Sign in to use this feature.

Years

Between: -

Subjects

remove_circle_outline
remove_circle_outline
remove_circle_outline

Journals

Article Types

Countries / Regions

Search Results (4)

Search Parameters:
Keywords = hydrocortisone-protein binding

Order results
Result details
Results per page
Select all
Export citation of selected articles as:
21 pages, 3862 KB  
Article
Identification and Evaluation of Olive Phenolics in the Context of Amine Oxidase Enzyme Inhibition and Depression: In Silico Modelling and In Vitro Validation
by Tom C. Karagiannis, Katherine Ververis, Julia J. Liang, Eleni Pitsillou, Siyao Liu, Sarah M. Bresnehan, Vivian Xu, Stevano J. Wijoyo, Xiaofei Duan, Ken Ng, Andrew Hung, Erik Goebel and Assam El-Osta
Molecules 2024, 29(11), 2446; https://doi.org/10.3390/molecules29112446 - 23 May 2024
Cited by 4 | Viewed by 3041
Abstract
The Mediterranean diet well known for its beneficial health effects, including mood enhancement, is characterised by the relatively high consumption of extra virgin olive oil (EVOO), which is rich in bioactive phenolic compounds. Over 200 phenolic compounds have been associated with Olea europaea [...] Read more.
The Mediterranean diet well known for its beneficial health effects, including mood enhancement, is characterised by the relatively high consumption of extra virgin olive oil (EVOO), which is rich in bioactive phenolic compounds. Over 200 phenolic compounds have been associated with Olea europaea, and of these, only a relatively small fraction have been characterised. Utilising the OliveNetTM library, phenolic compounds were investigated as potential inhibitors of the epigenetic modifier lysine-specific demethylase 1 (LSD1). Furthermore, the compounds were screened for inhibition of the structurally similar monoamine oxidases (MAOs) which are directly implicated in the pathophysiology of depression. Molecular docking highlighted that olive phenolics interact with the active site of LSD1 and MAOs. Protein–peptide docking was also performed to evaluate the interaction of the histone H3 peptide with LSD1, in the presence of ligands bound to the substrate-binding cavity. To validate the in silico studies, the inhibitory activity of phenolic compounds was compared to the clinically approved inhibitor tranylcypromine. Our findings indicate that olive phenolics inhibit LSD1 and the MAOs in vitro. Using a cell culture model system with corticosteroid-stimulated human BJ fibroblast cells, the results demonstrate the attenuation of dexamethasone- and hydrocortisone-induced MAO activity by phenolic compounds. The findings were further corroborated using human embryonic stem cell (hESC)-derived neurons stimulated with all-trans retinoic acid. Overall, the results indicate the inhibition of flavin adenine dinucleotide (FAD)-dependent amine oxidases by olive phenolics. More generally, our findings further support at least a partial mechanism accounting for the antidepressant effects associated with EVOO and the Mediterranean diet. Full article
Show Figures

Figure 1

11 pages, 1521 KB  
Article
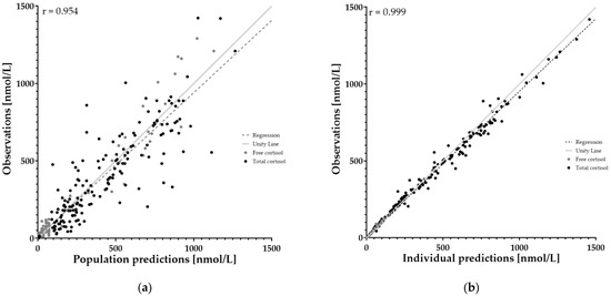
Pharmacokinetic Modeling of Hydrocortisone by Including Protein Binding to Corticosteroid-Binding Globulin
by Eric Rozenveld, Nieko Punt, Martijn van Faassen, André P. van Beek and Daan J. Touw
Pharmaceutics 2022, 14(6), 1161; https://doi.org/10.3390/pharmaceutics14061161 - 30 May 2022
Cited by 8 | Viewed by 3196
Abstract
Background: Patients with adrenal insufficiency are treated with oral hydrocortisone (HC) to compensate for the loss of endogenous cortisol production. Intrinsic imperfections of cortisol replacement strategies in mimicking normal cortisol secretion are the underlying cause of the increased morbidity and mortality of patients [...] Read more.
Background: Patients with adrenal insufficiency are treated with oral hydrocortisone (HC) to compensate for the loss of endogenous cortisol production. Intrinsic imperfections of cortisol replacement strategies in mimicking normal cortisol secretion are the underlying cause of the increased morbidity and mortality of patients suffering from secondary adrenal insufficiency (SAI). To improve oral hydrocortisone substitution therapy, a better understanding of its pharmacokinetics (PK) is necessary. The previous PK model did not include protein binding. It is known that protein binding can impact hydrocortisone pharmacokinetics. The aim of this study is to describe HC pharmacokinetics including the protein-binding state using Edsim++ (Mediware, Prague) pharmacokinetic modeling software, paving the way for an in-silico tool suitable for drug delivery design. Methods: A total of 46 patients with SAI participated in a randomized double-blind crossover study Patients randomly received a low dose of HC (0.2–0.3 mg/kg body weight/day) for 10 weeks, followed by a high dose (0.4–0.6 mg/kg body weight/day) for another 10 weeks, or vice versa. Plasma samples were obtained and analyzed for free and total hydrocortisone. Single compartment population pharmacokinetic analysis was performed using an extended Werumeus-Buning model built in Edsim++. This model includes a mathematical approach for estimating free cortisol by Nguyen et al., taking the protein binding of HC to albumin and hydrocortisone-binding globulin (CBG, transcortin) into consideration, as well as different states of CBG which affect binding kinetics to HC. The goodness of fit for observed versus predicted values was calculated. Results and conclusions: Nguyen’s formula for free cortisol estimation was successfully implemented in a pharmacokinetic model. The model shows high Spearman’s correlation for observed versus predicted hydrocortisone concentrations. Significantly higher correlations (Spearman’s r, 0.901 vs. 0.836) between total and free hydrocortisone AUC24 (area-under the curve over 24 h) are found when comparing new and old models. This new model was used to simulate the plasma concentration–time behavior of a more suitable hydrocortisone formulation. Full article
Show Figures

