Sign in to use this feature.

Years

Between: -

Subjects

remove_circle_outline
remove_circle_outline
remove_circle_outline
remove_circle_outline
remove_circle_outline
remove_circle_outline

Journals

Article Types

Countries / Regions

Search Results (12)

Search Parameters:
Keywords = divide-and-conquer sampling

Order results
Result details
Results per page
Select all
Export citation of selected articles as:
24 pages, 1213 KB  
Article
A Divide-and-Conquer Strategy for Cross-Domain Few-Shot Learning
by Bingxin Wang and Dehong Yu
Electronics 2025, 14(3), 418; https://doi.org/10.3390/electronics14030418 - 21 Jan 2025
Cited by 1 | Viewed by 1138
Abstract
Cross-Domain Few-Shot Learning (CD-FSL) aims to empower machines with the capability to rapidly acquire new concepts across domains using an extremely limited number of training samples from the target domain. This ability hinges on the model’s capacity to extract and transfer generalizable knowledge [...] Read more.
Cross-Domain Few-Shot Learning (CD-FSL) aims to empower machines with the capability to rapidly acquire new concepts across domains using an extremely limited number of training samples from the target domain. This ability hinges on the model’s capacity to extract and transfer generalizable knowledge from a source training set. Studies have indicated that the similarity between source and target-data distributions, as well as the difficulty of target tasks, determine the classification performance of the model. However, the current lack of quantitative metrics hampers researchers’ ability to devise appropriate learning strategies, leading to a fragmented understanding of the field. To address this issue, we propose quantitative metrics of domain distance and target difficulty, which allow us to categorize target tasks into three regions on a two-dimensional plane: near-domain tasks, far-domain low-difficulty tasks, and far-domain high-difficulty tasks. For datasets in different regions, we propose a Divide-and-Conquer Strategy (DCS) to tackle few-shot classification across various target datasets. Empirical results across 15 target datasets demonstrate the compatibility and effectiveness of our approach, improving the model performance. We conclude that the proposed metrics are reliable and the Divide-and-Conquer Strategy is effective, offering valuable insights and serving as a reference for future research on CD-FSL. Full article
Show Figures

Figure 1

22 pages, 3445 KB  
Article
An Intelligent Power Transformers Diagnostic System Based on Hierarchical Radial Basis Functions Improved by Linde Buzo Gray and Single-Layer Perceptron Algorithms
by Mounia Hendel, Imen Souhila Bousmaha, Fethi Meghnefi, Issouf Fofana and Mostefa Brahami
Energies 2024, 17(13), 3171; https://doi.org/10.3390/en17133171 - 27 Jun 2024
Cited by 4 | Viewed by 1510
Abstract
Transformers are fundamental and among the most expensive electrical devices in any power transmission and distribution system. Therefore, it is essential to implement powerful maintenance methods to monitor and predict their condition. Due to its many advantages—such as early detection, accurate diagnosis, cost [...] Read more.
Transformers are fundamental and among the most expensive electrical devices in any power transmission and distribution system. Therefore, it is essential to implement powerful maintenance methods to monitor and predict their condition. Due to its many advantages—such as early detection, accurate diagnosis, cost reduction, and rapid response time—dissolved gas analysis (DGA) is regarded as one of the most effective ways to assess a transformer’s condition. In this contribution, we propose a new probabilistic hierarchical intelligent system consisting of five subnetworks of the radial basis functions (RBF) type. Indeed, hierarchical classification minimizes the complexity of the discrimination task by employing a divide-and-conquer strategy, effectively addressing the issue of unbalanced data (a significant disparity between the categories to be predicted). This approach contributes to a more precise and sophisticated diagnosis of transformers. The first subnetwork detects the presence or absence of defects, separating defective samples from healthy ones. The second subnetwork further classifies the defective samples into three categories: electrical, thermal, and cellulosic decomposition. The samples in these categories are then precisely assigned to their respective subcategories by the third, fourth, and fifth subnetworks. To optimize the hyperparameters of the five models, the Linde–Buzo–Gray algorithm is implemented to reduce the number of centers (radial functions) in each subnetwork. Subsequently, a single-layer perceptron is trained to determine the optimal synaptic weights, which connect the intermediate layer to the output layer. The results obtained with our proposed system surpass those achieved with another implemented alternative (a single RBF), with an average sensitivity percentage as high as 96.85%. This superiority is validated by a Student’s t-test, showing a significant difference greater than 5% (p-value < 0.001). These findings demonstrate and highlight the relevance of the proposed hierarchical configuration. Full article
Show Figures

