Sign in to use this feature.

Years

Between: -

Subjects

remove_circle_outline
remove_circle_outline
remove_circle_outline
remove_circle_outline
remove_circle_outline
remove_circle_outline
remove_circle_outline
remove_circle_outline

Journals

Article Types

Countries / Regions

Search Results (25)

Search Parameters:
Keywords = evidential belief function

Order results
Result details
Results per page
Select all
Export citation of selected articles as:
31 pages, 1942 KB  
Article
An Evidential Solar Irradiance Forecasting Method Using Multiple Sources of Information
by Mohamed Mroueh, Moustapha Doumiati, Clovis Francis and Mohamed Machmoum
Energies 2024, 17(24), 6361; https://doi.org/10.3390/en17246361 - 18 Dec 2024
Viewed by 1241
Abstract
In the context of global warming, renewable energy sources, particularly wind and solar power, have garnered increasing attention in recent decades. Accurate forecasting of the energy output in microgrids (MGs) is essential for optimizing energy management, reducing maintenance costs, and prolonging the lifespan [...] Read more.
In the context of global warming, renewable energy sources, particularly wind and solar power, have garnered increasing attention in recent decades. Accurate forecasting of the energy output in microgrids (MGs) is essential for optimizing energy management, reducing maintenance costs, and prolonging the lifespan of energy storage systems. This study proposes an innovative approach to solar irradiance forecasting based on the theory of belief functions, introducing a novel and flexible evidential method for short-to-medium-term predictions. The proposed machine learning model is designed to effectively handle missing data and make optimal use of available information. By integrating multiple predictive models, each focusing on different meteorological factors, the approach enhances forecasting accuracy. The Yager combination method and pignistic transformation are utilized to aggregate the individual models. Applied to a publicly available dataset, the method achieved promising results, with an average root mean square error (RMS) of 27.83 W/m2 calculated from eight distinct forecast days. This performance surpasses the best reported results of 30.21 W/m2 from recent comparable studies for one-day-ahead solar irradiance forecasting. Comparisons with deep learning-based methods, such as long short-term memory (LSTM) networks and recurrent neural networks (RNNs), demonstrate that the proposed approach is competitive with state-of-the-art techniques, delivering reliable predictions with significantly less training data. The full potential and limitations of the proposed approach are also discussed. Full article
Show Figures

