Sign in to use this feature.

Years

Between: -

Subjects

remove_circle_outline
remove_circle_outline
remove_circle_outline
remove_circle_outline
remove_circle_outline
remove_circle_outline
remove_circle_outline
remove_circle_outline
remove_circle_outline

Journals

Article Types

Countries / Regions

Search Results (23)

Search Parameters:
Keywords = elimination of ammonium ions

Order results
Result details
Results per page
Select all
Export citation of selected articles as:
21 pages, 9397 KB  
Article
A Low-Cost pH Sensor for Real-Time Monitoring of Aquaculture Systems in a Multi-Layer Wireless Sensor Network
by Binta Mohammed Adib Zeta, Sifat U. Alam, Gazi M. A. Ehsan Ur Rahman and Khawza Iftekhar Uddin Ahmed
Sensors 2025, 25(9), 2824; https://doi.org/10.3390/s25092824 - 30 Apr 2025
Cited by 1 | Viewed by 3240
Abstract
For aquaculture systems, pH is the prime quality indicator and is highly related to other water quality indicators like ammonia and ammonium ions. The available pH sensors using chemical references are not suitable for continuous in situ monitoring of aquaculture systems due to [...] Read more.
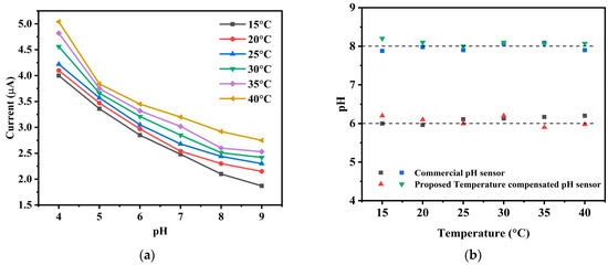
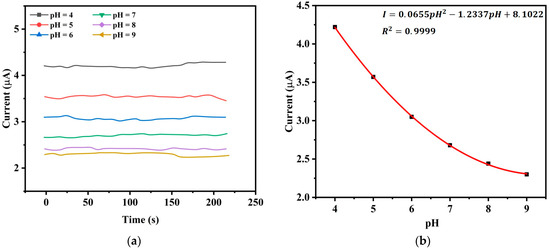
For aquaculture systems, pH is the prime quality indicator and is highly related to other water quality indicators like ammonia and ammonium ions. The available pH sensors using chemical references are not suitable for continuous in situ monitoring of aquaculture systems due to their frequent calibration requirement and high cost. This research develops a pH sensor with temperature compensation implementing a machine learning (ML) algorithm. Unlike traditional methods, this sensor utilizes electronic calibration, eliminating the need for chemical calibration and ongoing maintenance efforts. The application of this low-cost sensor is particularly well suited for in situ aquaculture scenarios, where multiple local sensor nodes operate under the control of a master node. The test results of the developed sensor show an improved sensitivity from 0.288 µA/pH to 0.316 µA/pH compared to the available pH sensors. Additionally, the response time has been improved from 1 s to 125 ms, showcasing the suitability of this pH sensor for real-time water quality monitoring of aquaculture applications. Full article
(This article belongs to the Section Sensors Development)
Show Figures

Figure 1

16 pages, 697 KB  
Article
Neutralization of Toxic Malodorous Gases from Cattle Slurry
by Katarzyna Kotarska, Wojciech Dziemianowicz, Anna Świerczyńska, Michał Lach and Barbara Sokołowska
Appl. Sci. 2025, 15(4), 1888; https://doi.org/10.3390/app15041888 - 12 Feb 2025
Viewed by 1274
Abstract
This study investigated the ability of bacterial strains to neutralize odorous substances from cattle slurry (CS). The research was performed to develop a microbial preparation for the deodorization of CS. Among the strains of bacteria (Bacillus and Pseudomonas) isolated from natural [...] Read more.
This study investigated the ability of bacterial strains to neutralize odorous substances from cattle slurry (CS). The research was performed to develop a microbial preparation for the deodorization of CS. Among the strains of bacteria (Bacillus and Pseudomonas) isolated from natural environments, those with the highest ammonia and hydrogen sulfide reduction were selected, and the bacterial consortium was prepared. The biopreparation reduced ammonia by 98% in the unshaken culture and 100% in the aeration culture, after 10 days of incubation (compared to the initial sample). Complete elimination of hydrogen sulfide was noted on day 6 of the deodorization process for both cultures. The microbiological supplementation also had a positive effect on the chemical composition of the slurry, increasing its fertilizer value. The addition of biopreparation to the slurry resulted in a reduced loss of ammonium ions and increased nitrogen concentration by 29%. It was found that the use of the microbial consortium also increased the availability of potassium and phosphorus, which can be used in agricultural production. Nitrogen retention by microorganisms in the slurry increases its organic value and leads to a reduction in the use of mineral fertilizers. Full article
Show Figures

