gomes, J.R.; Mendes, C.S.; Graos, M.M.; Carvalho, R.F.; Carvalho, A.P.; Duarte, C.B. Neuroprotection by BDNF against glutamate-induced apoptotic cell death is mediated by ERK and PI3-kinase pathways. Cell Death Differ. 2005, 12, 1329–1343. [Google Scholar] [CrossRef] [PubMed]
- Johnson-Farley, N.N.; Patel, K.; Kim, D.; Cowen, D.S. Interaction of FGF-2 with IGF-1 and BDNF in stimulating Akt, ERK, and neuronal survival in hippocampal cultures. Brain Res. 2007, 1154, 40–49. [Google Scholar] [CrossRef] [PubMed]
- Roux, I.; Safieddine, S.; Nouvian, R.; Grati, M.; Simmler, M.C.; Bahloul, A.; Perfettini, I.; Le Gall, M.; Rostaing, P.; Hamard, G.; et al. Otoferlin, defective in a human deafness form, is essential for exocytosis at the auditory ribbon synapse. Cell 2006, 127, 277–289. [Google Scholar] [CrossRef] [PubMed]
- Wu, W.; Rahman, M.N.; Guo, J.; Roy, N.; Xue, L.; Cahill, C.M.; Zhang, S.; Jia, Z. Function coupling of otoferlin with GAD65 acts to modulate GABAergic activity. J. Mol. Cell Biol. 2015, 7, 168–179. [Google Scholar] [CrossRef] [PubMed]
- Cederquist, G.Y.; Luchniak, A.; Tischfield, M.A.; Peeva, M.; Song, Y.; Menezes, M.P.; Chan, W.M.; Andrews, C.; Chew, S.; Jamieson, R.V.; et al. An inherited TUBB2B mutation alters a kinesin-binding site and causes polymicrogyria, CFEOM and axon dysinnervation. Hum. Mol. Genet. 2012, 21, 5484–5499. [Google Scholar] [CrossRef] [PubMed]
- Lipina, T.V.; Prasad, T.; Yokomaku, D.; Luo, L.; Connor, S.A.; Kawabe, H.; Wang, Y.T.; Brose, N.; Roder, J.C.; Craig, A.M. Cognitive deficits in Calsyntenin-2-deficient mice associated with reduced GABAergic transmission. Neuropsychopharmacology 2016, 41, 802–810. [Google Scholar] [CrossRef] [PubMed]
- Pannecoeck, R.; Serruys, D.; Benmeridja, L.; Delanghe, J.R.; van Geel, N.; Speeckaert, R.; Speeckaert, M.M. Vascular adhesion protein-1: Role in human pathology and application as a biomarker. Crit. Rev. Clin. Lab. Sci. 2015, 52, 284–300. [Google Scholar] [CrossRef] [PubMed]
- Stepp, M.W.; Folz, R.J.; Yu, J.; Zelko, I.N. The c10orf10 gene product is a new link between oxidative stress and autophagy. Biochim. Biophys. Acta 2014, 1843, 1076–1088. [Google Scholar] [CrossRef] [PubMed]
- Li, X.; Gibson, G.; Kim, J.S.; Kroin, J.; Xu, S.; van Wijnen, A.J.; Im, H.J. MicroRNA-146a is linked to pain-related pathophysiology of osteoarthritis. Gene 2011, 480, 34–41. [Google Scholar] [CrossRef] [PubMed]

| Patient No. | Sex | Age | Nationality | Smoking Status | Drug Therapy | Classes of Medicaments | Recommended Procedure for Surgery | Degree of Radiographic Changes in the Knee 3 | Current Laboratory Data: CRP 4/BSG 5 | Earlier Surgery Procedures | BMI 6 | VAS 7 | Pain |