Figure 1

19 pages, 353 KB  
Article
Relative Belief Inferences from Decision Theory
by Michael Evans and Gun Ho Jang
Entropy 2024, 26(9), 786; https://doi.org/10.3390/e26090786 - 14 Sep 2024
Cited by 1 | Viewed by 1165
Abstract
Relative belief inferences are shown to arise as Bayes rules or limiting Bayes rules. These inferences are invariant under reparameterizations and possess a number of optimal properties. In particular, relative belief inferences are based on a direct measure of statistical evidence. Full article
(This article belongs to the Special Issue Bayesianism)
49 pages, 52986 KB  
Article
Investigation of Landslide Susceptibility Decision Mechanisms in Different Ensemble-Based Machine Learning Models with Various Types of Factor Data
by Jiakai Lu, Chao Ren, Weiting Yue, Ying Zhou, Xiaoqin Xue, Yuanyuan Liu and Cong Ding
Sustainability 2023, 15(18), 13563; https://doi.org/10.3390/su151813563 - 11 Sep 2023
Cited by 10 | Viewed by 2763
Abstract
Machine learning (ML)-based methods of landslide susceptibility assessment primarily focus on two dimensions: accuracy and complexity. The complexity is not only influenced by specific model frameworks but also by the type and complexity of the modeling data. Therefore, considering the impact of factor [...] Read more.
Machine learning (ML)-based methods of landslide susceptibility assessment primarily focus on two dimensions: accuracy and complexity. The complexity is not only influenced by specific model frameworks but also by the type and complexity of the modeling data. Therefore, considering the impact of factor data types on the model’s decision-making mechanism holds significant importance in assessing regional landslide characteristics and conducting landslide risk warnings given the achievement of good predictive performance for landslide susceptibility using excellent ML methods. The decision-making mechanism of landslide susceptibility models coupled with different types of factor data in machine learning methods was explained in this study by utilizing the Shapley Additive exPlanations (SHAP) method. Furthermore, a comparative analysis was carried out to examine the differential effects of diverse data types for identical factors on model predictions. The study area selected was Cenxi, Guangxi, where a geographic spatial database was constructed by combining 23 landslide conditioning factors with 214 landslide samples from the region. Initially, the factors were standardized using five conditional probability models, frequency ratio (FR), information value (IV), certainty factor (CF), evidential belief function (EBF), and weights of evidence (WOE), based on the spatial arrangement of landslides. This led to the formation of six types of factor databases using the initial data. Subsequently, two ensemble-based ML methods, random forest (RF) and XGBoost, were utilized to build models for predicting landslide susceptibility. Various evaluation metrics were employed to compare the predictive capabilities of different models and determined the optimal model. Simultaneously, the analysis was conducted using the interpretable SHAP method for intrinsic decision-making mechanisms of different ensemble-based ML models, with a specific focus on explaining and comparing the differential impacts of different types of factor data on prediction results. The results of the study illustrated that the XGBoost-CF model constructed with CF values of factors not only exhibited the best predictive accuracy and stability but also yielded more reasonable results for landslide susceptibility zoning, and was thus identified as the optimal model. The global interpretation results revealed that slope was the most crucial factor influencing landslides, and its interaction with other factors in the study area collectively contributed to landslide occurrences. The differences in the internal decision-making mechanisms of models based on different data types for the same factors primarily manifested in the extent of influence on prediction results and the dependency of factors, providing an explanation for the performance of standardized data in ML models and the reasons behind the higher predictive performance of coupled models based on conditional probability models and ML methods. Through comprehensive analysis of the local interpretation results from different models analyzing the same sample with different sample characteristics, the reasons for model prediction errors can be summarized, thereby providing a reference framework for constructing more accurate and rational landslide susceptibility models and facilitating landslide warning and management. Full article
(This article belongs to the Topic Natural Hazards and Disaster Risks Reduction)
Show Figures

Figure 1

21 pages, 8161 KB  
Article
Optimizing Rotation Forest-Based Decision Tree Algorithms for Groundwater Potential Mapping
by Wei Chen, Zhao Wang, Guirong Wang, Zixin Ning, Boxiang Lian, Shangjie Li, Paraskevas Tsangaratos, Ioanna Ilia and Weifeng Xue
Water 2023, 15(12), 2287; https://doi.org/10.3390/w15122287 - 19 Jun 2023
Cited by 11 | Viewed by 2529
Abstract
Groundwater potential mapping is an important prerequisite for evaluating the exploitation, utilization, and recharge of groundwater. The study uses BFT (best-first decision tree classifier), CART (classification and regression tree), FT (functional trees), EBF (evidential belief function) benchmark models, and RF-BFTree, RF-CART, and RF-FT [...] Read more.
Groundwater potential mapping is an important prerequisite for evaluating the exploitation, utilization, and recharge of groundwater. The study uses BFT (best-first decision tree classifier), CART (classification and regression tree), FT (functional trees), EBF (evidential belief function) benchmark models, and RF-BFTree, RF-CART, and RF-FT ensemble models to map the groundwater potential of Wuqi County, China. Firstly, select sixteen groundwater spring-related variables, such as altitude, plan curvature, profile curvature, curvature, slope angle, slope aspect, stream power index, topographic wetness index, stream sediment transport index, normalized difference vegetation index, land use, soil, lithology, distance to roads, distance to rivers, and rainfall, and make a correlation analysis of these sixteen groundwater spring-related variables. Secondly, optimize the parameters of the seven models and select the optimal parameters for groundwater modeling in Wuqi County. The predictive performance of each model was evaluated by estimating the area under the receiver operating characteristic (ROC) curve (AUC) and statistical index (accuracy, sensitivity, and specificity). The results show that the seven models have good predictive capabilities, and the ensemble model has a larger AUC value. Among them, the RF-BFT model has the highest success rate (AUC = 0.911), followed by RF-FT (0.898), RF-CART (0.894), FT (0.852), EBF (0.824), CART (0.801), and BFtree (0.784), respectively. Groundwater potential maps of these 7 models were obtained, and four different classification methods (geometric interval, natural breaks, quantile, and equal interval) were used to reclassify the obtained GPM into 5 categories: very low (VLC), low (LC), moderate (MC), high (HC), and very high (VHC). The results show that the natural breaks method has the best classification performance, and the RF-BFT model is the most reliable. The study highlights that the proposed ensemble model has more efficient and accurate performance for groundwater potential mapping. Full article
(This article belongs to the Section Hydrogeology)
Show Figures