Figure 1

23 pages, 5459 KB  
Article
The Effect of Cysteine on the Removal of Cadmium in Paddy Soil by Combination with Bioremediation and the Response of the Soil Microbial Community
by Emmanuel Konadu Sarkodie, Kewei Li, Ziwen Guo, Jiejie Yang, Yan Deng, Jiaxin Shi, Yulong Peng, Yuli Jiang, Huidan Jiang, Hongwei Liu, Yili Liang, Huaqun Yin, Xueduan Liu and Luhua Jiang
Toxics 2025, 13(1), 22; https://doi.org/10.3390/toxics13010022 - 29 Dec 2024
Cited by 3 | Viewed by 1906
Abstract
Bioremediation is widely recognized as a promising and efficient approach for the elimination of Cd from contaminated paddy soils. However, the Cd removal efficacy achieved through this method remains unsatisfactory and is accompanied by a marginally higher cost. Cysteine has the potential to [...] Read more.
Bioremediation is widely recognized as a promising and efficient approach for the elimination of Cd from contaminated paddy soils. However, the Cd removal efficacy achieved through this method remains unsatisfactory and is accompanied by a marginally higher cost. Cysteine has the potential to improve the bioleaching efficiency of Cd from soils and decrease the use cost since it is green, acidic and has a high Cd affinity. In this study, different combination modes of cysteine and microbial inoculant were designed to analyze their effects on Cd removal and the soil microbial community through the sequence extraction of Cd fraction and high-throughput sequencing. The results demonstrate that the mixture of cysteine and the microbial inoculant was the best mode for increasing the Cd removal efficiency. And a ratio of cysteine to microbial inoculant of 5 mg:2 mL in a 300 mL volume was the most economically efficient matching. The Cd removal rate increased by 7.7–15.1% in comparison with the microbial inoculant treatment. This could be ascribed to the enhanced removal rate of the exchangeable and carbonate-bound Cd, which achieved 94.6% and 96.1%, respectively. After the treatment, the contents of ammonium nitrogen (NH3–N), total phosphorus (TP), available potassium (AK), and available phosphorus (AP) in the paddy soils were increased. The treatment of combinations of cysteine and microbial inoculant had an impact on the soil microbial diversity. The relative abundances of Alicyclobacillus, Metallibacterium, and Bacillus were increased in the paddy soils. The microbial metabolic functions, such as replication and repair and amino acid metabolism, were also increased after treatment, which benefitted the microbial survival and adaptation to the environment. The removal of Cd was attributed to the solubilizing, complexing, and ion-exchanging effects of the cysteine, the intra- and extracellular adsorption, and the production of organic acids of functional microorganisms. Moreover, cysteine, as a carbon, nitrogen, and sulfur source, promoted the growth and metabolism of microorganisms to achieve the effect of the synergistic promotion of microbial Cd removal. Therefore, this study underscored the potential of cysteine to enhance the bioremediation performance in Cd-contaminated paddy soils, offering valuable theoretical and technical insights for this field. Full article
Show Figures

Figure 1

11 pages, 4145 KB  
Article
Acyl Transfer Reactions of 2,4-Dinitrophenyl Furoates: Comparative Effects of Nucleophiles and Non-Leaving Groups
by Sang-Yong Pyun and Seung-Taek Hong
Chemistry 2024, 6(5), 1301-1311; https://doi.org/10.3390/chemistry6050075 - 20 Oct 2024
Viewed by 1952
Abstract
This study investigated the acyl group transfer reactions of 2,4-dinitrophenyl 5-substituted-2-furoates, promoted by 4-substituted phenoxides/phenols in a 20 mol% DMSO aqueous solution at 25 °C. The reactions yielded nucleophilic substitution products and displayed second-order kinetics, with βacyl values ranging from −2.24 to [...] Read more.
This study investigated the acyl group transfer reactions of 2,4-dinitrophenyl 5-substituted-2-furoates, promoted by 4-substituted phenoxides/phenols in a 20 mol% DMSO aqueous solution at 25 °C. The reactions yielded nucleophilic substitution products and displayed second-order kinetics, with βacyl values ranging from −2.24 to −2.50, ρ(x) values between 3.18 and 3.56, and βnuc values of 0.81 to 0.84. These findings indicate an addition–elimination mechanism where the initial step is rate-determining. Comparative analysis with previous data revealed that the transition state structure remained largely consistent when altering the non-leaving group from thienyl to furyl under similar conditions. Notably, a shift in the rate-determining step was observed when changing the nucleophile from secondary amines/ammonium ions to 4-substituted phenoxides/phenols, highlighting the significant impact of nucleophile selection on the reaction kinetics and mechanisms in acyl transfer reactions. Full article
(This article belongs to the Section Molecular Organics)
Show Figures

