Sign in to use this feature.

Years

Between: -

Subjects

remove_circle_outline
remove_circle_outline
remove_circle_outline
remove_circle_outline
remove_circle_outline
remove_circle_outline

Journals

Article Types

Countries / Regions

Search Results (12)

Search Parameters:
Keywords = cumulative second harmonics

Order results
Result details
Results per page
Select all
Export citation of selected articles as:
22 pages, 13035 KB  
Article
Nineteen-Year Evidence on Measles–Mumps–Rubella Immunization in Mexico: Programmatic Lessons and Policy Implications
by Rodrigo Romero-Feregrino, Raul Romero-Feregrino, Raul Romero-Cabello, Berenice Muñoz-Cordero, Benjamin Madrigal-Alonso and Valeria Magali Rocha-Rocha
Vaccines 2025, 13(11), 1126; https://doi.org/10.3390/vaccines13111126 - 31 Oct 2025
Viewed by 1676
Abstract
Background: In Mexico, the measles vaccine was first introduced in 1971. The last case of measles acquired through endemic transmission was recorded in 1995. In 1998, the monovalent measles vaccine was replaced by the combined measles–mumps–rubella (MMR) vaccine. The MMR vaccination schedule consists [...] Read more.
Background: In Mexico, the measles vaccine was first introduced in 1971. The last case of measles acquired through endemic transmission was recorded in 1995. In 1998, the monovalent measles vaccine was replaced by the combined measles–mumps–rubella (MMR) vaccine. The MMR vaccination schedule consists of two doses: the first is administered at 12 months of age, and the second is administered at either 18 months or 6 years of age. Materials and Methods: A retrospective analysis was conducted using secondary data from 2006 to 2024. Vaccine procurement and administration records from IMSS, ISSSTE, and SSA were reviewed to evaluate the performance of both the MMR and MR programs, focusing particularly on the trends in coverage and data consistency across institutions. Results: The analysis revealed persistent inconsistencies between vaccine procurement and administration for both the MMR and MR vaccines across all institutions. Several years exhibited notable mismatches, including surpluses and deficits in the administered doses relative to their procurement. Between 2006 and 2024, only 69 million of the 91.6 million required MMR doses were administered in Mexico, leaving a deficit of approximately 22.5 million doses (25% of the target population). For MR, a cumulative deficit of approximately 24.6 million procured but unadministered doses was identified. National coverage remained suboptimal, with significant variability across years and institutions. Comparisons with WHO and ENSANUT data indicated marked discrepancies. The seroprevalence findings, along with the 2025 measles outbreak, confirm significant gaps in immunity. Discussion: This study highlights systemic challenges in Mexico’s MMR vaccination program, including inconsistencies in vaccine procurement, administration, and reported coverage across institutions. Overestimated official MMR coverage rates and unclear target definitions for MR contribute to program inefficiencies and missed vaccination opportunities. The resurgence of measles in 2025, along with persistently high incidences of mumps, aligns with the observed immunity gaps, although a direct causal relationship cannot be established from this study. These findings are consistent with previous national studies and seroprevalence data. Conclusions: Despite limitations in the data, this study effectively evaluated the performance of Mexico’s MMR vaccination program, identifying critical gaps in coverage, data reliability, and operational alignment. The findings underscore the need for improved procurement planning, harmonized coverage estimates, and robust monitoring systems. To address the existing gaps in immunity, catch-up campaigns should prioritize the use of the MMR vaccine over MR. Strengthening nominal coverage tracking and implementing evidence-based strategies are essential to restoring public trust and maintaining the goals of measles elimination. Full article
Show Figures

