Sign in to use this feature.

Years

Between: -

Subjects

remove_circle_outline
remove_circle_outline
remove_circle_outline
remove_circle_outline
remove_circle_outline

Journals

Article Types

Countries / Regions

Search Results (5)

Search Parameters:
Keywords = grounding electrodes in two-layered soils

Order results
Result details
Results per page
Select all
Export citation of selected articles as:
16 pages, 6470 KB  
Article
Experimental Study of Electromagnetic Interference from Concentrated Discharge Channels within the Soil to Adjacent Directly Buried Cables during Lightning Current Inflow to the Ground
by Tao Yuan, Qian Chen, Rongquan Fan and Wenhui Zeng
Energies 2024, 17(15), 3852; https://doi.org/10.3390/en17153852 - 5 Aug 2024
Cited by 1 | Viewed by 1435
Abstract
Independent lightning rods are often installed in substation grounding systems for lightning protection. The concentrated discharge channel formed when a lightning current flows to the ground through a grounding electrode will cause electromagnetic interference to the directly buried secondary cable. And the three-dimensional [...] Read more.
Independent lightning rods are often installed in substation grounding systems for lightning protection. The concentrated discharge channel formed when a lightning current flows to the ground through a grounding electrode will cause electromagnetic interference to the directly buried secondary cable. And the three-dimensional structure of the discharge channel will affect the transient electromagnetic field distribution, thereby affecting the electromagnetic transients on cable shields. In order to explore the influence of soil discharge phenomena on the electromagnetic interference of the directly buried secondary cable, in this paper, we carried out experiments on cables in two different grounding modes, single-ended and double-ended grounding, and captured image of soil discharge channels. The results show that the cable grounding mode will affect the coupling mode that causes the shielding layer current. The relative spatial position of the soil discharge channel and the cable has a significant impact on the magnitude of the shielding layer current under both grounding modes. The water content and salt content of the soil also have different degrees of influence on the coupling current of the shielding layer in different grounding modes. Full article
(This article belongs to the Topic Power System Protection)
Show Figures

Figure 1

14 pages, 3313 KB  
Article
Analysis of Information Transmission Characteristics Based on Adaptive Ground Electrode Current Field
by Jingang He, Hang Yuan, Zhong Su, Bin Zhao, Zhe Kuang and Pengfei Song
Appl. Sci. 2023, 13(7), 4297; https://doi.org/10.3390/app13074297 - 28 Mar 2023
Cited by 1 | Viewed by 1732
Abstract
The information transmission mechanism of the ground electrode current field uses a very low-frequency electrical signal, which is applied to the two electrodes driven into the soil layer or the collapsed body of the tunnel to form a current field in the rock [...] Read more.
The information transmission mechanism of the ground electrode current field uses a very low-frequency electrical signal, which is applied to the two electrodes driven into the soil layer or the collapsed body of the tunnel to form a current field in the rock layer or soil layer. Signal detection is created via the strong penetration of wireless information transmission. This research focuses on various electromagnetic effects, such as polarization, magnetization, and the transmission of electromagnetic waves under the influence of different media, such as rock, sand, reinforced concrete, and air voids. The influence of these adaptive electromagnetic effects on the transmission of electromagnetic waves is mainly reflected in the reflection, refraction, and attenuation of electromagnetic wave signals. The inhomogeneity of the earth medium, the influence of topographic features, and multi-path transmission all cause signal distortion, fading, or changes in the direction of electromagnetic wave propagation. By studying the three physical quantities of magnetic permeability, permittivity, and conductivity, the electromagnetic characteristics of the earth medium are described to research the information transmission characteristics of the earth electrode current field. Full article
(This article belongs to the Special Issue Computer Science in Wireless Communication)
Show Figures