Figure 1

7 pages, 2493 KB  
Proceeding Paper
Technology of the Biological Treatment of Mine Water at the Kohinoor II Mine
by Jaroslav Mudruňka, Kateřina Matunová Kavková, Radmila Kučerová, Lucie Marcaliková, David Takač, Nikola Drahorádová, Martina Ujházy and Veronika Brašová
Eng. Proc. 2023, 57(1), 34; https://doi.org/10.3390/engproc2023057034 - 7 Dec 2023
Cited by 1 | Viewed by 1293
Abstract
The aim of this work was to assess the effectiveness of the treatment process in the mine water treatment plant in Mariánské Radčice that pumps mine water from the MR1 pit and to evaluate whether this biotechnological unit is satisfactory in its treatment [...] Read more.
The aim of this work was to assess the effectiveness of the treatment process in the mine water treatment plant in Mariánské Radčice that pumps mine water from the MR1 pit and to evaluate whether this biotechnological unit is satisfactory in its treatment process with regard to the set limits for the discharge of treated mine water into watercourses, or whether this water can be discharged into Lake Most in the future, which is intended for recreation, and also with regard to the ecosystem that exists there. Full article
Show Figures

Figure 1

13 pages, 1856 KB  
Article
Investigation of the Segregation of Radiocesium from Contaminated Aqueous Waste Using AMP-PAN Extraction Chromatography
by Taisir Khudhair Abbas, Thaeerh Tariq Abdulghafoor, Ali Hassan Aziz, Saad Al-Saadi, Takrid Munam Nafae, Khalid Turki Rashid and Qusay F. Alsalhy
Energies 2023, 16(18), 6544; https://doi.org/10.3390/en16186544 - 12 Sep 2023
Cited by 6 | Viewed by 2601
Abstract
Removing the hazardous and unstable radioactive isotopes has been considered an arduous task, though they are in minimal concentrations. Cesium-137 (137Cs+) is a primary fission product produced by nuclear processes. Even at low concentrations, such radioactive material is a [...] Read more.
Removing the hazardous and unstable radioactive isotopes has been considered an arduous task, though they are in minimal concentrations. Cesium-137 (137Cs+) is a primary fission product produced by nuclear processes. Even at low concentrations, such radioactive material is a menacing source of contaminants for the environment. The current study aims to separate 137Cs+ from a real contaminated aqueous solution via an ion exchange mechanism using ammonium molybdophosphate–polyacrylonitrile (AMP-PAN) resin loaded in an extraction chromatographic column that possesses considerable selectivity toward cesium ion (Cs+) due to the specific ion exchange between 137Cs+ and NH4+. Additionally, the proposed interaction mechanism between 137Cs+ with APM-PAN resin has been illustrated in this study. The results disclosed that the optimum efficient removal of 137Cs+ (91.188%) was obtained by the AMP-PAN resin using 2 g·L−1, while the distribution adsorption coefficient (129.359 mL·g−1) was at pH 6. The isothermal adsorption process was testified through the Langmuir and Freundlich models. The estimated maximum adsorption capacity reached 140.81 ± 21.3 mg·g−1 for the Freundlich isotherm adsorption model. Finally, AMP-PAN resin could eliminate 137Cs+ from water effectively through adsorption. Full article
Show Figures