Figure 1

22 pages, 1135 KB  
Article
Identifying Qualified Public Safety Education Venues Using the Dempster–Shafer Theory-Based PROMETHEE Method under Linguistic Environments
by Yiqian Zhang, Yutong Dai and Bo Liu
Mathematics 2023, 11(4), 1011; https://doi.org/10.3390/math11041011 - 16 Feb 2023
Cited by 3 | Viewed by 2137
Abstract
How to improve safety awareness is an important topic, and it is of great significance for the public to reduce losses in the face of disasters and crises. A public safety education venue is an important carrier to realize safety education, as it [...] Read more.
How to improve safety awareness is an important topic, and it is of great significance for the public to reduce losses in the face of disasters and crises. A public safety education venue is an important carrier to realize safety education, as it has the characteristics of professionalism, comprehensiveness, experience, interest, participation, and so on, arousing the enthusiasm of the public for learning. As a meaningful supplement to “formal safety education”, venue education has many advantages. However, there are problems in the current venue construction such as imperfect infrastructure, weak professionalism, poor service level, chaotic organizational structure, and low safety, which affect the effect of safety education. To evaluate safety education venues effectively, this study proposes an evidential PROMETHEE method under linguistic environments. The innovation of this study lies in the integration of various linguistic expressions into the Dempster–Shafer theory (DST) framework, realizing the free expression and choice of evaluation information. The results and contributions of this study are summarized as follows. First, a two-tier evaluation index system of public safety education venues including 18 sub-standards is constructed. Secondly, it sets up four levels of quality evaluation for public safety education venues. Third, the belief function is used to represent all kinds of linguistic information, so as to maximize the effect of linguistic information fusion. Fourthly, an evidential PROMETHEE model is proposed to rank the venues. Fifthly, a case study is presented to demonstrate the usage of the proposed method in detail, and the evaluation results are fully analyzed and discussed. The implications of this study are as follows. First of all, to enhance public safety education, people need to face the significance of experiential education venues. Second, experiential education venues can increase learners’ enthusiasm for learning. Thirdly, the evaluation index system provided in this paper can be used to guide the construction of appropriate education venues in cities. Fourthly, the method of linguistic information transformation based on DST is also applicable to other decision-making and evaluation problems. Finally, the evidential PROMETHEE method can not only evaluate the quality of education venues, but also be used to rank a group of alternative venues. Full article
(This article belongs to the Special Issue Mathematical Applications of Complex Evidence Theory in Engineering)
Show Figures