Figure 1

2 pages, 214 KB  
Abstract
Nanocomposites Based Electrosensitive Platforms for Nitrite and Biogenic Amines Determination
by Ana-Maria Gurban, Petru Epure, Iuliana Răut, Mariana Constantin, Nicoleta Radu, Bogdan Trică, Luiza Jecu, Elvira Alexandrescu and Mihaela Doni
Chem. Proc. 2022, 7(1), 79; https://doi.org/10.3390/chemproc2022007079 - 28 Jun 2022
Viewed by 2192
Abstract
Highly electrosensitive platforms have been developed using different nanocomposite materials based on carbon allotropes and different metallic nanoparticles for determination of nitrite and biogenic amines (BAs). The nitrification process occurred in soil represents an important source of pollution. The nitrification consists in biological [...] Read more.
Highly electrosensitive platforms have been developed using different nanocomposite materials based on carbon allotropes and different metallic nanoparticles for determination of nitrite and biogenic amines (BAs). The nitrification process occurred in soil represents an important source of pollution. The nitrification consists in biological oxidation of the relatively immobile ammonium (NH4+) to highly mobile nitrate, via nitrite. This process is carried out mainly by the ammonia–oxidizing bacteria (Nitrosomonas sp. and Nitrobacter sp.) present in the soil microbial population [1,2]. The nitrite contamination of ground and surface waters represents the major concern associated with the nitrification process. Additionally, the growing needs for food and environmental safety has led to an increase in research for the detection of biogenic amines (BAs) in recent years. Despite the fact that BAs are increasingly present in food and beverages, causing toxic effects in the body, legislation that limits their presence in food chains needs to be updated, thus requiring sensitive tools for their detection [3,4]. Miniaturized analytical tools have been developed based on nanocomposite materials obtained through combination of different carbon allotrope materials (nanoribbons, nanotubes—single and multiwalled—and nanofibers) with metallic nanoparticles (Ag, Au-Ag, Pt, Cu). Thus, carbon based screen-printed electrodes (SPE) were chemically modified with the obtained nanocomposite materials and further characterized using different electrochemical techniques. In order to allow a selective and sensitive determination of analytes, an electropolymerized film was deposed on the modified sensors. For BAs determination were realized with two configurations of biosensors, a bienzymatic one consisting in immobilization of diamine oxidase (DAO) and horseradish peroxidase (HRP) onto the modified sensors, and, respectively, a mono-enzymatic system based on immobilization of DAO onto the modified sensors. It was taken into account that the charge of carbon-based nanomaterials on the surface of the sensors should not exceed 5%, in order to ensure a low based current. Morpho-structural and electrochemical characterization studies of the modified SPEs have been performed in order to achieve a high sensitivity and selectivity of detection, applying a low overvoltage. The co-polymeric film ensured a better stability of the nanocomposite material layers at the electrode surface and an optimal matrix for enzymes immobilization. Optimization of the nanocomposite-based sensors were performed, and finally detection of biogenic amines was carried out using biosensors based on single-walled carbon nanotubes and Pt nanoparticles, while nitrite determination was performed using multi-walled carbon nanotubes and AgNP modified sensors at applied potentials between −0.45 and +0.6 V vs. Ag/AgCL. The developed sensors and biosensors showed good sensitivities of nitrite and BAs detection. Although the enzyme DAO has a low enough activity to catalyze the oxidation of amine of interest, the detection limits were lowered due to the electrocatalytic activity of nanocomposite materials and the HRP enzyme used. Full article
11 pages, 2301 KB  
Article
Estimation of an Upper Bound to the Value of the Step Potentials in Two-Layered Soils from Grounding Resistance Measurements
by Jorge Moreno, Pascual Simon, Eduardo Faleiro, Gabriel Asensio and Jose Antonio Fernandez
Materials 2020, 13(2), 290; https://doi.org/10.3390/ma13020290 - 8 Jan 2020
Cited by 10 | Viewed by 2736
Abstract
Due to the constant updating of regulatory standards on safety issues in electrical installations, limits are established for the maximum step potential that an installation can hold in a ground fault situation. In this paper, an upper bound to the maximum value of [...] Read more.
Due to the constant updating of regulatory standards on safety issues in electrical installations, limits are established for the maximum step potential that an installation can hold in a ground fault situation. In this paper, an upper bound to the maximum value of the step potentials arising in the soil surface when a fault takes place in a grounded electrical installation is estimated by means of a simple procedure. The direct measurement of the grounding electrode resistance together with some information about the soil resistivity and the knowledge of characteristic parameters of the electrode are used for the calculation of that upper bound. The procedure is tested at numerical simulation level by using different electrodes in several different scenarios corresponding to two-layered soils with different resistivity ratios. The dependency of the calculated upper bound with the electrode burial depth is also studied. Finally, a real case study is presented, and the results of the field measurements are shown as an example of the validity of the procedure. Full article
Show Figures

Figure 1

10 pages, 3901 KB  
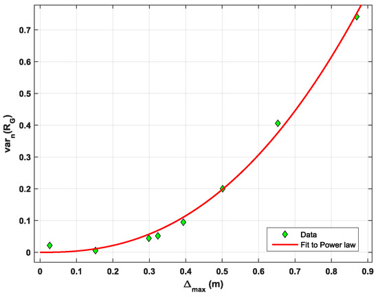
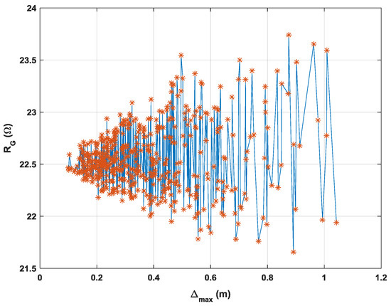
Article
An Estimate of the Uncertainty in the Grounding Resistance of Electrodes Buried in Two-Layered Soils with Non-Flat Surface
by Eduardo Faleiro, Gabriel Asensio and Jorge Moreno
Energies 2017, 10(2), 176; https://doi.org/10.3390/en10020176 - 4 Feb 2017
Cited by 4 | Viewed by 3404
Abstract
The influence of the irregular surface of a multi-layered soil on the estimation of the ground resistance of a complex electrode is studied. The electrode is placed in the first layer while the irregular surface is treated as the interface of an inhomogeneous [...] Read more.
The influence of the irregular surface of a multi-layered soil on the estimation of the ground resistance of a complex electrode is studied. The electrode is placed in the first layer while the irregular surface is treated as the interface of an inhomogeneous volume filled with air and embedded in the first layer. A wide sample of irregular soils is generated and the variation of the electrode grounding resistance, as a function of a parameter that measures the surface unevenness, is evaluated. A stochastic model of the grounding resistance is proposed for which the variation of the electrode grounding resistance with its horizontal position relative to the surface is studied. The model features allow us to explain the variability found, as we are able to estimate the part of the uncertainty about the electrode grounding resistance measurements due to the non-planar soil surface. Full article
Show Figures

Figure 1

Back to TopTop