Figure 1

18 pages, 2899 KB  
Article
Selective and Binary Adsorption of Anions onto Biochar and Modified Cellulose from Corn Stalks
by Candelaria Tejada-Tovar, Ángel Villabona-Ortíz, Ángel Darío González-Delgado, Adriana Herrera-Barros and Rodrigo Ortega-Toro
Water 2023, 15(7), 1420; https://doi.org/10.3390/w15071420 - 5 Apr 2023
Cited by 6 | Viewed by 3522
Abstract
Water treatment alternatives such as adsorption using agricultural residues are currently being studied to eliminate pollutants that cause eutrophication in water bodies, avoiding the alteration of aquatic ecosystems. In this work, two bio-adsorbents were prepared using cellulose extracted from corn stems, Zea mays [...] Read more.
Water treatment alternatives such as adsorption using agricultural residues are currently being studied to eliminate pollutants that cause eutrophication in water bodies, avoiding the alteration of aquatic ecosystems. In this work, two bio-adsorbents were prepared using cellulose extracted from corn stems, Zea mays, which were labeled as MC (quaternized cellulose modified with Cetyl trimethyl ammonium chloride) and B 1:1 (biochar obtained by the impregnation of the biomass with an H2SO4 solution, 50% v/v, using a ratio of 1:1% weight of biomass to volume, followed by carbonization at 520 °C for 30 min with a heating rate of 10 °C/min). FTIR, TGA, DSC, and SEM-EDS were used to study the properties of the bio-adsorbents. The effect of temperature over nitrate and phosphate adsorption in the selective and binary system at 100 mg/L was tested at five temperatures: 25, 30, 35, 40, and 45 °C, using a load of the pollutant of 100 mg/L, volume of 5 mL, and a rate of bio-adsorbent of 2 g/L at 200 rpm. Results showed a phosphate removal of 29.1% using the B 1:1 bio-adsorbent at 30 °C and 23.8% with the MC bio-adsorbent at 35 °C. In the case of nitrate, removal of 40% was determined with the B 1:1 bio-adsorbent at 25 °C, while removal of 38.5% was attained at 30 °C after using the MC bio-adsorbent. The equilibrium was reached at 420 min. Nitrate adsorption with the MC sample showed a good adjustment to the pseudo-second-order model. The pseudo-first-order model described the kinetics of phosphate removal with MC, while this model had a good fit with the B 1:1 sample for nitrate and phosphate. Freundlich’s model also adjusted the adsorption equilibrium for both anions with acceptable accuracy. Moreover, the binary study indicated selectivity for the phosphate, suggesting the potential applications of the carbon-based bio-adsorbents for anionic ions remotion in aqueous media. Full article
Show Figures

Figure 1

24 pages, 2781 KB  
Article
One-Pot Syntheses of PET-Based Plasticizer and Tetramethyl Thiuram Monosulfide (TMTS) as Vulcanization Accelerator for Rubber Production
by Goran Milentijević, Milena Milošević, Svetomir Milojević, Smiljana Marković, Milica Rančić, Aleksandar Marinković and Milutin Milosavljević
Processes 2023, 11(4), 1033; https://doi.org/10.3390/pr11041033 - 29 Mar 2023
Cited by 1 | Viewed by 3065
Abstract
Styrene-butadiene (SBR) and acrylonitrile-butadiene (NBR) rubber blends with tetramethyl thiuram disulfide (TMTD) and tetramethyl thiuram monosulfide (TMTS) accelerators and environmentally friendly plasticizers, obtained from PET recycling and biobased resources (LA/PG/PET/EG/LA), were prepared. The mechanical properties of the obtained rubber products were tested and [...] Read more.
Styrene-butadiene (SBR) and acrylonitrile-butadiene (NBR) rubber blends with tetramethyl thiuram disulfide (TMTD) and tetramethyl thiuram monosulfide (TMTS) accelerators and environmentally friendly plasticizers, obtained from PET recycling and biobased resources (LA/PG/PET/EG/LA), were prepared. The mechanical properties of the obtained rubber products were tested and compared with those of commercial dioctyl terephthalate (DOTP). TMTS was prepared by simple and efficient one-pot synthesis from dimethylamine, carbon disulfide, potassium cyanide, and ammonium chloride as catalysts in recycled isopropanol/water azeotrope as solvent. In a comparative study, methoxide, ethoxide, iodide, and amide ions were also used. The two-step reaction mechanism of TMTS synthesis involves the oxidation of the amine salt of dimethyldithiocarbamic acid to TMTD by hydrogen peroxide and sulfur elimination from the TMTD disulfide bond. Potassium cyanide appears to be the most efficient nucleophile. The simplicity of operation, mild reaction conditions, solvent recycling, high yields, and applicability to the industrial level are the advantages of this process. Shore hardness, tensile strength, and compression test results of vulcanized blends before and after aging showed similar properties for both accelerators, while somewhat better results were obtained with LA/PG/PET/EG/LA plasticizer. Full article
Show Figures