Figure 1

24 pages, 8429 KB  
Article
Mapping Potential Water Resource Areas Using GIS-Based Frequency Ratio and Evidential Belief Function
by Yang Li, Mohamed Abdelkareem and Nasir Al-Arifi
Water 2023, 15(3), 480; https://doi.org/10.3390/w15030480 - 25 Jan 2023
Cited by 16 | Viewed by 5658
Abstract
Groundwater is a critical freshwater resource that is necessary for sustaining life. Thus, targeting prospective groundwater zones is crucial for the extraction, use, and management of water resources. In this study, we combined the remote sensing, GIS-based frequency ratio (FR), and evidential belief [...] Read more.
Groundwater is a critical freshwater resource that is necessary for sustaining life. Thus, targeting prospective groundwater zones is crucial for the extraction, use, and management of water resources. In this study, we combined the remote sensing, GIS-based frequency ratio (FR), and evidential belief function (EBF) techniques into a model to delineate and quantify prospective groundwater zones. To accomplish this, we processed Shuttle Radar Topography Mission (SRTM), Landsat-8 Operational Land Imager (OLI), Sentinel-2, and rainfall data to reveal the geomorphic, hydrologic, and structural elements and climatic conditions of the study area, which is downstream of the Yellow River basin, China. We processed, quantified, and combined twelve factors (the elevation, slope, aspect, drainage density, lineament density, distance to rivers, NDVI, TWI, SPI, TRI, land use/cover, and rainfall intensity) that control the groundwater infiltration and occurrence using the GIS-based FR and EBF models to produce groundwater potential zones (GWPZs). We used the natural breaks classifier to categorize the groundwater likelihood at each location as very low, low, moderate, high, or very high. The FR model exhibited a better performance than the EBF model, as evidenced by the area under the curve (AUC) assessment of the groundwater potential predictions (FR AUCs of 0.707 and 0.734, and EBF AUCs of 0.665 and 0.690). Combining the FR and EBF models into the FR–EBF model increased the accuracy (AUC = 0.716 and 0.747), and it increased the areas of very high and moderate potentiality to 1.97% of the entire area, instead of the 0.39 and 0.78% of the FR and EBF models, respectively. The integration of remote sensing and GIS-data-driven techniques is crucial for the mapping of groundwater prospective zones. Full article
(This article belongs to the Section Hydrology)
Show Figures

Figure 1

24 pages, 3663 KB  
Article
A Liquid Launch Vehicle Safety Assessment Model Based on Semi-Quantitative Interval Belief Rule Base
by Xiaoyu Cheng, Guangyu Qian, Wei He and Guohui Zhou
Mathematics 2022, 10(24), 4772; https://doi.org/10.3390/math10244772 - 15 Dec 2022
Cited by 11 | Viewed by 1976
Abstract
As the propulsion part of a space launch vehicle and nuclear weapon missile, the health status of the liquid rocket determines whether the space launch vehicle and nuclear weapon missile can function normally. Therefore, it is of great significance to evaluate the health [...] Read more.
As the propulsion part of a space launch vehicle and nuclear weapon missile, the health status of the liquid rocket determines whether the space launch vehicle and nuclear weapon missile can function normally. Therefore, it is of great significance to evaluate the health status of the liquid rocket. As the structure of the liquid rocket is becoming increasingly sophisticated, subjective judgment alone can no longer meet the needs of the actual system. As an expert system and a gray-box model, the belief rule base (BRB) can process both qualitative and quantitative information. The expert knowledge base is used in the safety assessment of a liquid rocket. However, in practical applications, the traditional BRB model still has two problems, which are that (1) when there are too many premise attributes, it easily leads to the explosion of combination rules, and (2) the reliability of rules is not considered in the process of model reasoning. Therefore, this paper proposes the BRB model with intervals (intervals-BRB) on the basis of traditional BRB. The interval-BRB retains the advantage of the traditional BRB, which can handle semi-quantitative information. In addition, the proposed model changes the reference point of the prerequisite attribute to the reference interval and changes the rule combination. This solves the problem of the traditional BRB explosive combination rule. The ER-rule (evidential reasoning rule) is introduced into the reasoning procedure, and the weight of the rule and the reliability of the rule are considered at the same time, which solves the shortcoming of the traditional BRB, which does not consider the reliability of the rule in reasoning. Finally, the CMAES optimization algorithm is used to optimize the initial model to obtain better performance. Finally, the model is verified by the actual data set of a liquid rocket, and the experimental results show that the model can achieve good experimental results. Full article
(This article belongs to the Special Issue Data-Driven Decision Making: Models, Methods and Applications)
Show Figures