Figure 1

17 pages, 1887 KB  
Article
A Secret Key Classification Framework of Symmetric Encryption Algorithm Based on Deep Transfer Learning
by Xiaotong Cui, Hongxin Zhang, Xing Fang, Yuanzhen Wang, Danzhi Wang, Fan Fan and Lei Shu
Appl. Sci. 2023, 13(21), 12025; https://doi.org/10.3390/app132112025 - 3 Nov 2023
Cited by 3 | Viewed by 2503
Abstract
The leakage signals, including electromagnetic, energy, time, and temperature, generated during the operation of password devices contain highly correlated key information, which leads to security vulnerabilities. In traditional encryption algorithms, the length of the key greatly affects the upper limit of its security [...] Read more.
The leakage signals, including electromagnetic, energy, time, and temperature, generated during the operation of password devices contain highly correlated key information, which leads to security vulnerabilities. In traditional encryption algorithms, the length of the key greatly affects the upper limit of its security against cracking. Regarding side-channel attacks on long-key algorithms, traditional template attack methods characterize the energy traces using multivariate Gaussian distribution during the template construction phase. The exhaustive key-guessing process is expected to consume a significant amount of time and computational resources. Therefore, to analyze the effectiveness of obtaining key values from the side information of password devices, we propose an innovative attack method based on a divide-and-conquer logical structure, targeting semi-bytes. We construct a collection of key classification submodules with symmetric correlations. By integrating a differential network model for byte-block sets and an end-to-end direct attack method, we form a holistic symmetric decision framework and propose a key classification structure based on deep transfer learning. This structure consists of three main parts: side information data acquisition, analysis of key-value effectiveness, and determination of attack positions. It employs multiple parallel symmetric subnetworks, effectively improving attack efficiency and reducing the key enumeration range. Experimental results show that the optimal attack accuracy of the network model can reach 91%, with an average attack accuracy of 78%. It overcomes overfitting issues under small sample dataset conditions. Full article
(This article belongs to the Special Issue New Advance in Electronic Information Security)
Show Figures

Figure 1

15 pages, 1882 KB  
Article
A Two-Stage Structural Damage Detection Method Based on 1D-CNN and SVM
by Chenhui Jiang, Qifeng Zhou, Jiayan Lei and Xinhong Wang
Appl. Sci. 2022, 12(20), 10394; https://doi.org/10.3390/app122010394 - 15 Oct 2022
Cited by 24 | Viewed by 4133
Abstract
Deep learning has been applied to structural damage detection and achieved great success in recent years, such as the popular structural damage detection methods based on structural vibration response and convolutional neural networks (CNN). However, due to the limited number of vibration response [...] Read more.
Deep learning has been applied to structural damage detection and achieved great success in recent years, such as the popular structural damage detection methods based on structural vibration response and convolutional neural networks (CNN). However, due to the limited number of vibration response samples that can be acquired in practice for damage detection, the CNN-based models may not be fully trained; thus, their performance for identifying different damage severity as well as the damage locations may be reduced. To solve this issue, in this paper, we follow the strategy of "divide-and-conquer" and propose a two-stage structural damage detection method. Specifically, in the first stage, a 1D-CNN model is constructed to extract the damage features automatically and identify the damage locations. In the second stage, a support vector machine (SVM) model and wavelet packet decomposition technique are combined to further quantify the damage. Experiments are conducted on an eight-level steel frame structure, and the accuracy of the experimental results is greater than 99%, which demonstrates the superiority of the proposed method compared to the state-of-the-art approaches. Full article
(This article belongs to the Special Issue Machine Learning in Vibration and Acoustics)
Show Figures