Figure 1

26 pages, 5028 KB  
Article
Coagulation and Flocculation Optimization Process Applied to the Sidestream of an Urban Wastewater Treatment Plant
by Arturo Barros, Xanel Vecino, Mònica Reig and José Luis Cortina
Water 2022, 14(24), 4024; https://doi.org/10.3390/w14244024 - 9 Dec 2022
Cited by 9 | Viewed by 6125
Abstract
Ammonium (NH4+) recirculation from the streams generated in the dehydration stage of the sludge generated in the anaerobic digestion of urban wastewater treatment plants (WWTPs), known as centrate or sidestream, produces a reduction in the efficiency of WWTPs. Given this [...] Read more.
Ammonium (NH4+) recirculation from the streams generated in the dehydration stage of the sludge generated in the anaerobic digestion of urban wastewater treatment plants (WWTPs), known as centrate or sidestream, produces a reduction in the efficiency of WWTPs. Given this scenario and the formulation that a WWTP should be considered a by-product generating facility (biofactory), solutions for ammonia/ammonium recovery are being promoted. These include a nitrogen source that reduces the need for ammonia production through the Haber–Bosch process. Therefore, the recovery of nutrients from urban cycles is a potential and promising line of research. In the case of nitrogen, this has been aimed at recovering NH4+ to produce high-quality fertilizers through membrane or ion exchange processes. However, these techniques usually require a pretreatment, which could include an ultrafiltration stage, to eliminate suspended solids and organic matter. In this case, the coagulation/flocculation (C/F) process is an economical alternative for this purpose. In this work, the sidestream from Vilanova i la Geltrú WWTP (Barcelona, Spain) was characterized to optimize a C/F process before being treated by other processes for ammonium recovery. The optimization was performed considering a bibliographic and experimental analysis of several operating parameters: coagulant and flocculant agents, mixing velocity, and operation time, among others. Then, the removal efficiency of control parameters such as turbidity, chemical oxygen demand (COD), and total suspended solids (TSS) was calculated. This optimization resulted in the use of 25 mg/L of ferric chloride (FeCl3) combined with 25 mg/L of a flocculant composed of silicon (SiO2 3%), aluminum (Al2SO4 64.5%), and iron salts (Fe2O3 32.5%), into a 1 min rapid mixing process at 200 rpm and a slow mixing for 30 min at 30 rpm, followed by a final 30 min settling process. The numerical and statistical results of the process optimization reached 91.5%, 59.1%, and 95.2% removal efficiency for turbidity, COD, and TSS, respectively. These efficiencies theoretically support the enhanced coagulation/flocculation process as a pretreatment for a higher NH4+ recovery rate, achieving 570.6 mgNH4+/L, and a reduction in the dimensioning or substitution of other membrane processes process due to its high TSS removal value. Full article
Show Figures

Figure 1

23 pages, 5474 KB  
Article
Polymer-Based Nano-Adsorbent for the Removal of Lead Ions: Kinetics Studies and Optimization by Response Surface Methodology
by Abdullahi Haruna Birniwa, Sana Kehili, Mujahid Ali, Haruna Musa, Umar Ali, Shamsul Rahman Mohamed Kutty, Ahmad Hussaini Jagaba, Shehu Sa’ad Abdullahi, Elsayed Mohamed Tag-Eldin and Habibun Nabi Muhammad Ekramul Mahmud
Separations 2022, 9(11), 356; https://doi.org/10.3390/separations9110356 - 8 Nov 2022
Cited by 49 | Viewed by 4701
Abstract
This work successfully created a polypyrrole-polyethyleneimine (PPy-PEI) nano adsorbent for the elimination of the lead ion Pb2+ from an aqueous solution. An efficient conducting polymer-based adsorbent called as was created using ammonium persulfate (NH4)2S2O8 as an oxidant [...] Read more.
This work successfully created a polypyrrole-polyethyleneimine (PPy-PEI) nano adsorbent for the elimination of the lead ion Pb2+ from an aqueous solution. An efficient conducting polymer-based adsorbent called as was created using ammonium persulfate (NH4)2S2O8 as an oxidant (PPy-PEI). The PEI hyper-branched polymer with terminal amino groups was added to the PPy adsorbent to offer heavy metals more effective chelating sites. Pb2+ removal from aqueous solution using polyethyleneimine micro adsorbent was successfully accomplished using a batch equilibrium technique (PPy-PEI). The generated water-insoluble polymer nanoadsorbent had enough nitrogen atoms; therefore, an effort was made to link PEI, a water-soluble PPy, with PPy, a conjugated polymer, for lead ion adsorption from an aqueous solution. The generated PPy-PEI nanoadsorbents were discovered to have average particle sizes of 18–34 nm and a Brunauer-Emmet-Teller surface area of 17 m2/g, respectively. The thermal behavior of the composites was investigated using thermo gravimetric and differential scanning calorimetric methods. The lead ion adsorption efficacy of pure polypyrrole was found to be 38%; however, a batch equilibrium technique employing nanoadsorbent revealed with the maximum adsorption capacity of 75.60 mg g−1. At pH 10 and 30 min of contact time at 50 °C, 0.2 g of adsorption was shown to be the ideal dosage. X-ray diffraction analysis, energy-dispersive ray spectroscopy, and Fourier transform infrared ray spectrum support the lead ion adsorption by PPy-PEI nanoadsorbents. The cauli-like structure was visible using field emission scanning electron microscopy. Studying the thermodynamic showed that the adsorption was endothermic as illustrated from the positive value of value of ΔH° is 1.439 kJ/mol which indicates that the uptake of Pb2+ onto nanoadsorbent PPy-PEI could be attributed to a physical adsorption process. According to the values of ΔG°, the adsorption process was spontaneous at all selected temperatures. The positive value of ΔS° value (43.52 j/mol) suggested an increase in the randomness at the solid/solution interface during the adsorption process. The adsorption data meet the pseudo-second-order kinetic model and suited the Langumuir isothermal model effectively. Full article
Show Figures