Figure 1

13 pages, 3007 KB  
Article
A Comparative Study of Forest Fire Mapping Using GIS-Based Data Mining Approaches in Western Iran
by Osama Ashraf Mohammed, Sasan Vafaei, Mehdi Mirzaei Kurdalivand, Sabri Rasooli, Chaolong Yao and Tongxin Hu
Sustainability 2022, 14(20), 13625; https://doi.org/10.3390/su142013625 - 21 Oct 2022
Cited by 10 | Viewed by 3543
Abstract
Mapping fire risk accurately is essential for the planning and protection of forests. This study aims to map fire risk (probability of ignition) in Marivan County of Kurdistan province, Iran, using the data mining approaches of the evidential belief function (EBF) and weight [...] Read more.
Mapping fire risk accurately is essential for the planning and protection of forests. This study aims to map fire risk (probability of ignition) in Marivan County of Kurdistan province, Iran, using the data mining approaches of the evidential belief function (EBF) and weight of evidence (WOE) models, with an emphasis placed on climatic variables. Firstly, 284 fire incidents in the region were randomly divided into two groups, including the training group (70%, 199 points) and the validation group (30%, 85 points). Given the previous studies and conditions of the region, the variables of slope percentage, slope direction, altitude, distance from rivers, distance from roads, distance from settlements, land use, slope curvature, rainfall, and maximum annual temperature were considered for zoning fire risk. Then, forest fire risk maps were prepared using the EBF and WOE models. The performance of each model was examined using the Relative Operating Characteristic (ROC) curve. The results showed that WOE and EBF are effective tools for mapping forest fire risks in the study area. However, the WOE model shows a slightly higher Area Under the Curve value (0.896) compared to that of the EBF model (0.886), indicating a slightly better performance. The results of this study can provide valuable information for preventing forest fires in the study area. Full article
(This article belongs to the Section Hazards and Sustainability)
Show Figures

Figure 1

26 pages, 1336 KB  
Article
Belief Entropy Tree and Random Forest: Learning from Data with Continuous Attributes and Evidential Labels
by Kangkai Gao, Yong Wang and Liyao Ma
Entropy 2022, 24(5), 605; https://doi.org/10.3390/e24050605 - 26 Apr 2022
Cited by 9 | Viewed by 3663
Abstract
As well-known machine learning methods, decision trees are widely applied in classification and recognition areas. In this paper, with the uncertainty of labels handled by belief functions, a new decision tree method based on belief entropy is proposed and then extended to random [...] Read more.
As well-known machine learning methods, decision trees are widely applied in classification and recognition areas. In this paper, with the uncertainty of labels handled by belief functions, a new decision tree method based on belief entropy is proposed and then extended to random forest. With the Gaussian mixture model, this tree method is able to deal with continuous attribute values directly, without pretreatment of discretization. Specifically, the tree method adopts belief entropy, a kind of uncertainty measurement based on the basic belief assignment, as a new attribute selection tool. To improve the classification performance, we constructed a random forest based on the basic trees and discuss different prediction combination strategies. Some numerical experiments on UCI machine learning data set were conducted, which indicate the good classification accuracy of the proposed method in different situations, especially on data with huge uncertainty. Full article
(This article belongs to the Topic Machine and Deep Learning)
Show Figures