Figure 1

21 pages, 3928 KB  
Article
Backtracking Reconstruction Network for Three-Dimensional Compressed Hyperspectral Imaging
by Xi Wang, Tingfa Xu, Yuhan Zhang, Axin Fan, Chang Xu and Jianan Li
Remote Sens. 2022, 14(10), 2406; https://doi.org/10.3390/rs14102406 - 17 May 2022
Cited by 5 | Viewed by 2809
Abstract
Compressed sensing (CS) has been widely used in hyperspectral (HS) imaging to obtain hyperspectral data at a sub-Nyquist sampling rate, lifting the efficiency of data acquisition. Yet, reconstructing the acquired HS data via iterative algorithms is time consuming, which hinders the real-time application [...] Read more.
Compressed sensing (CS) has been widely used in hyperspectral (HS) imaging to obtain hyperspectral data at a sub-Nyquist sampling rate, lifting the efficiency of data acquisition. Yet, reconstructing the acquired HS data via iterative algorithms is time consuming, which hinders the real-time application of compressed HS imaging. To alleviate this problem, this paper makes the first attempt to adopt convolutional neural networks (CNNs) to reconstruct three-dimensional compressed HS data by backtracking the entire imaging process, leading to a simple yet effective network, dubbed the backtracking reconstruction network (BTR-Net). Concretely, we leverage the divide-and-conquer method to divide the imaging process based on coded aperture tunable filter (CATF) spectral imager into steps, and build a subnetwork for each step to specialize in its reverse process. Consequently, BTR-Net introduces multiple built-in networks which performs spatial initialization, spatial enhancement, spectral initialization and spatial–spectral enhancement in an independent and sequential manner. Extensive experiments show that BTR-Net can reconstruct compressed HS data quickly and accurately, which outperforms leading iterative algorithms both quantitatively and visually, while having superior resistance to noise. Full article
Show Figures

Graphical abstract

21 pages, 2426 KB  
Review
“Dividing and Conquering” and “Caching” in Molecular Modeling
by Xiaoyong Cao and Pu Tian
Int. J. Mol. Sci. 2021, 22(9), 5053; https://doi.org/10.3390/ijms22095053 - 10 May 2021
Cited by 7 | Viewed by 5170
Abstract
Molecular modeling is widely utilized in subjects including but not limited to physics, chemistry, biology, materials science and engineering. Impressive progress has been made in development of theories, algorithms and software packages. To divide and conquer, and to cache intermediate results have been [...] Read more.
Molecular modeling is widely utilized in subjects including but not limited to physics, chemistry, biology, materials science and engineering. Impressive progress has been made in development of theories, algorithms and software packages. To divide and conquer, and to cache intermediate results have been long standing principles in development of algorithms. Not surprisingly, most important methodological advancements in more than half century of molecular modeling are various implementations of these two fundamental principles. In the mainstream classical computational molecular science, tremendous efforts have been invested on two lines of algorithm development. The first is coarse graining, which is to represent multiple basic particles in higher resolution modeling as a single larger and softer particle in lower resolution counterpart, with resulting force fields of partial transferability at the expense of some information loss. The second is enhanced sampling, which realizes “dividing and conquering” and/or “caching” in configurational space with focus either on reaction coordinates and collective variables as in metadynamics and related algorithms, or on the transition matrix and state discretization as in Markov state models. For this line of algorithms, spatial resolution is maintained but results are not transferable. Deep learning has been utilized to realize more efficient and accurate ways of “dividing and conquering” and “caching” along these two lines of algorithmic research. We proposed and demonstrated the local free energy landscape approach, a new framework for classical computational molecular science. This framework is based on a third class of algorithm that facilitates molecular modeling through partially transferable in resolution “caching” of distributions for local clusters of molecular degrees of freedom. Differences, connections and potential interactions among these three algorithmic directions are discussed, with the hope to stimulate development of more elegant, efficient and reliable formulations and algorithms for “dividing and conquering” and “caching” in complex molecular systems. Full article
(This article belongs to the Special Issue Advances in Molecular Simulation)
Show Figures

