Sign in to use this feature.

Years

Between: -

Subjects

remove_circle_outline
remove_circle_outline
remove_circle_outline
remove_circle_outline
remove_circle_outline

Journals

Article Types

Countries / Regions

Search Results (6)

Search Parameters:
Keywords = humidifier disinfectant-associated lung injury (HDLI)

Order results
Result details
Results per page
Select all
Export citation of selected articles as:
19 pages, 5545 KB  
Article
Characterizing Subjects Exposed to Humidifier Disinfectants Using Computed-Tomography-Based Latent Traits: A Deep Learning Approach
by Frank Li, Jiwoong Choi, Xuan Zhang, Prathish K. Rajaraman, Chang-Hyun Lee, Hongseok Ko, Kum-Ju Chae, Eun-Kee Park, Alejandro P. Comellas, Eric A. Hoffman and Ching-Long Lin
Int. J. Environ. Res. Public Health 2022, 19(19), 11894; https://doi.org/10.3390/ijerph191911894 - 20 Sep 2022
Viewed by 2395
Abstract
Around nine million people have been exposed to toxic humidifier disinfectants (HDs) in Korea. HD exposure may lead to HD-associated lung injuries (HDLI). However, many people who have claimed that they experienced HD exposure were not diagnosed with HDLI but still felt discomfort, [...] Read more.
Around nine million people have been exposed to toxic humidifier disinfectants (HDs) in Korea. HD exposure may lead to HD-associated lung injuries (HDLI). However, many people who have claimed that they experienced HD exposure were not diagnosed with HDLI but still felt discomfort, possibly due to the unknown effects of HD. Therefore, this study examined HD-exposed subjects with normal-appearing lungs, as well as unexposed subjects, in clusters (subgroups) with distinct characteristics, classified by deep-learning-derived computed-tomography (CT)-based tissue pattern latent traits. Among the major clusters, cluster 0 (C0) and cluster 5 (C5) were dominated by HD-exposed and unexposed subjects, respectively. C0 was characterized by features attributable to lung inflammation or fibrosis in contrast with C5. The computational fluid and particle dynamics (CFPD) analysis suggested that the smaller airway sizes observed in the C0 subjects led to greater airway resistance and particle deposition in the airways. Accordingly, women appeared more vulnerable to HD-associated lung abnormalities than men. Full article
(This article belongs to the Special Issue Machine Learning Applications in Public Health)
Show Figures

Figure 1

10 pages, 2150 KB  
Article
MTF1 Is Essential for the Expression of MT1B, MT1F, MT1G, and MT1H Induced by PHMG, but Not CMIT, in the Human Pulmonary Alveolar Epithelial Cells
by Sang-Hoon Jeong, Cherry Kim, Jaeyoung Kim, Yoon-Jeong Nam, Hong Lee, Ariunaa Togloom, Ja-Young Kang, Jin-Young Choi, Hyejin Lee, Myeong-Ok Song, Eun-Kee Park, Yong-Wook Baek, Ju-Han Lee and Ki-Yeol Lee
Toxics 2021, 9(9), 203; https://doi.org/10.3390/toxics9090203 - 29 Aug 2021
Cited by 13 | Viewed by 5074
Abstract
The inhalation of humidifier disinfectants (HDs) is linked to HD-associated lung injury (HDLI). Polyhexamethylene guanidine (PHMG) is significantly involved in HDLI, but the correlation between chloromethylisothiazolinone (CMIT) and HDLI remains ambiguous. Additionally, the differences in the molecular responses to PHMG and CMIT are [...] Read more.
The inhalation of humidifier disinfectants (HDs) is linked to HD-associated lung injury (HDLI). Polyhexamethylene guanidine (PHMG) is significantly involved in HDLI, but the correlation between chloromethylisothiazolinone (CMIT) and HDLI remains ambiguous. Additionally, the differences in the molecular responses to PHMG and CMIT are poorly understood. In this study, RNA sequencing (RNA-seq) data showed that the expression levels of metallothionein-1 (MT1) isoforms, including MT1B, MT1E, MT1F, MT1G, MT1H, MT1M, and MT1X, were increased in human pulmonary alveolar epithelial cells (HPAEpiCs) that were treated with PHMG but not in those treated with CMIT. Moreover, upregulation of MT1B, MT1F, MT1G, and MT1H was observed only in PHMG-treated HPAEpiCs. The protein expression level of metal regulatory transcription factor 1 (MTF1), which binds to the promoters of MT1 isoforms, was increased in PHMG-treated HPAEpiCs but not in CMIT-treated HPAEpiCs. However, the expression of early growth response 1 (EGR1) and nuclear receptor superfamily 3, group C, member 1 (NR3C1), other transcriptional regulators involved in MT1 isomers, were increased regardless of treatment with PHMG or CMIT. These results suggest that MTF1 is an essential transcription factor for the induction of MT1B, MT1F, MT1G, and MT1H by PHMG but not by CMIT. Full article
(This article belongs to the Section Toxicology)
Show Figures