Figure 1

21 pages, 8386 KB  
Article
Performance Evaluation and Comparison of Bivariate Statistical-Based Artificial Intelligence Algorithms for Spatial Prediction of Landslides
by Wei Chen, Zenghui Sun, Xia Zhao, Xinxiang Lei, Ataollah Shirzadi and Himan Shahabi
ISPRS Int. J. Geo-Inf. 2020, 9(12), 696; https://doi.org/10.3390/ijgi9120696 - 24 Nov 2020
Cited by 18 | Viewed by 3193
Abstract
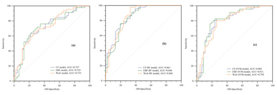
The purpose of this study is to compare nine models, composed of certainty factors (CFs), weights of evidence (WoE), evidential belief function (EBF) and two machine learning models, namely random forest (RF) and support vector machine (SVM). In the first step, fifteen landslide [...] Read more.
The purpose of this study is to compare nine models, composed of certainty factors (CFs), weights of evidence (WoE), evidential belief function (EBF) and two machine learning models, namely random forest (RF) and support vector machine (SVM). In the first step, fifteen landslide conditioning factors were selected to prepare thematic maps, including slope aspect, slope angle, elevation, stream power index (SPI), sediment transport index (STI), topographic wetness index (TWI), plan curvature, profile curvature, land use, normalized difference vegetation index (NDVI), soil, lithology, rainfall, distance to rivers and distance to roads. In the second step, 152 landslides were randomly divided into two groups at a ratio of 70/30 as the training and validation datasets. In the third step, the weights of the CF, WoE and EBF models for conditioning factor were calculated separately, and the weights were used to generate the landslide susceptibility maps. The weights of each bivariate model were substituted into the RF and SVM models, respectively, and six integrated models and landslide susceptibility maps were obtained. In the fourth step, the receiver operating characteristic (ROC) curve and related parameters were used for verification and comparison, and then the success rate curve and the prediction rate curves were used for re-analysis. The comprehensive results showed that the hybrid model is superior to the bivariate model, and all nine models have excellent performance. The WoE–RF model has the highest predictive ability (AUC_T: 0.9993, AUC_P: 0.8968). The landslide susceptibility maps produced in this study can be used to manage landslide hazard and risk in Linyou County and other similar areas. Full article
Show Figures

Figure 1

20 pages, 355 KB  
Article
Evidential Estimation of an Uncertain Mixed Exponential Distribution under Progressive Censoring
by Kuang Zhou and Yimin Shi
Entropy 2020, 22(10), 1106; https://doi.org/10.3390/e22101106 - 30 Sep 2020
Cited by 1 | Viewed by 2425
Abstract
In this paper, the evidential estimation method for the parameters of the mixed exponential distribution is considered when a sample is obtained from Type-II progressively censored data. Different from the traditional statistical inference methods for censored data from mixture models, here we consider [...] Read more.
In this paper, the evidential estimation method for the parameters of the mixed exponential distribution is considered when a sample is obtained from Type-II progressively censored data. Different from the traditional statistical inference methods for censored data from mixture models, here we consider a very general form where there is some uncertain information about the sub-class labels of units. The partially specified label information, as well as the censored data are represented in a united frame by mass functions within the theory of belief functions. Following that, the evidential likelihood function is derived based on the completely observed failures and the uncertain information included in the data. Then, the optimization method using the evidential expectation maximization algorithm (E2M) is introduced. A general form of the maximal likelihood estimates (MLEs) in the sense of the evidential likelihood, named maximal evidential likelihood estimates (MELEs), can be obtained. Finally, some Monte Carlo simulations are conducted. The results show that the proposed estimation method can incorporate more information than traditional EM algorithms, and this confirms the interest in using uncertain labels for the censored data from finite mixture models. Full article
(This article belongs to the Section Information Theory, Probability and Statistics)
27 pages, 20772 KB  
Article
Optimization of Computational Intelligence Models for Landslide Susceptibility Evaluation
by Xia Zhao and Wei Chen
Remote Sens. 2020, 12(14), 2180; https://doi.org/10.3390/rs12142180 - 8 Jul 2020
Cited by 124 | Viewed by 5452
Abstract
This paper focuses on landslide susceptibility prediction in Nanchuan, a high-risk landslide disaster area. The evidential belief function (EBF)-based function tree (FT), logistic regression (LR), and logistic model tree (LMT) were applied to Nanchuan District, China. Firstly, an inventory with 298 landslides was [...] Read more.
This paper focuses on landslide susceptibility prediction in Nanchuan, a high-risk landslide disaster area. The evidential belief function (EBF)-based function tree (FT), logistic regression (LR), and logistic model tree (LMT) were applied to Nanchuan District, China. Firstly, an inventory with 298 landslides was compiled and separated into two parts (70%: 209; 30%: 89) as training and validation datasets. Then, based on the EBF method, the Bel values of 16 conditioning factors related to landslide occurrence were calculated, and these Bel values were used as input data for building other models. The receiver operating characteristic (ROC) curve and the values of the area under the ROC curve (AUC) were used to evaluate and compare the prediction ability of the four models. All the models achieved good results and performed well. In particular, the LMT model had the best performance (0.847 and 0.765, obtained from the training and validation datasets, respectively). This paper also demonstrates the superiority of integration and optimization of models in landslide susceptibility evaluation. Finally, the best classification method was selected to draw landslide susceptibility maps, which may be helpful for government administrators and engineers to carry out land design and planning. Full article
Show Figures