Figure 1

18 pages, 1308 KB  
Article
Unscented Particle Filter Algorithm Based on Divide-and-Conquer Sampling for Target Tracking
by Sichun Du and Qing Deng
Sensors 2021, 21(6), 2236; https://doi.org/10.3390/s21062236 - 23 Mar 2021
Cited by 7 | Viewed by 4479
Abstract
Unscented particle filter (UPF) struggles to completely cover the target state space when handling the maneuvering target tracing problem, and the tracking performance can be affected by the low sample diversity and algorithm redundancy. In order to solve this problem, the method of [...] Read more.
Unscented particle filter (UPF) struggles to completely cover the target state space when handling the maneuvering target tracing problem, and the tracking performance can be affected by the low sample diversity and algorithm redundancy. In order to solve this problem, the method of divide-and-conquer sampling is applied to the UPF tracking algorithm. By decomposing the state space, the descending dimension processing of the target maneuver is realized. When dealing with the maneuvering target, particles are sampled separately in each subspace, which directly prevents particles from degeneracy. Experiments and a comparative analysis were carried out to comprehensively analyze the performance of the divide-and-conquer sampling unscented particle filter (DCS-UPF). The simulation result demonstrates that the proposed algorithm can improve the diversity of particles and obtain higher tracking accuracy in less time than the particle swarm algorithm and intelligent adaptive filtering algorithm. This algorithm can be used in complex maneuvering conditions. Full article
(This article belongs to the Special Issue Multi-Sensor Fusion for Object Detection and Tracking)
Show Figures

Figure 1

16 pages, 5348 KB  
Article
DC-MMD-GAN: A New Maximum Mean Discrepancy Generative Adversarial Network Using Divide and Conquer
by Zhaokun Zhou, Yuanhong Zhong, Xiaoming Liu, Qiang Li and Shu Han
Appl. Sci. 2020, 10(18), 6405; https://doi.org/10.3390/app10186405 - 14 Sep 2020
Cited by 7 | Viewed by 6012
Abstract
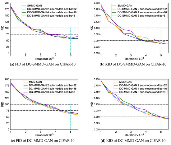
Generative adversarial networks (GANs) have a revolutionary influence on sample generation. Maximum mean discrepancy GANs (MMD-GANs) own competitive performance when compared with other GANs. However, the loss function of MMD-GANs is an empirical estimate of maximum mean discrepancy (MMD) and not precise in [...] Read more.
Generative adversarial networks (GANs) have a revolutionary influence on sample generation. Maximum mean discrepancy GANs (MMD-GANs) own competitive performance when compared with other GANs. However, the loss function of MMD-GANs is an empirical estimate of maximum mean discrepancy (MMD) and not precise in measuring the distance between sample distributions, which inhibits MMD-GANs training. We propose an efficient divide-and-conquer model, called DC-MMD-GANs, which constrains the loss function of MMD to tight bound on the deviation between empirical estimate and expected value of MMD and accelerates the training process. DC-MMD-GANs contain a division step and conquer step. In the division step, we learn the embedding of training images based on auto-encoder, and partition the training images into adaptive subsets through k-means clustering based on the embedding. In the conquer step, sub-models are fed with subsets separately and trained synchronously. The loss function values of all sub-models are integrated to compute a new weight-sum loss function. The new loss function with tight deviation bound provides more precise gradients for improving performance. Experimental results show that with a fixed number of iterations, DC-MMD-GANs can converge faster, and achieve better performance compared with the standard MMD-GANs on celebA and CIFAR-10 datasets. Full article
(This article belongs to the Section Computing and Artificial Intelligence)
Show Figures