Figure 1

16 pages, 653 KB  
Article
Monte Carlo Simulation on Adiabatic Ensembles and a Genetic Algorithm
by Fernando M. S. Silva Fernandes
Entropy 2025, 27(6), 565; https://doi.org/10.3390/e27060565 - 27 May 2025
Viewed by 1260
Abstract
This paper concerns interactive Monte Carlo simulations for adiabatic ensembles and a genetic algorithm to research and educational contexts. In the Introduction, we discuss some concepts of thermodynamics, statistical mechanics and ensembles relevant to molecular simulations. The second and third sections of the [...] Read more.
This paper concerns interactive Monte Carlo simulations for adiabatic ensembles and a genetic algorithm to research and educational contexts. In the Introduction, we discuss some concepts of thermodynamics, statistical mechanics and ensembles relevant to molecular simulations. The second and third sections of the paper comprise two programs in JavaScript regarding (i) argon in the grand-isobaric ensemble focusing on the direct calculation of entropy, vapor–liquid equilibria and radial distribution functions and (ii) an ideal system of quantized harmonic oscillators in the microcanonical ensemble for the determination of the entropy and Boltzmann distribution, also including the definition of Boltzmann and Gibbs entropies relative to classical systems. The fourth section is concerned with a genetic algorithm program in Java, as a pedagogical alternative to introduce the Second Law of Thermodynamics, which summarizes artificial intelligence methods and the cumulative selection process in biogenesis. Full article
(This article belongs to the Special Issue Entropy: From Atoms to Complex Systems)
Show Figures

Figure 1

23 pages, 6629 KB  
Article
The Population-Level Surveillance of Childhood and Adolescent Cancer and Its Late Effects in Europe with an Example of an Effective System at the Slovenian Cancer Registry
by Ana Mihor, Carmen Martos, Francesco Giusti, Lorna Zadravec-Zaletel, Sonja Tomšič, Katarina Lokar, Tina Žagar, Mojca Birk, Nika Bric and Vesna Zadnik
Cancers 2025, 17(4), 580; https://doi.org/10.3390/cancers17040580 - 8 Feb 2025
Viewed by 1151
Abstract
Background: The registry-based collection of detailed cancer and late effect (LE) data in childhood and adolescent cancer (CAC) is rarely explored. Aim: We aimed to provide an overview of CAC registration practices in Europe and share a Slovenian example. Methods: We distributed a [...] Read more.
Background: The registry-based collection of detailed cancer and late effect (LE) data in childhood and adolescent cancer (CAC) is rarely explored. Aim: We aimed to provide an overview of CAC registration practices in Europe and share a Slovenian example. Methods: We distributed a questionnaire among European cancer registries on disease, treatment and LE registration and present the system at the Slovenian Cancer Registry along with an example of retrospectively collected LE data from a cohort of central nervous system tumour survivors from 1983 to 2000. Kaplan–Meier and Cox regression were used to calculate the LE incidence. Results: Out of 27 responding registries, over 80% registered cancer type, vital status, death and second primary cancer data. Less than 20% registered cumulative doses of radiation and systemic therapy or progressions. Only three registered LEs. The obstacles in setting up LE collection in registries are a lack of standardization in the variable sets, definitions and methods of collection. In the retrospective cohort, neurological and endocrine LEs were most common. Females had a higher risk of endocrine LEs (HR of 1.89; 95% CI of 1.08–3.31), while patients treated with radiotherapy had higher risks of endocrine (3.47; 1.80–6.69), musculoskeletal and skin LEs (3.16; 1.60–6.26) and second primary cancers (2.85; 1.18–6.75). Conclusions: Standardization and harmonization are necessary to promote detailed CAC and LE registration. Full article
(This article belongs to the Special Issue Advances in Cancer Data and Statistics)
Show Figures