Graphical abstract

17 pages, 512 KB  
Article
An Evidential Framework for Localization of Sensors in Indoor Environments
by Daniel Alshamaa, Farah Mourad-Chehade, Paul Honeine and Aly Chkeir
Sensors 2020, 20(1), 318; https://doi.org/10.3390/s20010318 - 6 Jan 2020
Cited by 5 | Viewed by 3779
Abstract
Indoor localization has several applications ranging from people tracking and indoor navigation, to autonomous robot navigation and asset tracking. We tackle the problem as a zoning localization where the objective is to determine the zone where the mobile sensor resides at any instant. [...] Read more.
Indoor localization has several applications ranging from people tracking and indoor navigation, to autonomous robot navigation and asset tracking. We tackle the problem as a zoning localization where the objective is to determine the zone where the mobile sensor resides at any instant. The decision-making process in localization systems relies on data coming from multiple sensors. The data retrieved from these sensors require robust fusion approaches to be processed. One of these approaches is the belief functions theory (BFT), also called the Dempster–Shafer theory. This theory deals with uncertainty and imprecision with a theoretically attractive evidential reasoning framework. This paper investigates the usage of the BFT to define an evidence framework for estimating the most probable sensor’s zone. Real experiments demonstrate the effectiveness of this approach and its competence compared to state-of-the-art methods. Full article
(This article belongs to the Special Issue Sensors Localization in Indoor Wireless Networks)
Show Figures