Figure 1

35 pages, 2945 KB  
Review
Is K-Struvite Precipitation a Plausible Nutrient Recovery Method from Potassium-Containing Wastes?—A Review
by Işık Kabdaşlı, Alessio Siciliano, Carlo Limonti and Olcay Tünay
Sustainability 2022, 14(18), 11680; https://doi.org/10.3390/su141811680 - 17 Sep 2022
Cited by 25 | Viewed by 6470
Abstract
The definition of technologies capable of removing and recovering nutrients from polluting effluents is a key environmental challenge. Through these technologies, it would be possible to protect aquatic systems and prevent the consumption of natural resources for the production of commercial fertilizers. In [...] Read more.
The definition of technologies capable of removing and recovering nutrients from polluting effluents is a key environmental challenge. Through these technologies, it would be possible to protect aquatic systems and prevent the consumption of natural resources for the production of commercial fertilizers. In this regard, the application of the precipitation processes of struvite-type compounds is an attractive approach. Indeed, these processes are potentially able to remove nutrients from many effluents and produce a precipitate reusable as a slow-release fertilizer. The scientific community has largely focused on the precipitation of magnesium ammonium phosphate (MgNH4PO4·6H2O, MAP), while the recovery of the analogous magnesium potassium phosphate (MgKPO4·6H2O, MPP) has received extensive attention in the last decade. Research on this topic is continuously progressing to improve the precipitation process in different aspects (working conditions, reaction units, interference elimination, etc.). Until now, there has been no paper that comprehensively reviewed the applicability of MPP precipitation for the removal and recovery of nutrients from aqueous waste. To fill this gap, the present paper aimed to provide an exhaustive analysis of the literature reports on MPP processes to help researchers understand the theoretical and applicative aspects, the main problems, and the need for further research. In this regard, the applications in the treatment of various aqueous wastes were considered. The theoretical concepts, the main process parameters, and the effects of inhibiting substances and impurities are presented. Moreover, the development of reactor configurations and their working conditions are evaluated. Finally, the potential use of MPP as a fertilizer and some economic evaluations are reported. On the basis of the conducted analysis, it emerged that the recovery of MPP was mainly affected by the pH, dose, and nature of reagents, as well as the presence of competitive ions. The optimal pH values were reported to be between 9 and 11. Reagent overdoses with respect to the theoretical values improved the process and the use of pure reagents guaranteed superior performance. The stirred-tank reactors and fluidized bed reactors were the most used units with high process yields. The applicability of MPP in agronomic practices appears to be a suitable option. Full article
Show Figures