|---|---|---|---|---|---|---|---|---|---|---|---|---|---|
| 012 | F 1 | 76 | Swiss | non | Pantozol, Pravastatin, Torasemid, Triatec | 1, 5, 3, 4 | TKA 2 | 4 | 8.3/18 | Meniscus | 27.5 | 8 | high |
| 013 | F | 64 | Italian | non | Co-Aprovel | 5 | TKA | 4 | 8.5/50 | non | 31.8 | 3 | low |
| 014 | F | 74 | Swiss | non | non | non | TKA | 4 | 1.2/20 | Meniscus | 23.4 | 0 | low |
| 015 | F | 75 | Swiss | non | Lithium | 6 | TKA | 4 | 0.5/12 | non | 23.7 | 1 | low |
| 016 | F | 62 | Swiss | non | Metoprolol, Sirdalud, Femeston, Pantozol | 2, 10, 7, 1 | TKA | 3 | 4.6/14 | non | 23.2 | 9 | high |
| 017 | F | 70 | German | non | Fludex | 3 | TKA | 4 | -/- | non | 43.7 | 8 | high |
| 018 | F | 78 | Swiss | non | Atenolol, Co-Epril, Madopar, Metformin, Simcora, Tiatral, Zanidip, Tramadol | 2, 4, 6, 8, 5, 10 | TKA | 4 | 7.7/22 | non | 35.5 | 7 | high |
| 019 | F | 67 | Swiss | non | Tilur, Zolpidem | 10, 6 | TKA | 4 | 1.1/7 | non | 25.4 | 8 | high |
| 021 | F | 65 | Swiss | non | Aspirin, Surmontil | 10, 6 | TKA | 4 | 5.4/17 | Arthroscopy | 32 | 0–3.5 8 | low |
| 022 | F | 77 | Italian | non | Aspirin, Calcimagon, Magnesium, Pantozol, Pemzek | 10, 9, 1, 4 | TKA | 4 | 9.2/29 | non | 34.2 | 2 | low |
| No. | Gene ID | Gene Name | Description | Type | log2 Fold Change | p Value | Adjusted p Value |
|---|---|---|---|---|---|---|---|
| 1 | ENSG00000256391 | SDIM1 | stress responsive DNAJB4 interacting membrane protein 1 | protein_coding | 2.913 | 2.83 × 10−10 | 4.66 × 10−6 |
| 2 | ENSG00000115155 | OTOF | otoferlin | protein_coding | 3.42 | 7.70 × 10−8 | 0.000634 |
| 3 | ENSG00000109472 | CPE | carboxypeptidase E | protein_coding | 1.107 | 2.13 × 10−7 | 0.001172 |
| 4 | ENSG00000138944 | KIAA1644 | KIAA1644 | protein_coding | 1.184 | 1.93 × 10−6 | 0.007935 |
| 5 | ENSG00000158258 | CLSTN2 | calsyntenin 2 | protein_coding | 1.214 | 6.48 × 10−6 | 0.01909 |
| 6 | ENSG00000131471 | AOC3 | amine oxidase, copper containing 3 | protein_coding | 1.243 | 8.55 × 10−6 | 0.01909 |
| 7 | ENSG00000141068 | KSR1 | kinase suppressor of ras 1 | protein_coding | 0.8648 | 9.15 × 10−6 | 0.01909 |
| 8 | ENSG00000108551 | RASD1 | RAS, dexamethasone-induced 1 | protein_coding | 1.605 | 1.04 × 10−5 | 0.01909 |
| 9 | ENSG00000042062 | FAM65C | family with sequence similarity 65, member C | protein_coding | 1.655 | 1.04 × 10−5 | 0.01909 |
| 10 | ENSG00000138031 | ADCY3 | adenylate cyclase 3 | protein_coding | 0.8997 | 1.29 × 10−5 | 0.02012 |
| 11 | ENSG00000120875 | DUSP4 | dual specificity phosphatase 4 | protein_coding | 1.297 | 1.42 × 10−5 | 0.02012 |
| 12 | ENSG00000113448 | PDE4D | phosphodiesterase 4D, cAMP-specific | protein_coding | 1.083 | 1.47 × 10−5 | 0.02012 |