Figure 1

9 pages, 655 KB  
Article
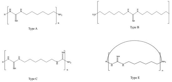
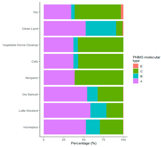
Characteristics of the Molecular Weight of Polyhexamethylene Guanidine (PHMG) Used as a Household Humidifier Disinfectant
by Dong-Uk Park, Kee Won Yang, Jiwon Kim, Ju-Hyun Park, So-Yeon Lee, Kyung Ehi Zoh, Jung-Hwan Kwon, Soyoung Park and Han Bin Oh
Molecules 2021, 26(15), 4490; https://doi.org/10.3390/molecules26154490 - 26 Jul 2021
Cited by 12 | Viewed by 3654
Abstract
(1) Background: Household humidifier disinfectant (HD) brands containing polyhexamethylene guanidine (PHMG) have been found to cause the most HD-associated lung injuries (HDLIs) in the Republic of Korea. Nevertheless, no study has attempted to characterize the potential association of the health effects, including HDLI, [...] Read more.
(1) Background: Household humidifier disinfectant (HD) brands containing polyhexamethylene guanidine (PHMG) have been found to cause the most HD-associated lung injuries (HDLIs) in the Republic of Korea. Nevertheless, no study has attempted to characterize the potential association of the health effects, including HDLI, with the physicochemical properties of PHMG dissolved in different HD brands. This study aimed to characterize the molecular weight (MW) distribution, the number-average molecular weight (Mn), the weight-average molecular weight (Mw), and the structural types of PHMG used in HD products. (2) Methods: Quantitative measurements were made using matrix-assisted laser desorption/ionization–time-of-flight mass spectrometry (MALDI-TOF MS). The Mn, Mw, and MW distributions were compared among various HD products. (3) Results: The mean Mn and Mw were 542.4 g/mol (range: 403.0–692.2 g/mol) and 560.7 g/mol (range: 424.0–714.70 g/mol), respectively. The degree of PHMG oligomerization ranged from 3 to 7. The MW distribution of PHMG indicated oligomeric compounds regardless of the HD brands. (4) Conclusions: Based on the molecular weight distribution, the average molecular weight of PHMG, and the degree of polymerization, the PHMG collected from HDLI victims could be regarded as an oligomer. PHMG, as used in household humidifiers, should not be exempted from toxic chemical registration as a polymer. Further study is necessary to examine the association of PHMG oligomeric compounds and respiratory health effects, including HDLI. Full article
Show Figures

Figure 1

15 pages, 1241 KB  
Article
Humidifier Disinfectant Consumption and Humidifier Disinfectant-Associated Lung Injury in South Korea: A Nationwide Population-Based Study
by Jeonggyo Yoon, Minsun Kang, Jaehun Jung, Min Jae Ju, Sung Hwan Jeong, Wonho Yang and Yoon-Hyeong Choi
Int. J. Environ. Res. Public Health 2021, 18(11), 6136; https://doi.org/10.3390/ijerph18116136 - 6 Jun 2021
Cited by 22 | Viewed by 6890
Abstract
Humidifier disinfectant (HD) is a household biocidal product used in humidifier water tanks to prevent the growth of microorganisms. In 2011, a series of lung injury cases of unknown causes emerged in children and pregnant women who had used HD in Korea. This [...] Read more.
Humidifier disinfectant (HD) is a household biocidal product used in humidifier water tanks to prevent the growth of microorganisms. In 2011, a series of lung injury cases of unknown causes emerged in children and pregnant women who had used HD in Korea. This study investigated changes in the nationwide number of cases of humidifier disinfectant-associated lung injury (HDLI) in concordance with nationwide HD consumption using data covering the entire Korean population. More than 25 kinds of HD products were sold between 1994 and 2011. The number of diagnosed HDLI, assessed by S27.3 (other injuries of lungs) of the Korea National Health Insurance Service (NHIS) data, sharply increased by 2005, subsequently decreased after 2005, and almost disappeared after 2011 in concordance with the annual number of HD sales. The number of self-reported HDLIs, assessed using data from all suspected HDLI cases registered in the Korea Ministry of Environment, changed with the annual number of HD sales, with a delay pattern, potentially induced by the late awareness of lung injury diseases. The present study suggests that changes in the nationwide annual consumption of HD products were consistent with changes in the annual number of HDLI cases in Korea. Full article
(This article belongs to the Special Issue Occupational & Environmental Health Risk Assessment)
Show Figures

