Sign in to use this feature.

Years

Between: -

Subjects

remove_circle_outline
remove_circle_outline
remove_circle_outline
remove_circle_outline
remove_circle_outline
remove_circle_outline

Journals

Article Types

Countries / Regions

Search Results (10)

Search Parameters:
Keywords = diseases of the nervous system (DNS)

Order results
Result details
Results per page
Select all
Export citation of selected articles as:
16 pages, 2288 KB  
Review
Diabetic Retinopathy and Other Microvascular Complications of Diabetes—A Review of Multi-Omics Research
by Julia Grzybowska-Adamowicz and Agnieszka Zmysłowska
Diabetology 2026, 7(1), 3; https://doi.org/10.3390/diabetology7010003 - 31 Dec 2025
Viewed by 435
Abstract
Microvascular complications of diabetes include retinopathy (DR), diabetic kidney disease (DKD), and neuropathy (DN), which play a crucial role in diabetes management, as they significantly impair the functionality of the patient and remain major causes of morbidity despite advances in glycaemic control. The [...] Read more.
Microvascular complications of diabetes include retinopathy (DR), diabetic kidney disease (DKD), and neuropathy (DN), which play a crucial role in diabetes management, as they significantly impair the functionality of the patient and remain major causes of morbidity despite advances in glycaemic control. The aim of this review was to summarize multi-omics findings in DR, DKD, and DN. Multi-omics studies consist of genomic, epigenomic, transcriptomic, proteomic, and metabolomic research. These studies provided comprehensive insights into the complex mechanisms underlying microvascular complications of diabetes, such as inflammation, angiogenesis, and apoptosis in the retina, kidneys, and nervous system. They also enabled the search for emerging diagnostic, prognostic, and therapeutic biomarkers. Moreover, changes in microRNA levels were found to differentiate patients with non-proliferative and proliferative DR. In addition, different proteins and metabolites concentrations were noticed in diabetes macular oedema and tractional retinal detachment—serious complications of DR. Specific molecular signatures, such as miR-146a and miR-27 dysregulation, changes in levels of HLA-DRA, AGER, and HSPA1A proteins, and alterations in tyrosine, alanine, 2,4-dihydroxybutanoic acid, ribonic acid, myoinositol, ribitol, 3,4-dihydroxybutanoic acid, valine, glycine, and 2-hydroxyisovaleric acid, were found to be characteristic for all microvascular complications of diabetes. In the future, more studies in multi-omics are expected to help improve precision medicine approaches to treating diabetes, allowing for personalized prediction, prevention, and treatment of microvascular complications. Full article
(This article belongs to the Special Issue New Perspectives and Future Challenges in Diabetic Retinopathy)
Show Figures

Graphical abstract

13 pages, 1631 KB  
Article
Dietary Docosahexaenoic Acid-Rich Supplementation Decreases Neurotoxic Lipid Mediators in Participants with Type 2 Diabetes and Neuropathic Pain
by Alfonso M. Durán, Francis Zamora and Marino De León
Nutrients 2024, 16(23), 4025; https://doi.org/10.3390/nu16234025 - 24 Nov 2024
Cited by 3 | Viewed by 2435
Abstract
Background/Objectives: There is increasing evidence linking circulating neurotoxic lipids to the progression of chronic neuroinflammatory diseases in the peripheral and central nervous systems. Strategies to modify lipid profiles, such as docosahexaenoic acid (DHA)-rich supplementation, may aid in managing conditions like painful diabetic neuropathy [...] Read more.
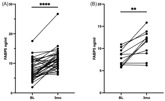
Background/Objectives: There is increasing evidence linking circulating neurotoxic lipids to the progression of chronic neuroinflammatory diseases in the peripheral and central nervous systems. Strategies to modify lipid profiles, such as docosahexaenoic acid (DHA)-rich supplementation, may aid in managing conditions like painful diabetic neuropathy (pDN). In a previous study, we demonstrated that three months of DHA supplementation significantly altered the metabolomic profile of patients with painful diabetic neuropathy (pDN), resulting in symptom improvement. This study investigates whether DHA-rich supplementation reduces neurotoxic lipid mediators associated with pDN in individuals with type 2 diabetes mellitus (T2DM). Methods: Forty individuals with type 2 diabetes participated in the “En Balance-PLUS” study, attending weekly lifestyle and nutrition education sessions while receiving daily supplementation of 1000 mg DHA and 200 mg EPA. Pain levels were assessed using the Short-Form McGill Pain Questionnaire (SF-MPQ) at baseline and after three months. Blood serum samples collected at these time points underwent untargeted lipidomic analyses, with ELISA used to evaluate biomarkers of necrosis (MLKL), autophagy (ATG5), and lipid chaperone protein (FABP5). Results: Untargeted lipidomic analysis revealed that several neurotoxic-associated lipids significantly decreased after DHA-rich supplementation. Also, circulating levels of MLKL were reduced, while protein levels of ATG5 and FABP5 significantly increased. Conclusions: The reduction of circulating neurotoxic lipids and increase in neuroprotective lipids following DHA-rich supplementation are consistent with the reported roles of omega-3 polyunsaturated fatty acids (PUFAs) in reducing adverse symptoms associated with neuroinflammatory diseases and painful neuropathy. Full article
(This article belongs to the Section Nutrition and Diabetes)
Show Figures