| 13 | ENSG00000172014 | ANKRD20A4 | ankyrin repeat domain 20 family, member A4 | protein_coding | −2.373 | 1.70 × 10−5 | 0.02151 |
| 14 | ENSG00000221866 | PLXNA4 | plexin A4 | protein_coding | 1.232 | 2.43 × 10−5 | 0.02859 |
| 15 | ENSG00000213494 | CCL14 | chemokine (C-C motif) ligand 14 | protein_coding | 1.212 | 3.10 × 10−5 | 0.03001 |
| 16 | ENSG00000198947 | DMD | dystrophin | protein_coding | 0.9328 | 3.29 × 10−5 | 0.03006 |
| 17 | ENSG00000166106 | ADAMTS15 | ADAM metallopeptidase with thrombospondin type 1 motif, 15 | protein_coding | 1.038 | 4.98 × 10−5 | 0.0432 |
| 18 | ENSG00000135744 | AGT | angiotensinogen (serpin peptidase inhibitor, clade A, member 8) | protein_coding | 1.732 | 6.87 × 10−5 | 0.05489 |
| 19 | ENSG00000129946 | SHC2 | SHC (Src homology 2 domain containing) transforming protein 2 | protein_coding | 1.574 | 7.00 × 10−5 | 0.05489 |
| 20 | ENSG00000104332 | SFRP1 | secreted frizzled-related protein 1 | protein_coding | 0.953 | 7.41 × 10−5 | 0.05551 |
| 21 | ENSG00000137285 | TUBB2B | tubulin, beta 2B class IIb | protein_coding | 1.592 | 8.44 × 10−5 | 0.06047 |
| 22 | ENSG00000163431 | LMOD1 | leiomodin 1 (smooth muscle) | protein_coding | 1.02 | 0.000143 | 0.09593 |
| 23 | ENSG00000103196 | CRISPLD2 | cysteine-rich secretory protein LCCL domain containing 2 | protein_coding | 1.631 | 0.000146 | 0.09593 |
| 24 | ENSG00000065320 | NTN1 | netrin 1 | protein_coding | 1.48 | 0.000154 | 0.09774 |
| 25 | ENSG00000163661 | PTX3 | pentraxin 3, long | protein_coding | −2.075 | 0.000174 | 0.1009 |
| 26 | ENSG00000144229 | THSD7B | thrombospondin, type I, domain containing 7B | protein_coding | 1.88 | 0.000181 | 0.1009 |
| 27 | ENSG00000165507 | C10orf10 | chromosome 10 open reading frame 10 | protein_coding | 1.002 | 0.000185 | 0.1009 |
| 28 | ENSG00000017427 | IGF1 | insulin-like growth factor 1 (somatomedin C) | protein_coding | 1.159 | 0.000195 | 0.1009 |
| 29 | ENSG00000148053 | NTRK2 | neurotrophic tyrosine kinase, receptor, type 2 | protein_coding | 1.176 | 0.000195 | 0.1009 |
| 30 | ENSG00000162878 | PKDCC | protein kinase domain containing, cytoplasmic | protein_coding | 0.9649 | 0.000196 | 0.1009 |
| 31 | ENSG00000171819 | ANGPTL7 | angiopoietin-like 7 | protein_coding | 1.825 | 0.000204 | 0.1017 |
| 32 | ENSG00000111879 | FAM184A | family with sequence similarity 184, member A | protein_coding | 1.44 | 0.000219 | 0.1061 |
| 33 | ENSG00000266037 | RN7SL3 | RNA, 7SL, cytoplasmic 3 | other | −4.882 | 2.72 × 10−5 | 0.02982 |
| 34 | ENSG00000230847 | RP11-195E2.1 | pseudogene | −2.975 | 2.90 × 10−5 | 0.02985 |
| Gene Ontology (GO) Term | Term ID | Ontology | Gene Set Size | Differentially Expressed Genes in Set | Expected Proportion | Fold Enrichment | Direction | Adjusted p Value |