Figure 1

13 pages, 4576 KB  
Article
Effect of Hydrocortisone on Angiotensinogen (AGT) Mutation–Causing Autosomal Recessive Renal Tubular Dysgenesis
by Min-Hua Tseng, Shih-Ming Huang, Martin Konrad, Jing-Long Huang, Steven W. Shaw, Ya-Chung Tian, Ho-Yen Chueh, Wen-Lang Fan, Tai-Wei Wu, Jhao-Jhuang Ding, Ming-Chou Chiang and Shih-Hua Lin
Cells 2021, 10(4), 782; https://doi.org/10.3390/cells10040782 - 1 Apr 2021
Cited by 5 | Viewed by 3428
Abstract
We has identified a founder homozygous E3_E4 del: 2870 bp deletion + 9 bp insertion in AGT gene encoding angiotensinogen responsible for autosomal recessive renal tubular dysgenesis (ARRTD) with nearly-fatal outcome. High-dose hydrocortisone therapy successfully rescued one patient with an increased serum Angiotensinogen [...] Read more.
We has identified a founder homozygous E3_E4 del: 2870 bp deletion + 9 bp insertion in AGT gene encoding angiotensinogen responsible for autosomal recessive renal tubular dysgenesis (ARRTD) with nearly-fatal outcome. High-dose hydrocortisone therapy successfully rescued one patient with an increased serum Angiotensinogen (AGT), Ang I, and Ang II levels. The pathogenesis of ARRTD caused by this AGT mutation and the potential therapeutic effect of hydrocortisone were examined by in vitro functional studies. The expression of this truncated AGT protein was relatively low with a dose-dependent manner. This truncated mutation diminished the interaction between mutant AGT and renin. The truncated AGT also altered the glucocorticoid receptor (GR)-dependent transactivation, indicating that AGT may affect the development of proximal convoluted tubule by alteration of glucocorticoid-dependent transactivation. In hepatocytes, hydrocortisone increased the AGT level by accentuating the stability of mutant AGT and increasing its binding with renin. Therefore, hydrocortisone may exert the therapeutic effect through the enhanced stability and interaction with renin of truncated AGT in patients carrying this AGT mutation. Full article
(This article belongs to the Special Issue Renin–Angiotensin–Aldosterone System)
Show Figures

Figure 1

16 pages, 1776 KB  
Article
VEGF-Independent Activation of Müller Cells by the Vitreous from Proliferative Diabetic Retinopathy Patients
by Sara Rezzola, Jessica Guerra, Adwaid Manu Krishna Chandran, Alessandra Loda, Anna Cancarini, Piergiuseppe Sacristani, Francesco Semeraro and Marco Presta
Int. J. Mol. Sci. 2021, 22(4), 2179; https://doi.org/10.3390/ijms22042179 - 22 Feb 2021
Cited by 32 | Viewed by 3915
Abstract
Proliferative diabetic retinopathy (PDR), a major complication of diabetes mellitus, results from an inflammation-sustained interplay among endothelial cells, neurons, and glia. Even though anti-vascular endothelial growth factor (VEGF) interventions represent the therapeutic option for PDR, they are only partially efficacious. In PDR, Müller [...] Read more.
Proliferative diabetic retinopathy (PDR), a major complication of diabetes mellitus, results from an inflammation-sustained interplay among endothelial cells, neurons, and glia. Even though anti-vascular endothelial growth factor (VEGF) interventions represent the therapeutic option for PDR, they are only partially efficacious. In PDR, Müller cells undergo reactive gliosis, produce inflammatory cytokines/chemokines, and contribute to scar formation and retinal neovascularization. However, the impact of anti-VEGF interventions on Müller cell activation has not been fully elucidated. Here, we show that treatment of MIO-M1 Müller cells with vitreous obtained from PDR patients stimulates cell proliferation and motility, and activates various intracellular signaling pathways. This leads to cytokine/chemokine upregulation, a response that was not mimicked by treatment with recombinant VEGF nor inhibited by the anti-VEGF drug ranibizumab. In contrast, fibroblast growth factor-2 (FGF2) induced a significant overexpression of various cytokines/chemokines in MIO-M1 cells. In addition, the FGF receptor tyrosine kinase inhibitor BGJ398, the pan-FGF trap NSC12, the heparin-binding protein antagonist N-tert-butyloxycarbonyl-Phe-Leu-Phe-Leu-Phe Boc2, and the anti-inflammatory hydrocortisone all inhibited Müller cell activation mediated by PDR vitreous. These findings point to a role for various modulators beside VEGF in Müller cell activation and pave the way to the search for novel therapeutic strategies in PDR. Full article
(This article belongs to the Special Issue Molecular Mechanisms and Metabolic Pathway of Diabetic Retinopathy)
Show Figures

Figure 1

Back to TopTop