Figure 1

16 pages, 2583 KB  
Article
Simultaneous Determination and Pharmacokinetics Study of Three Triterpenes from Sanguisorba officinalis L. in Rats by UHPLC–MS/MS
by Fanshu Wei, Chunjuan Yang, Lihong Wu, Jiahui Sun, Zhenyue Wang and Zhibin Wang
Molecules 2022, 27(17), 5412; https://doi.org/10.3390/molecules27175412 - 24 Aug 2022
Cited by 7 | Viewed by 2358
Abstract
A selective and rapid ultra-high-performance liquid chromatography–tandem mass spectrometry (UHPLC–MS/MS) method was established and validated for the determination of ziyuglycoside I, 3β,19α-dihydroxyurs-12-en-28-oic-acid 28-β-d-glucopyranosyl ester, and pomolic acid in rats after the oral administration of ziyuglycoside [...] Read more.
A selective and rapid ultra-high-performance liquid chromatography–tandem mass spectrometry (UHPLC–MS/MS) method was established and validated for the determination of ziyuglycoside I, 3β,19α-dihydroxyurs-12-en-28-oic-acid 28-β-d-glucopyranosyl ester, and pomolic acid in rats after the oral administration of ziyuglycoside I, 3β,19α-dihydroxyurs-12-en-28-oic-acid 28-β-d-glucopyranosyl ester, pomolic acid, and Sanguisorba officinalis L. extract. The separation was carried out on an ACQUITY UPLC®HSS T3 column (2.1 mm × 100 mm, 1.8 μm), using methanol and 5 mmol/L ammonium acetate water as the mobile phase. The three compounds were quantified using the multiple reaction monitoring mode with the electrospray ion source in both the positive and negative mode. Liquid-liquid extraction was applied to the plasma sample preparation. Bifendate was selected as the internal standard. The intra-day and inter-day precision and the accuracy of the method were all within receivable ranges. The lower limit of quantification of ziyuglycoside I, 3β,19α-dihydroxyurs-12-en-28-oic-acid 28-β-d-glucopyranosyl ester, and pomolic acid were 6.50, 5.75, and 2.63 ng/mL, respectively. The extraction recoveries of analytes in rat plasma ranged from 83 to 94%. The three components could be rapidly absorbed into the blood (Tmax, 1.4–1.6 h) both in the single-administration group or S. officinalis extract group, but the first peak of PA occurred at 0.5 h and the second peak at 4–5 h in the S. officinalis extract. Three compounds were eliminated relatively slowly (t1/2, 7.3–11 h). The research was to establish a rapid, sensible, and sensitive UHPLC–MS/MS method using the multi-ion mode for multi-channel simultaneous mensuration pharmacokinetics parameters of three compounds in rats after oral administration of S. officinalis extract. This study found, for the first time, differences in the pharmacokinetic parameters of the three compounds in the monomer compounds and S. officinalis extract administration, which preliminarily revealed the transformation and metabolism of the three compounds in vivo. Full article
Show Figures

Figure 1

12 pages, 2844 KB  
Article
A Kinetic Study on Enhanced Cementation of Gold Ions by Galvanic Interactions between Aluminum (Al) as an Electron Donor and Activated Carbon (AC) as an Electron Mediator in Ammonium Thiosulfate System
by Sanghee Jeon, Sharrydon Bright, Ilhwan Park, Akuru Kuze, Mayumi Ito and Naoki Hiroyoshi
Minerals 2022, 12(1), 91; https://doi.org/10.3390/min12010091 - 13 Jan 2022
Cited by 10 | Viewed by 2726
Abstract
The enhanced cementation technique by galvanic interaction of aluminum (Al; electron donor) and activated carbon (AC; electron mediator) to recover gold (Au) ions from the ammonium thiosulfate solution is a promising technique to eliminate the challenges of poor recovery in the system. This [...] Read more.
The enhanced cementation technique by galvanic interaction of aluminum (Al; electron donor) and activated carbon (AC; electron mediator) to recover gold (Au) ions from the ammonium thiosulfate solution is a promising technique to eliminate the challenges of poor recovery in the system. This study presents the kinetics of Au ion cementation in an ammonium thiosulfate lixiviant as functions of initial Au concentration, size/amount of Al and AC, temperature, and shaking speed. The recovery results basically followed first order kinetics and showed that the cementation rate increased with a higher initial concentration of Au, smaller electron donor size, greater both electron donor and mediator quantity, decrease in temperature, and higher shaking speed in the system, while size of electron mediator did not significantly affect Au recovery. Full article
(This article belongs to the Special Issue Sustainable Production of Metals for Low-Carbon Technologies)
Show Figures