|---|---|---|---|---|---|---|---|---|
| Peripheral nervous system development | GO:0007422 | BP 1 | 74 | 4 | 0.11 | >5 | Up-regulation | 3.62 × 10−2 |
| Second-messenger-mediated signalling | GO:0019932 | BP | 149 | 5 | 0.22 | >5 | Up-regulation | 2.13 × 10−2 |
| Regulation of MAPK cascade | GO:0043408 | BP | 771 | 9 | 1.15 | >5 | Up-regulation | 9.79 × 10−3 |
| Regulation of protein phosphorylation | GO:0001932 | BP | 1330 | 11 | 1.98 | >5 | Up-regulation | 1.44 × 10−2 |
| Regulation of phosphorylation | GO:0042325 | BP | 1419 | 11 | 2.11 | >5 | Up-regulation | 2.70 × 10−2 |
| Anatomical structure morphogenesis | GO:0009653 | BP | 2341 | 14 | 3.49 | 4.02 | Up-regulation | 1.64 × 10−2 |
| Gene Ontology | SDIM1 | OTOF | CPE | KIAA1644 | CLSTN2 | AOC3 | KSR1 | RASD1 | FAM65C | ADCY3 | DUSP4 | PDE4D | ANKRD20A4 | PLXNA4 | CCL14 | DMD | ADAMTS15 | AGT | SHC2 | SFRP1 | TUBB2B | LMOD1 | CRISPLD2 | NTN1 | PTX3 | THSD7B | C10orf10 | IGF1 | NTRK2 | PKDCC | ANGPTL7 | FAM184A |
|---|---|---|---|---|---|---|---|---|---|---|---|---|---|---|---|---|---|---|---|---|---|---|---|---|---|---|---|---|---|---|---|---|
| Peripheral nervous system development | x | x | x | x | ||||||||||||||||||||||||||||
| Second-messenger-mediated signaling | x | x | x | x | x | |||||||||||||||||||||||||||
| Regulation of MAPK cascade | x | x | x | x | x | x | x | x | x | |||||||||||||||||||||||
| Regulation of protein phosphorylation | x | x | x | x | x | x | x | x | x | x | x | |||||||||||||||||||||
| Regulation of phosphorylation | x | x | x | x | x | x | x | x | x | x | x | |||||||||||||||||||||
| Anatomical structure morphogenesis | x | x | x | x | x | x | x | x | x | x | x | x | x | x | ||||||||||||||||||
| Unclassified | x | x | x | x |
| Gene Set | Reactome ID | Description | Genes in Overlap | p Value | Adjusted p Value |
|---|---|---|---|---|---|
| NGF signaling via TRKA from the plasma membrane | R-HSA-187037 | Genes involved in NGF signaling via TRKA from the plasma membrane | 4 | 2.23 × 10−6 | 1.92 × 10−3 |
| Signaling by NGF | R-HSA-166520 | Genes involved in Signaling by NGF | 4 | 1.38 × 10−5 | 5.92 × 10−3 |
| No. | Small RNA ID | logFC | p Value | FDR |
|---|---|---|---|---|
| 1 | hsa-miR-146a-3p | −3.0904 | 0.0021 | 0.9161 |
| 2 | hsa-miR-3690 | −2.0150 | 0.0061 | 0.9161 |
| 3 | hsa-mir-6087 | −1.0671 | 0.0094 | 0.9161 |
| 4 | hsa-mir-3690-2 | −1.9481 | 0.0105 | 0.9161 |
| 5 | hsa-mir-3690-1 | −1.9481 | 0.0105 | 0.9161 |
| 6 | hsa-miR-483-3p | 1.3561 | 0.0108 | 0.9161 |
| 7 | hsa-miR-27a-5p | −1.3216 | 0.0110 | 0.9161 |
| 8 | hsa-mir-579 | 1.1104 | 0.0136 | 0.9161 |
| 9 | hsa-mir-133a-2 | 1.2010 | 0.0176 | 0.9161 |