Figure 1

22 pages, 428 KB  
Review
Diabetic Nephropathy: Significance of Determining Oxidative Stress and Opportunities for Antioxidant Therapies
by Marina Darenskaya, Sergey Kolesnikov, Natalya Semenova and Lyubov Kolesnikova
Int. J. Mol. Sci. 2023, 24(15), 12378; https://doi.org/10.3390/ijms241512378 - 3 Aug 2023
Cited by 61 | Viewed by 5845
Abstract
Diabetes mellitus (DM) belongs to the category of socially significant diseases with epidemic rates of increases in prevalence. Diabetic nephropathy (DN) is a specific kind of kidney damage that occurs in 40% of patients with DM and is considered a serious complication of [...] Read more.
Diabetes mellitus (DM) belongs to the category of socially significant diseases with epidemic rates of increases in prevalence. Diabetic nephropathy (DN) is a specific kind of kidney damage that occurs in 40% of patients with DM and is considered a serious complication of DM. Most modern methods for treatments aimed at slowing down the progression of DN have side effects and do not produce unambiguous positive results in the long term. This fact has encouraged researchers to search for additional or alternative treatment methods. Hyperglycemia has a negative effect on renal structures due to a number of factors, including the activation of the polyol and hexosamine glucose metabolism pathways, the activation of the renin–angiotensin–aldosterone and sympathetic nervous systems, the accumulation of advanced glycation end products and increases in the insulin resistance and endothelial dysfunction of tissues. The above mechanisms cause the development of oxidative stress (OS) reactions and mitochondrial dysfunction, which in turn contribute to the development and progression of DN. Modern antioxidant therapies for DN involve various phytochemicals (food antioxidants, resveratrol, curcumin, alpha-lipoic acid preparations, etc.), which are widely used not only for the treatment of diabetes but also other systemic diseases. It has also been suggested that therapeutic approaches that target the source of reactive oxygen species in DN may have certain advantages in terms of nephroprotection from OS. This review describes the significance of studies on OS biomarkers in the pathogenesis of DN and analyzes various approaches to reducing the intensity of OS in the prevention and treatment of DN. Full article
Show Figures