Figure 1

40 pages, 542 KB  
Review
A State-of-the-Art Review on Innovative Geopolymer Composites Designed for Water and Wastewater Treatment
by Ismail Luhar, Salmabanu Luhar, Mohd Mustafa Al Bakri Abdullah, Rafiza Abdul Razak, Petrica Vizureanu, Andrei Victor Sandu and Petre-Daniel Matasaru
Materials 2021, 14(23), 7456; https://doi.org/10.3390/ma14237456 - 4 Dec 2021
Cited by 95 | Viewed by 7188
Abstract
There is nothing more fundamental than clean potable water for living beings next to air. On the other hand, wastewater management is cropping up as a challenging task day-by-day due to lots of new additions of novel pollutants as well as the development [...] Read more.
There is nothing more fundamental than clean potable water for living beings next to air. On the other hand, wastewater management is cropping up as a challenging task day-by-day due to lots of new additions of novel pollutants as well as the development of infrastructures and regulations that could not maintain its pace with the burgeoning escalation of populace and urbanizations. Therefore, momentous approaches must be sought-after to reclaim fresh water from wastewaters in order to address this great societal challenge. One of the routes is to clean wastewater through treatment processes using diverse adsorbents. However, most of them are unsustainable and quite costly e.g. activated carbon adsorbents, etc. Quite recently, innovative, sustainable, durable, affordable, user and eco-benevolent Geopolymer composites have been brought into play to serve the purpose as a pretty novel subject matter since they can be manufactured by a simple process of Geopolymerization at low temperature, lower energy with mitigated carbon footprints and marvellously, exhibit outstanding properties of physical and chemical stability, ion-exchange, dielectric characteristics, etc., with a porous structure and of course lucrative too because of the incorporation of wastes with them, which is in harmony with the goal to transit from linear to circular economy, i.e., “one’s waste is the treasure for another”. For these reasons, nowadays, this ground-breaking inorganic class of amorphous alumina-silicate materials are drawing the attention of the world researchers for designing them as adsorbents for water and wastewater treatment where the chemical nature and structure of the materials have a great impact on their adsorption competence. The aim of the current most recent state-of-the-art and scientometric review is to comprehend and assess thoroughly the advancements in geo-synthesis, properties and applications of geopolymer composites designed for the elimination of hazardous contaminants viz., heavy metal ions, dyes, etc. The adsorption mechanisms and effects of various environmental conditions on adsorption efficiency are also taken into account for review of the importance of Geopolymers as most recent adsorbents to get rid of the death-defying and toxic pollutants from wastewater with a view to obtaining reclaimed potable and sparkling water for reuse offering to trim down the massive crisis of scarcity of water promoting sustainable water and wastewater treatment for greener environments. The appraisal is made on the performance estimation of Geopolymers for water and wastewater treatment along with the three-dimensional printed components are characterized for mechanical, physical and chemical attributes, permeability and Ammonium (NH4+) ion removal competence of Geopolymer composites as alternative adsorbents for sequestration of an assortment of contaminants during wastewater treatment. Full article
(This article belongs to the Special Issue Future Trends in Advanced Materials and Processes)
22 pages, 3564 KB  
Article
Ammonia Bioremediation from Aquaculture Wastewater Effluents Using Arthrospira platensis NIOF17/003: Impact of Biodiesel Residue and Potential of Ammonia-Loaded Biomass as Rotifer Feed
by Mohamed Ashour, Ahmed E. Alprol, Ahmed M. M. Heneash, Hosam Saleh, Khamael M. Abualnaja, Dalal Alhashmialameer and Abdallah Tageldein Mansour
Materials 2021, 14(18), 5460; https://doi.org/10.3390/ma14185460 - 21 Sep 2021
Cited by 46 | Viewed by 4742
Abstract
The present work evaluated the capability of Arthrospira platensis complete biomass (ACDW) and the lipid-free biomass (LFB) to remove ammonium ions (NH4+) from aquaculture wastewater discharge. Under controlled conditions in flasks filled with 100 mL of distilled water (synthetic aqueous [...] Read more.
The present work evaluated the capability of Arthrospira platensis complete biomass (ACDW) and the lipid-free biomass (LFB) to remove ammonium ions (NH4+) from aquaculture wastewater discharge. Under controlled conditions in flasks filled with 100 mL of distilled water (synthetic aqueous solution), a batch process ion-exchange was conducted by changing the main parameters including contact times (15, 30, 45, 60, 120, and 180 min), initial ammonium ion concentrations (10, 20, 30, 40, 50, and 100 mg·L−1), and initial pH levels (2, 4, 6, 8, and 10) at various dosages of ACDW and LFB as adsorbents (0.02, 0.04, 0.06, 0.08, and 0.1 g). After lab optimization, ammonia removal from real aquaculture wastewater was also examined. The removal of ammonium using ACDW and LFB in the synthetic aqueous solution (64.24% and 89.68%, respectively) was higher than that of the real aquaculture effluents (25.70% and 37.80%, respectively). The data of IR and Raman spectroscopy confirmed the existence of various functional groups in the biomass of ACDW and LFB. The adsorption equilibrium isotherms were estimated using Freundlich, Langmuir, and Halsey models, providing an initial description of the ammonia elimination capacity of A. platensis. The experimental kinetic study was suitably fit by a pseudo-second-order equation. On the other hand, as a result of the treatment of real aquaculture wastewater (RAW) using LFB and ACDW, the bacterial counts of the LFB, ACDW, ACDW-RAW, and RAW groups were high (higher than 300 CFU), while the LFB-RAW group showed lower than 100 CFU. The current study is the first work reporting the potential of ammonia-loaded microalgae biomass as a feed source for the rotifer (Brachionus plicatilis). In general, our findings concluded that B. plicatilis was sensitive to A. platensis biomass loaded with ammonia concentrations. Overall, the results in this work showed that the biomass of A. platensis is a promising candidate for removing ammonia from aquaculture wastewater. Full article
(This article belongs to the Special Issue Materials Design for Pollutant Sensing and Environmental Remediation)
Show Figures

Figure 1

Back to TopTop