Graphical abstract

21 pages, 5438 KB  
Article
A Parallel Evolutionary Computing-Embodied Artificial Neural Network Applied to Non-Intrusive Load Monitoring for Demand-Side Management in a Smart Home: Towards Deep Learning
by Yu-Hsiu Lin
Sensors 2020, 20(6), 1649; https://doi.org/10.3390/s20061649 - 16 Mar 2020
Cited by 10 | Viewed by 5085
Abstract
Non-intrusive load monitoring (NILM) is a cost-effective approach that electrical appliances are identified from aggregated whole-field electrical signals, according to their extracted electrical characteristics, with no need to intrusively deploy smart power meters (power plugs) installed for individual monitored electrical appliances in a [...] Read more.
Non-intrusive load monitoring (NILM) is a cost-effective approach that electrical appliances are identified from aggregated whole-field electrical signals, according to their extracted electrical characteristics, with no need to intrusively deploy smart power meters (power plugs) installed for individual monitored electrical appliances in a practical field of interest. This work addresses NILM by a parallel Genetic Algorithm (GA)-embodied Artificial Neural Network (ANN) for Demand-Side Management (DSM) in a smart home. An ANN’s performance in terms of classification accuracy depends on its training algorithm. Additionally, training an ANN/deep NN learning from massive training samples is extremely computationally intensive. Therefore, in this work, a parallel GA has been conducted and used to integrate meta-heuristics (evolutionary computing) with an ANN (neurocomputing) considering its evolution in a parallel execution relating to load disaggregation in a Home Energy Management System (HEMS) deployed in a real residential field. The parallel GA that involves iterations to excessively cost its execution time for evolving an ANN learning model from massive training samples to NILM in the HEMS and works in a divide-and-conquer manner that can exploit massively parallel computing for evolving an ANN and, thus, reduce execution time drastically. This work confirms the feasibility and effectiveness of the parallel GA-embodied ANN applied to NILM in the HEMS for DSM. Full article
(This article belongs to the Special Issue Internet of Things for Smart Homes II)
Show Figures

Figure 1

18 pages, 5842 KB  
Article
Sim-to-Real Quadrotor Landing via Sequential Deep Q-Networks and Domain Randomization
by Riccardo Polvara, Massimiliano Patacchiola, Marc Hanheide and Gerhard Neumann
Robotics 2020, 9(1), 8; https://doi.org/10.3390/robotics9010008 - 25 Feb 2020
Cited by 34 | Viewed by 8331
Abstract
The autonomous landing of an Unmanned Aerial Vehicle (UAV) on a marker is one of the most challenging problems in robotics. Many solutions have been proposed, with the best results achieved via customized geometric features and external sensors. This paper discusses for the [...] Read more.
The autonomous landing of an Unmanned Aerial Vehicle (UAV) on a marker is one of the most challenging problems in robotics. Many solutions have been proposed, with the best results achieved via customized geometric features and external sensors. This paper discusses for the first time the use of deep reinforcement learning as an end-to-end learning paradigm to find a policy for UAVs autonomous landing. Our method is based on a divide-and-conquer paradigm that splits a task into sequential sub-tasks, each one assigned to a Deep Q-Network (DQN), hence the name Sequential Deep Q-Network (SDQN). Each DQN in an SDQN is activated by an internal trigger, and it represents a component of a high-level control policy, which can navigate the UAV towards the marker. Different technical solutions have been implemented, for example combining vanilla and double DQNs, and the introduction of a partitioned buffer replay to address the problem of sample efficiency. One of the main contributions of this work consists in showing how an SDQN trained in a simulator via domain randomization, can effectively generalize to real-world scenarios of increasing complexity. The performance of SDQNs is comparable with a state-of-the-art algorithm and human pilots while being quantitatively better in noisy conditions. Full article
(This article belongs to the Section Intelligent Robots and Mechatronics)
Show Figures