| 10 | hsa-miR-219a-1-3p | −1.4028 | 0.0188 | 0.9161 |
| 11 | hsa-miR-133a-5p | 1.4021 | 0.0191 | 0.9161 |
| 12 | hsa-miR-493-3p | −1.3788 | 0.0195 | 0.9161 |
| 13 | hsa-mir-133a-1 | 1.2001 | 0.0200 | 0.9161 |
| 14 | hsa-miR-1245a | −1.3254 | 0.0214 | 0.9161 |
| 15 | hsa-miR-23a-5p | −1.3435 | 0.0217 | 0.9161 |
| 16 | hsa-miR-133a-3p | 1.1719 | 0.0219 | 0.9161 |
| 17 | hsa-mir-7704 | −1.0055 | 0.0250 | 0.9161 |
| 18 | hsa-miR-550a-3p | 1.2909 | 0.0272 | 0.9161 |
| 19 | hsa-miR-4508 | −1.5594 | 0.0285 | 0.9161 |
| 20 | hsa-mir-4508 | −1.5594 | 0.0285 | 0.9161 |
| 21 | hsa-miR-579-5p | 1.2289 | 0.0339 | 0.9161 |
| 22 | hsa-miR-215-5p | 1.1979 | 0.0363 | 0.9161 |
| 23 | hsa-miR-514a-3p | 1.4606 | 0.0374 | 0.9161 |
| 24 | hsa-mir-215 | 1.1756 | 0.0390 | 0.9161 |
| 25 | hsa-mir-6818 | −1.2591 | 0.0400 | 0.9161 |
| 26 | hsa-mir-514a-3 | 1.4891 | 0.0413 | 0.9161 |
| 27 | hsa-mir-514a-1 | 1.4891 | 0.0413 | 0.9161 |
| 28 | hsa-mir-514a-2 | 1.4891 | 0.0413 | 0.9161 |
| 29 | hsa-mir-3651 | −1.6337 | 0.0423 | 0.9161 |
| 30 | hsa-mir-1294 | −1.0721 | 0.0426 | 0.9161 |
| 31 | hsa-mir-135b | −1.6181 | 0.0428 | 0.9161 |
| 32 | hsa-miR-135b-5p | −1.6110 | 0.0433 | 0.9161 |
| 33 | SNORA3 | −1.1678 | 0.0450 | 0.9161 |
| 34 | hsa-miR-1294 | −1.0974 | 0.0472 | 0.9161 |
| 35 | hsa-mir-7854 | −1.2553 | 0.0473 | 0.9161 |
© 2018 by the authors. Licensee MDPI, Basel, Switzerland. This article is an open access article distributed under the terms and conditions of the Creative Commons Attribution (CC BY) license (http://creativecommons.org/licenses/by/4.0/).
Share and Cite
Bratus-Neuenschwander, A.; Castro-Giner, F.; Frank-Bertoncelj, M.; Aluri, S.; Fucentese, S.F.; Schlapbach, R.; Sprott, H. Pain-Associated Transcriptome Changes in Synovium of Knee Osteoarthritis Patients. Genes 2018, 9, 338. https://doi.org/10.3390/genes9070338
Bratus-Neuenschwander A, Castro-Giner F, Frank-Bertoncelj M, Aluri S, Fucentese SF, Schlapbach R, Sprott H. Pain-Associated Transcriptome Changes in Synovium of Knee Osteoarthritis Patients. Genes. 2018; 9(7):338. https://doi.org/10.3390/genes9070338
Chicago/Turabian StyleBratus-Neuenschwander, Anna, Francesc Castro-Giner, Mojca Frank-Bertoncelj, Sirisha Aluri, Sandro F. Fucentese, Ralph Schlapbach, and Haiko Sprott. 2018. "Pain-Associated Transcriptome Changes in Synovium of Knee Osteoarthritis Patients" Genes 9, no. 7: 338. https://doi.org/10.3390/genes9070338
APA StyleBratus-Neuenschwander, A., Castro-Giner, F., Frank-Bertoncelj, M., Aluri, S., Fucentese, S. F., Schlapbach, R., & Sprott, H. (2018). Pain-Associated Transcriptome Changes in Synovium of Knee Osteoarthritis Patients. Genes, 9(7), 338. https://doi.org/10.3390/genes9070338