Graphical abstract

18 pages, 949 KB  
Review
Peripheral Neuropathy in Diabetes Mellitus: Pathogenetic Mechanisms and Diagnostic Options
by Raffaele Galiero, Alfredo Caturano, Erica Vetrano, Domenico Beccia, Chiara Brin, Maria Alfano, Jessica Di Salvo, Raffaella Epifani, Alessia Piacevole, Giuseppina Tagliaferri, Maria Rocco, Ilaria Iadicicco, Giovanni Docimo, Luca Rinaldi, Celestino Sardu, Teresa Salvatore, Raffaele Marfella and Ferdinando Carlo Sasso
Int. J. Mol. Sci. 2023, 24(4), 3554; https://doi.org/10.3390/ijms24043554 - 10 Feb 2023
Cited by 136 | Viewed by 25583
Abstract
Diabetic neuropathy (DN) is one of the main microvascular complications of both type 1 and type 2 diabetes mellitus. Sometimes, this could already be present at the time of diagnosis for type 2 diabetes mellitus (T2DM), while it appears in subjects with type [...] Read more.
Diabetic neuropathy (DN) is one of the main microvascular complications of both type 1 and type 2 diabetes mellitus. Sometimes, this could already be present at the time of diagnosis for type 2 diabetes mellitus (T2DM), while it appears in subjects with type 1 diabetes mellitus (T1DM) almost 10 years after the onset of the disease. The impairment can involve both somatic fibers of the peripheral nervous system, with sensory-motor manifestations, as well as the autonomic system, with neurovegetative multiorgan manifestations through an impairment of sympathetic/parasympathetic conduction. It seems that, both indirectly and directly, the hyperglycemic state and oxygen delivery reduction through the vasa nervorum can determine inflammatory damage, which in turn is responsible for the alteration of the activity of the nerves. The symptoms and signs are therefore various, although symmetrical painful somatic neuropathy at the level of the lower limbs seems the most frequent manifestation. The pathophysiological aspects underlying the onset and progression of DN are not entirely clear. The purpose of this review is to shed light on the most recent discoveries in the pathophysiological and diagnostic fields concerning this complex and frequent complication of diabetes mellitus. Full article
(This article belongs to the Special Issue Type 2 Diabetes: Advances on Pathophysiology and Therapies)
Show Figures

Figure 1

25 pages, 1637 KB  
Review
Potential Roles of Anti-Inflammatory Plant-Derived Bioactive Compounds Targeting Inflammation in Microvascular Complications of Diabetes
by Yahia A. Kaabi
Molecules 2022, 27(21), 7352; https://doi.org/10.3390/molecules27217352 - 29 Oct 2022
Cited by 27 | Viewed by 4930
Abstract
Diabetes mellitus (DM) is a group of metabolic disorders, the characteristics of which include chronic hyperglycemia owing to defects in insulin function, insulin secretion, or both. Inflammation plays a crucial role in DM pathogenesis and innate immunity in the development of microvascular complications [...] Read more.
Diabetes mellitus (DM) is a group of metabolic disorders, the characteristics of which include chronic hyperglycemia owing to defects in insulin function, insulin secretion, or both. Inflammation plays a crucial role in DM pathogenesis and innate immunity in the development of microvascular complications of diabetes. In addition, hyperglycemia and DM mediate a proinflammatory microenvironment that can result in various microvascular complications, including diabetic nephropathy (DNP), diabetic neuropathy (DN), and diabetic retinopathy (DR). DNP is a major cause of end-stage renal disease. DNP can lead to albuminuria, decreased filtration, mesangium expansion, thickening of the basement membrane, and eventually renal failure. Furthermore, inflammatory cells can accumulate in the interstitium and glomeruli to deteriorate DNP. DN is another most prevalent microvascular complication of DM and the main cause of high mortality, disability, and a poor quality of life. DNs have a wide range of clinical manifestations because of the types of fiber dysfunctions and complex structures of the peripheral nervous system. DR is also a microvascular and multifactorial disease, as well as a major cause of visual impairment globally. Pathogenesis of DR is yet to be fully revealed, however, numerous studies have already confirmed the role of inflammation in the onset and advancement of DR. Despite evidence, and better knowledge regarding the pathogenesis of these microvascular complications of diabetes, there is still a deficiency of effective therapies. Bioactive compounds are mainly derived from plants, and these molecules have promising therapeutic potential. In this review, evidence and molecular mechanisms regarding the role of inflammation in various microvascular complications of diabetes including DNP, DN, and DR, have been summarized. The therapeutic potential of several bioactive compounds derived from plants in the treatment of these microvascular complications of diabetes has also been discussed. Full article
(This article belongs to the Special Issue Recent Advances in Apoptotic and Anti-inflammatory Agents)
Show Figures

