Sign in to use this feature.

Years

Between: -

Subjects

remove_circle_outline
remove_circle_outline

Journals

Article Types

Countries / Regions

Search Results (1)

Search Parameters:
Keywords = interchangeable venturi tubes

Order results
Result details
Results per page
Select all
Export citation of selected articles as:
22 pages, 6212 KB  
Article
Measurement of Pneumatic Valve Flow Parameters on the Test Bench with Interchangeable Venturi Tubes and Their Practical Use
by Ryszard Dindorf
Sensors 2023, 23(13), 6042; https://doi.org/10.3390/s23136042 - 29 Jun 2023
Cited by 11 | Viewed by 4989
Abstract
A test bench with interchangeable venturi tubes was built to automatically measure the flow parameters of pneumatic valves of a wide range of sizes. This measuring stand contained components recommended by the ISO 6358 standard, an individually configured flow meter circuit, and HMI [...] Read more.
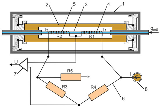
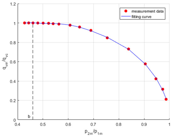
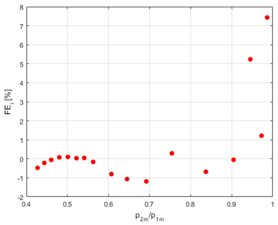
A test bench with interchangeable venturi tubes was built to automatically measure the flow parameters of pneumatic valves of a wide range of sizes. This measuring stand contained components recommended by the ISO 6358 standard, an individually configured flow meter circuit, and HMI measurement and control panels. The flow meter circuit, individually configured with interchangeable venturi tubes, bypass loops, and Setaram thermal microflow meter, was calibrated using Molbloc/Molbox equipment. The tuning curve and theoretical flow rate characteristics of the tested valve were fitted to the flow rate measurement data. The best fit value of the critical pressure ratio was obtained using the numerical method of least squares minimization. The pneumatic valve with measured flow parameters was compared with data from the catalogue on the discharge characteristics of the compressed air tank. A practical solution for high-pressure tank discharge time using two valves connected in series to the hybrid tricycle bike (HTB) pneumatic propulsion system is presented. This article presents a solution to the practical problem of measuring the flow parameters of industrial pneumatic valves with a wide range of nominal diameters on a test bench with replaceable venturi tubes. Full article
(This article belongs to the Section Physical Sensors)
Show Figures

Figure 1

Back to TopTop