Graphical abstract

14 pages, 1011 KB  
Article
Characteristics of Exposure to Chloromethylisothiazolinone (CMIT) and Methylisothiazolinone (MIT) among Humidifier Disinfectant-Associated Lung Injury (HDLI) Patients in South Korea
by Dong-Uk Park, Seon-Kyung Park, Jiwon Kim, Jihoon Park, Seung-Hun Ryu, Ju-Hyun Park, So-Yeon Lee, Han Bin Oh, Sungkyoon Kim, Kyung Ehi Zoh, Soyoung Park and Jung-Hwan Kwon
Molecules 2020, 25(22), 5284; https://doi.org/10.3390/molecules25225284 - 12 Nov 2020
Cited by 19 | Viewed by 5380
Abstract
This study aimed to quantify both chloromethylisothiazolinone (CMIT) and methylisothiazolinone (MIT) dissolved in different product brands and to characterize the exposure to these chemicals among humidifier disinfectant-associated lung injury (HDLI) patients. Both CMIT and MIT dissolved in different humidifier disinfectant (HD) products were [...] Read more.
This study aimed to quantify both chloromethylisothiazolinone (CMIT) and methylisothiazolinone (MIT) dissolved in different product brands and to characterize the exposure to these chemicals among humidifier disinfectant-associated lung injury (HDLI) patients. Both CMIT and MIT dissolved in different humidifier disinfectant (HD) products were quantified using gas chromatography–mass spectrometry. The inhalation level of CMIT and MIT was estimated based on HD-associated factors as reported by HDLI patients. A total of eleven HD products marketed until the end of 2011 were found to contain CMIT and/or MIT. The level of combined CMIT and/or MIT dissolved in these HD products ranged from 12 to 353 ppm. The level varied among HD products and the year of manufacture. The average inhalation levels were estimated to be 7.5, 4.1, and 3.2 μg/m3 for the definite, probable, and possible groups, respectively. If probable and possible groups were collapsed together, the inhalation level of the collapsed group was significantly different from that of the definite group (p < 0.001). All HDLI patients responded as having used HD not only while sleeping, but also as having a humidifier treated with HD within close proximity every day in insufficiently ventilated spaces. These HD use characteristics of patients may be directly/indirectly linked to the HDLI development. Full article
Show Figures

Figure 1

12 pages, 1777 KB  
Article
Properties of Polyhexamethylene Guanidine (PHMG) Associated with Fatal Lung Injury in Korea
by Dong-Uk Park, Jihoon Park, Kee Won Yang, Ju-Hyun Park, Jung-Hwan Kwon and Han Bin Oh
Molecules 2020, 25(14), 3301; https://doi.org/10.3390/molecules25143301 - 21 Jul 2020
Cited by 34 | Viewed by 7213
Abstract
The use of humidifier disinfectant (HD) has been determined to be associated with lung injuries (HDLI) in Korea. Although HD brands containing polyhexamethylene guanidine (PHMG) oligomers have been found to cause more HDLI compared to brands containing other disinfectants, the physicochemical properties of [...] Read more.
The use of humidifier disinfectant (HD) has been determined to be associated with lung injuries (HDLI) in Korea. Although HD brands containing polyhexamethylene guanidine (PHMG) oligomers have been found to cause more HDLI compared to brands containing other disinfectants, the physicochemical properties of PHMG have been poorly defined. We aimed to quantify the PHMG dissolved in HD brands, characterize the number-average (Mn) and weight-average (Mw) molecular masses, and identify the polymerization degree of PHMG. Analysis of the PHMG oligomers was performed using a matrix-assisted laser desorption/ionization time-of-flight mass spectrometer (MALDI-TOF MS) operated in positive-ion reflectron mode. Eight brands of HD containing PHMG were identified. The PHMG concentrations in these brands ranged from 160 to 37,200 ppm (mean = 3100.9 ppm). Concentration was a significant variable among and within HD brands. The degree of PHMG oligomerization fell within the range of two to four. The averages of Mn and Mw were 517.2 g/mol (range: 422–613 g/mol) and 537.3 g/mol (range: 441.0–678.0 g/mol), respectively. Based on the average molecular weight and the degree of polymerization, the PHMG examined here could be regarded as oligomers, which may be associated with the highest proportion of HDLI being caused by PHMG. Full article
Show Figures

Figure 1

Back to TopTop