Figure 1

26 pages, 4508 KB  
Review
E2F4DN Transgenic Mice: A Tool for the Evaluation of E2F4 as a Therapeutic Target in Neuropathology and Brain Aging
by Morgan Ramón-Landreau, Cristina Sánchez-Puelles, Noelia López-Sánchez, Anna Lozano-Ureña, Aina M. Llabrés-Mas and José M. Frade
Int. J. Mol. Sci. 2022, 23(20), 12093; https://doi.org/10.3390/ijms232012093 - 11 Oct 2022
Cited by 1 | Viewed by 4331
Abstract
E2F4 was initially described as a transcription factor with a key function in the regulation of cell quiescence. Nevertheless, a number of recent studies have established that E2F4 can also play a relevant role in cell and tissue homeostasis, as well as tissue [...] Read more.
E2F4 was initially described as a transcription factor with a key function in the regulation of cell quiescence. Nevertheless, a number of recent studies have established that E2F4 can also play a relevant role in cell and tissue homeostasis, as well as tissue regeneration. For these non-canonical functions, E2F4 can also act in the cytoplasm, where it is able to interact with many homeostatic and synaptic regulators. Since E2F4 is expressed in the nervous system, it may fulfill a crucial role in brain function and homeostasis, being a promising multifactorial target for neurodegenerative diseases and brain aging. The regulation of E2F4 is complex, as it can be chemically modified through acetylation, from which we present evidence in the brain, as well as methylation, and phosphorylation. The phosphorylation of E2F4 within a conserved threonine motif induces cell cycle re-entry in neurons, while a dominant negative form of E2F4 (E2F4DN), in which the conserved threonines have been substituted by alanines, has been shown to act as a multifactorial therapeutic agent for Alzheimer’s disease (AD). We generated transgenic mice neuronally expressing E2F4DN. We have recently shown using this mouse strain that expression of E2F4DN in 5xFAD mice, a known murine model of AD, improved cognitive function, reduced neuronal tetraploidization, and induced a transcriptional program consistent with modulation of amyloid-β (Aβ) peptide proteostasis and brain homeostasis recovery. 5xFAD/E2F4DN mice also showed reduced microgliosis and astrogliosis in both the cerebral cortex and hippocampus at 3-6 months of age. Here, we analyzed the immune response in 1 year-old 5xFAD/E2F4DN mice, concluding that reduced microgliosis and astrogliosis is maintained at this late stage. In addition, the expression of E2F4DN also reduced age-associated microgliosis in wild-type mice, thus stressing its role as a brain homeostatic agent. We conclude that E2F4DN transgenic mice represent a promising tool for the evaluation of E2F4 as a therapeutic target in neuropathology and brain aging. Full article
Show Figures

Graphical abstract

11 pages, 895 KB  
Review
Intermittent Fasting—A Healthy Dietary Pattern for Diabetic Nephropathy
by Ming Yang, Wei Chen, Liyu He, Di Liu, Li Zhao and Xi Wang
Nutrients 2022, 14(19), 3995; https://doi.org/10.3390/nu14193995 - 26 Sep 2022
Cited by 18 | Viewed by 11836
Abstract
Diabetic nephropathy (DN), a metabolic disease, is characterized by severe systemic metabolic disorders. A unique dietary pattern, such as intermittent fasting (IF) has shown promising protective effects on various metabolic diseases, such as diabetes and cardiovascular and nervous system diseases. However, its role [...] Read more.
Diabetic nephropathy (DN), a metabolic disease, is characterized by severe systemic metabolic disorders. A unique dietary pattern, such as intermittent fasting (IF) has shown promising protective effects on various metabolic diseases, such as diabetes and cardiovascular and nervous system diseases. However, its role in regulating kidney disease, especially in DN, is still being investigated. Here, we summarize the current research progress, highlighting the relationship between IF and the risk factors for the progression of DN, and discuss the potential mechanisms by which IF improves renal injury in DN. Finally, we propose IF as a potential strategy to prevent and delay DN progression. Abbreviation: DN: Diabetic nephropathy; IF: Intermittent fasting; CPT1A: Carnitine palmitoyltransferase 1A; L-FABP: Liver-type fatty acid-binding protein; STZ: Streptozotocin; LDL: Low-density lipoproteins; HIIT: High-intensity interval training; CKD: Chronic kidney disease; ACEI: Angiotensin-converting enzyme inhibitors; ARB: Angiotensin receptor blockers; MDA: Malondialdehyde; mtDNA: Mitochondrial DNA; UCP3: Uncoupling protein-3; MAM: Mitochondria-associated endoplasmic reticulum membrane; PBMCs: Peripheral blood mononuclear cells; ERK1/2: Extracellular signal-regulated kinase 1/2; DRP1: Dynamin-related protein 1; β-HB: β-Hydroxybutyrate; AcAc: Acetoacetate; GEO: Gene Expression Omnibus; NCBI: National Center for Biotechnology Information; mTORC1: Mechanistic target of rapamycin complex 1; HMGCS2: 3-Hydroxy-3-methylglutaryl-CoA synthase 2; GSK3β: Glycogen synthase kinase 3β; AKI: Acute kidney injury; CMA: Chaperone-mediated autophagy; FGF21: Fibroblast growth factor 21. Full article
(This article belongs to the Section Nutrition and Public Health)
Show Figures