Figure 1

26 pages, 7045 KB  
Article
Divide-and-Conquer Dual-Architecture Convolutional Neural Network for Classification of Hyperspectral Images
by Jie Feng, Lin Wang, Haipeng Yu, Licheng Jiao and Xiangrong Zhang
Remote Sens. 2019, 11(5), 484; https://doi.org/10.3390/rs11050484 - 27 Feb 2019
Cited by 23 | Viewed by 6924
Abstract
Convolutional neural network (CNN) is well-known for its powerful capability on image classification. In hyperspectral images (HSIs), fixed-size spatial window is generally used as the input of CNN for pixel-wise classification. However, single fixed-size spatial architecture hinders the excellent performance of CNN due [...] Read more.
Convolutional neural network (CNN) is well-known for its powerful capability on image classification. In hyperspectral images (HSIs), fixed-size spatial window is generally used as the input of CNN for pixel-wise classification. However, single fixed-size spatial architecture hinders the excellent performance of CNN due to the neglect of various land-cover distributions in HSIs. Moreover, insufficient samples in HSIs may cause the overfitting problem. To address these problems, a novel divide-and-conquer dual-architecture CNN (DDCNN) method is proposed for HSI classification. In DDCNN, a novel regional division strategy based on local and non-local decisions is devised to distinguish homogeneous and heterogeneous regions. Then, for homogeneous regions, a multi-scale CNN architecture with larger spatial window inputs is constructed to learn joint spectral-spatial features. For heterogeneous regions, a fine-grained CNN architecture with smaller spatial window inputs is constructed to learn hierarchical spectral features. Moreover, to alleviate the problem of insufficient training samples, unlabeled samples with high confidences are pre-labeled under adaptively spatial constraint. Experimental results on HSIs demonstrate that the proposed method provides encouraging classification performance, especially region uniformity and edge preservation with limited training samples. Full article
(This article belongs to the Special Issue Robust Multispectral/Hyperspectral Image Analysis and Classification)
Show Figures

Graphical abstract

17 pages, 4898 KB  
Article
End-to-End Airport Detection in Remote Sensing Images Combining Cascade Region Proposal Networks and Multi-Threshold Detection Networks
by Yuelei Xu, Mingming Zhu, Shuai Li, Hongxiao Feng, Shiping Ma and Jun Che
Remote Sens. 2018, 10(10), 1516; https://doi.org/10.3390/rs10101516 - 21 Sep 2018
Cited by 41 | Viewed by 5097
Abstract
Fast and accurate airport detection in remote sensing images is important for many military and civilian applications. However, traditional airport detection methods have low detection rates, high false alarm rates and slow speeds. Due to the power convolutional neural networks in object-detection systems, [...] Read more.
Fast and accurate airport detection in remote sensing images is important for many military and civilian applications. However, traditional airport detection methods have low detection rates, high false alarm rates and slow speeds. Due to the power convolutional neural networks in object-detection systems, an end-to-end airport detection method based on convolutional neural networks is proposed in this study. First, based on the common low-level visual features of natural images and airport remote sensing images, region-based convolutional neural networks are chosen to conduct transfer learning for airport images using a limited amount of data. Second, to further improve the detection rate and reduce the false alarm rate, the concepts of “divide and conquer” and “integral loss’’ are introduced to establish cascade region proposal networks and multi-threshold detection networks, respectively. Third, hard example mining is used to improve the object discrimination ability and the training efficiency of the network during sample training. Additionally, a cross-optimization strategy is employed to achieve convolution layer sharing between the cascade region proposal networks and the subsequent multi-threshold detection networks, and this approach significantly decreases the detection time. The results show that the method established in this study can accurately detect various types of airports in complex backgrounds with a higher detection rate, lower false alarm rate, and shorter detection time than existing airport detection methods. Full article
(This article belongs to the Section Remote Sensing Image Processing)
Show Figures

Graphical abstract

Back to TopTop