Figure 1

25 pages, 12733 KB  
Article
Hybrid Computational Intelligence Models for Improvement Gully Erosion Assessment
by Alireza Arabameri, Wei Chen, Luigi Lombardo, Thomas Blaschke and Dieu Tien Bui
Remote Sens. 2020, 12(1), 140; https://doi.org/10.3390/rs12010140 - 1 Jan 2020
Cited by 37 | Viewed by 4886
Abstract
Gullying is a type of soil erosion that currently represents a major threat at the societal scale and will likely increase in the future. In Iran, soil erosion, and specifically gullying, is already causing significant distress to local economies by affecting agricultural productivity [...] Read more.
Gullying is a type of soil erosion that currently represents a major threat at the societal scale and will likely increase in the future. In Iran, soil erosion, and specifically gullying, is already causing significant distress to local economies by affecting agricultural productivity and infrastructure. Recognizing this threat has recently led the Iranian geomorphology community to focus on the problem across the whole country. This study is in line with other efforts where the optimal method to map gully-prone areas is sought by testing state-of-the-art machine learning tools. In this study, we compare the performance of three machine learning algorithms, namely Fisher’s linear discriminant analysis (FLDA), logistic model tree (LMT) and naïve Bayes tree (NBTree). We also introduce three novel ensemble models by combining the aforementioned base classifiers to the Random SubSpace (RS) meta-classifier namely RS-FLDA, RS-LMT and RS-NBTree. The area under the receiver operating characteristic (AUROC), true skill statistics (TSS) and kappa criteria are used for calibration (goodness-of-fit) and validation (prediction accuracy) datasets to compare the performance of the different algorithms. In addition to susceptibility mapping, we also study the association between gully erosion and a set of morphometric, hydrologic and thematic properties by adopting the evidential belief function (EBF). The results indicate that hydrology-related factors contribute the most to gully formation, which is also confirmed by the susceptibility patterns displayed by the RS-NBTree ensemble. The RS-NBTree is the model that outperforms the other five models, as indicated by the prediction accuracy (area under curve (AUC) = 0.898, Kappa = 0.748 and TSS = 0.697), and goodness-of-fit (AUC = 0.780, Kappa = 0.682 and TSS = 0.618). The analyses are performed with the same gully presence/absence balanced modeling design. Therefore, the differences in performance are dependent on the algorithm architecture. Overall, the EBF model can detect strong and reasonable dependencies towards gully-prone conditions. The RS-NBTree ensemble model performed significantly better than the others, suggesting greater flexibility towards unknown data, which may support the applications of these methods in transferable susceptibility models in areas that are potentially erodible but currently lack gully data. Full article
Show Figures

Graphical abstract

29 pages, 22497 KB  
Article
Landslide Susceptibility Evaluation Using Hybrid Integration of Evidential Belief Function and Machine Learning Techniques
by Yang Li and Wei Chen
Water 2020, 12(1), 113; https://doi.org/10.3390/w12010113 - 29 Dec 2019
Cited by 81 | Viewed by 5045
Abstract
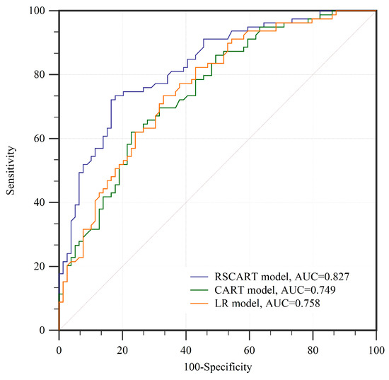
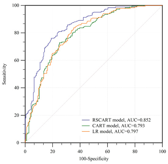
In this study, Random SubSpace-based classification and regression tree (RSCART) was introduced for landslide susceptibility modeling, and CART model and logistic regression (LR) model were used as benchmark models. 263 landslide locations in the study area were randomly divided into two parts (70/30) [...] Read more.
In this study, Random SubSpace-based classification and regression tree (RSCART) was introduced for landslide susceptibility modeling, and CART model and logistic regression (LR) model were used as benchmark models. 263 landslide locations in the study area were randomly divided into two parts (70/30) for training and validation of models. 14 landslide influencing factors were selected, such as slope angle, elevation, aspect, sediment transport index (STI), topographical wetness index (TWI), stream power index (SPI), profile curvature, plan curvature, distance to rivers, distance to road, soil, normalized difference vegetation index (NDVI), land use, and lithology. Finally, the hybrid RSCART model and two benchmark models were applied for landslide susceptibility modeling and the receiver operating characteristic curve method is used to evaluate the performance of the model. The susceptibility is quantitatively compared based on each pixel to reveal the system spatial pattern between susceptibility maps. At the same time, area under ROC curve (AUC) and landslide density analysis were used to estimate the prediction ability of landslide susceptibility map. The results showed that the RSCART model is the optimal model with the highest AUC values of 0.852 and 0.827, followed by LR and CART models. The results also illustrate that the hybrid model generally improves the prediction ability of a single landslide susceptibility model. Full article
(This article belongs to the Section Hydrology)
Show Figures

Figure 1

Back to TopTop