Figure 1

22 pages, 2926 KB  
Article
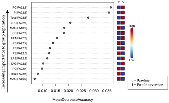
Dietary Omega-3 Polyunsaturated Fatty-Acid Supplementation Upregulates Protective Cellular Pathways in Patients with Type 2 Diabetes Exhibiting Improvement in Painful Diabetic Neuropathy
by Alfonso M. Durán, W. Lawrence Beeson, Anthony Firek, Zaida Cordero-MacIntyre and Marino De León
Nutrients 2022, 14(4), 761; https://doi.org/10.3390/nu14040761 - 11 Feb 2022
Cited by 33 | Viewed by 6560
Abstract
Background: Omega-3 polyunsaturated fatty acids (PUFAs) have been proposed to improve chronic neuroinflammatory diseases in peripheral and central nervous systems. For instance, docosahexaenoic acid (DHA) protects nerve cells from noxious stimuli in vitro and in vivo. Recent reports link PUFA supplementation to improving [...] Read more.
Background: Omega-3 polyunsaturated fatty acids (PUFAs) have been proposed to improve chronic neuroinflammatory diseases in peripheral and central nervous systems. For instance, docosahexaenoic acid (DHA) protects nerve cells from noxious stimuli in vitro and in vivo. Recent reports link PUFA supplementation to improving painful diabetic neuropathy (pDN) symptoms, but cellular mechanisms responsible for this therapeutic effect are not well understood. The objective of this study is to identify distinct cellular pathways elicited by dietary omega-3 PUFA supplementation in patients with type 2 diabetes mellitus (T2DM) affected by pDN. Methods: Forty volunteers diagnosed with type 2 diabetes were enrolled in the “En Balance-PLUS” diabetes education study. The volunteers participated in weekly lifestyle/nutrition education and daily supplementation with 1000 mg DHA and 200 mg eicosapentaenoic acid. The Short-Form McGill Pain Questionnaire validated clinical determination of baseline and post-intervention pain complaints. Laboratory and untargeted metabolomics analyses were conducted using blood plasma collected at baseline and after three months of participation in the dietary regimen. The metabolomics data were analyzed using random forest, hierarchical clustering, ingenuity pathway analysis, and metabolic pathway mapping. Results: The data show that metabolites involved in oxidative stress and glutathione production shifted significantly to a more anti-inflammatory state post supplementation. Example of these metabolites include cystathionine (+90%), S-methylmethionine (+9%), glycine cysteine-glutathione disulfide (+157%) cysteinylglycine (+19%), glutamate (−11%), glycine (+11%), and arginine (+13.4%). In addition, the levels of phospholipids associated with improved membrane fluidity such as linoleoyl-docosahexaenoyl-glycerol (18:2/22:6) (+253%) were significantly increased. Ingenuity pathway analysis suggested several key bio functions associated with omega-3 PUFA supplementation such as formation of reactive oxygen species (p = 4.38 × 10−4, z-score = −1.96), peroxidation of lipids (p = 2.24 × 10−5, z-score = −1.944), Ca2+ transport (p = 1.55 × 10−4, z-score = −1.969), excitation of neurons (p = 1.07 ×10−4, z-score = −1.091), and concentration of glutathione (p = 3.06 × 10−4, z-score = 1.974). Conclusion: The reduction of pro-inflammatory and oxidative stress pathways following dietary omega-3 PUFA supplementation is consistent with the promising role of these fatty acids in reducing adverse symptoms associated with neuroinflammatory diseases and painful neuropathy. Full article
(This article belongs to the Special Issue Neuroprotection with Bioactive Compounds)
Show Figures

Figure 1

26 pages, 3376 KB  
Article
Virtual Reality Aided Therapy towards Health 4.0: A Two-Decade Bibliometric Analysis
by Zhen Liu, Lingfeng Ren, Chang Xiao, Ke Zhang and Peter Demian
Int. J. Environ. Res. Public Health 2022, 19(3), 1525; https://doi.org/10.3390/ijerph19031525 - 28 Jan 2022
Cited by 118 | Viewed by 13328
Abstract
Health 4.0 aligns with Industry 4.0 and encourages the application of the latest technologies to healthcare. Virtual reality (VR) is a potentially significant component of the Health 4.0 vision. Though VR in health care is a popular topic, there is little knowledge of [...] Read more.
Health 4.0 aligns with Industry 4.0 and encourages the application of the latest technologies to healthcare. Virtual reality (VR) is a potentially significant component of the Health 4.0 vision. Though VR in health care is a popular topic, there is little knowledge of VR-aided therapy from a macro perspective. Therefore, this paper was aimed to explore the research of VR in aiding therapy, thus providing a potential guideline for futures application of therapeutic VR in healthcare towards Health 4.0. A mixed research method was adopted for this research, which comprised the use of a bibliometric analysis (a quantitative method) to conduct a macro overview of VR-aided therapy, the identification of significant research structures and topics, and a qualitative review of the literature to reveal deeper insights. Four major research areas of VR-aided therapy were identified and investigated, i.e., post-traumatic stress disorder (PTSD), anxiety and fear related disorder (A&F), diseases of the nervous system (DNS), and pain management, including related medical conditions, therapies, methods, and outcomes. This study is the first to use VOSviewer, a commonly used software tool for constructing and visualizing bibliometric networks and developed by Center for Science and Technology Studies, Leiden University, the Netherlands, to conduct bibliometric analyses on VR-aided therapy from the perspective of Web of Science core collection (WoSc), which objectively and visually shows research structures and topics, therefore offering instructive insights for health care stakeholders (particularly researchers and service providers) such as including integrating more innovative therapies, emphasizing psychological benefits, using game elements, and introducing design research. The results of this paper facilitate with achieving the vision of Health 4.0 and illustrating a two-decade (2000 to year 2020) map of pre-life of the Health Metaverse. Full article
(This article belongs to the Special Issue Virtual Reality Rehabilitation, Exercise and Health Promotion)
Show Figures

Figure 1

13 pages, 1221 KB  
Article
Evidence of Energy Metabolism Alterations in Cultured Neonatal Astrocytes Derived from the Ts65Dn Mouse Model of Down Syndrome
by Bruna L. Zampieri and Alberto C. S. Costa
Brain Sci. 2022, 12(1), 83; https://doi.org/10.3390/brainsci12010083 - 6 Jan 2022
Cited by 8 | Viewed by 3469
Abstract
For many decades, neurons have been the central focus of studies on the mechanisms underlying the neurodevelopmental and neurodegenerative aspects of Down syndrome (DS). Astrocytes, which were once thought to have only a passive role, are now recognized as active participants of a [...] Read more.
For many decades, neurons have been the central focus of studies on the mechanisms underlying the neurodevelopmental and neurodegenerative aspects of Down syndrome (DS). Astrocytes, which were once thought to have only a passive role, are now recognized as active participants of a variety of essential physiological processes in the brain. Alterations in their physiological function have, thus, been increasingly acknowledged as likely initiators of or contributors to the pathogenesis of many nervous system disorders and diseases. In this study, we carried out a series of real-time measurements of oxygen consumption rate (OCR) and extracellular acidification rate (ECAR) in hippocampal astrocytes derived from neonatal Ts65Dn and euploid control mice using a Seahorse XFp Flux Analyzer. Our results revealed a significant basal OCR increase in neonatal Ts65Dn astrocytes compared with those from control mice, indicating increased oxidative phosphorylation. ECAR did not differ between the groups. Given the importance of astrocytes in brain metabolic function and the linkage between astrocytic and neuronal energy metabolism, these data provide evidence against a pure “neurocentric” vision of DS pathophysiology and support further investigations on the potential contribution of disturbances in astrocytic energy metabolism to cognitive deficits and neurodegeneration associated with DS. Full article
(This article belongs to the Topic Mechanisms and Treatments of Neurodegenerative Diseases)
Show Figures

Figure 1

Back to TopTop