Figure 1

16 pages, 750 KB  
Article
Evaluating Outcome Prediction via Baseline, End-of-Treatment, and Delta Radiomics on PET-CT Images of Primary Mediastinal Large B-Cell Lymphoma
by Fereshteh Yousefirizi, Claire Gowdy, Ivan S. Klyuzhin, Maziar Sabouri, Petter Tonseth, Anna R. Hayden, Donald Wilson, Laurie H. Sehn, David W. Scott, Christian Steidl, Kerry J. Savage, Carlos F. Uribe and Arman Rahmim
Cancers 2024, 16(6), 1090; https://doi.org/10.3390/cancers16061090 - 8 Mar 2024
Cited by 18 | Viewed by 3883
Abstract
Objectives: Accurate outcome prediction is important for making informed clinical decisions in cancer treatment. In this study, we assessed the feasibility of using changes in radiomic features over time (Delta radiomics: absolute and relative) following chemotherapy, to predict relapse/progression and time to progression [...] Read more.
Objectives: Accurate outcome prediction is important for making informed clinical decisions in cancer treatment. In this study, we assessed the feasibility of using changes in radiomic features over time (Delta radiomics: absolute and relative) following chemotherapy, to predict relapse/progression and time to progression (TTP) of primary mediastinal large B-cell lymphoma (PMBCL) patients. Material and Methods: Given the lack of standard staging PET scans until 2011, only 31 out of 103 PMBCL patients in our retrospective study had both pre-treatment and end-of-treatment (EoT) scans. Consequently, our radiomics analysis focused on these 31 patients who underwent [18F]FDG PET-CT scans before and after R-CHOP chemotherapy. Expert manual lesion segmentation was conducted on their scans for delta radiomics analysis, along with an additional 19 EoT scans, totaling 50 segmented scans for single time point analysis. Radiomics features (on PET and CT), along with maximum and mean standardized uptake values (SUVmax and SUVmean), total metabolic tumor volume (TMTV), tumor dissemination (Dmax), total lesion glycolysis (TLG), and the area under the curve of cumulative standardized uptake value-volume histogram (AUC-CSH) were calculated. We additionally applied longitudinal analysis using radial mean intensity (RIM) changes. For prediction of relapse/progression, we utilized the individual coefficient approximation for risk estimation (ICARE) and machine learning (ML) techniques (K-Nearest Neighbor (KNN), Linear Discriminant Analysis (LDA), and Random Forest (RF)) including sequential feature selection (SFS) following correlation analysis for feature selection. For TTP, ICARE and CoxNet approaches were utilized. In all models, we used nested cross-validation (CV) (with 10 outer folds and 5 repetitions, along with 5 inner folds and 20 repetitions) after balancing the dataset using Synthetic Minority Oversampling TEchnique (SMOTE). Results: To predict relapse/progression using Delta radiomics between the baseline (staging) and EoT scans, the best performances in terms of accuracy and F1 score (F1 score is the harmonic mean of precision and recall, where precision is the ratio of true positives to the sum of true positives and false positives, and recall is the ratio of true positives to the sum of true positives and false negatives) were achieved with ICARE (accuracy = 0.81 ± 0.15, F1 = 0.77 ± 0.18), RF (accuracy = 0.89 ± 0.04, F1 = 0.87 ± 0.04), and LDA (accuracy = 0.89 ± 0.03, F1 = 0.89 ± 0.03), that are higher compared to the predictive power achieved by using only EoT radiomics features. For the second category of our analysis, TTP prediction, the best performer was CoxNet (LASSO feature selection) with c-index = 0.67 ± 0.06 when using baseline + Delta features (inclusion of both baseline and Delta features). The TTP results via Delta radiomics were comparable to the use of radiomics features extracted from EoT scans for TTP analysis (c-index = 0.68 ± 0.09) using CoxNet (with SFS). The performance of Deauville Score (DS) for TTP was c-index = 0.66 ± 0.09 for n = 50 and 0.67 ± 03 for n = 31 cases when using EoT scans with no significant differences compared to the radiomics signature from either EoT scans or baseline + Delta features (p-value> 0.05). Conclusion: This work demonstrates the potential of Delta radiomics and the importance of using EoT scans to predict progression and TTP from PMBCL [18F]FDG PET-CT scans. Full article
(This article belongs to the Special Issue PET/CT in Cancers Outcomes Prediction)
Show Figures

Figure 1

26 pages, 1906 KB  
Article
Emergent Flow Signal and the Colour String Fusion
by Daria Prokhorova and Evgeny Andronov
Physics 2024, 6(1), 264-289; https://doi.org/10.3390/physics6010019 - 20 Feb 2024
Cited by 2 | Viewed by 1979
Abstract
In this study, we develop the colour string model of particle production, based on the multi-pomeron exchange scenario, to address the controversial origin of the flow signal measured in proton–proton inelastic interactions. Our approach takes into account the string–string interactions but does not [...] Read more.
In this study, we develop the colour string model of particle production, based on the multi-pomeron exchange scenario, to address the controversial origin of the flow signal measured in proton–proton inelastic interactions. Our approach takes into account the string–string interactions but does not include a hydrodynamic phase. We consider a comprehensive three-dimensional dynamics of strings that leads to the formation of strongly heterogeneous string density in an event. The latter serves as a source of particle creation. The string fusion mechanism, which is a major feature of the model, modifies the particle production and creates azimuthal anisotropy. Model parameters are fixed by comparing the model distributions with the ATLAS experiment proton–proton data at the centre-of-mass energy s=13 TeV. The results obtained for the two-particle angular correlation function, C(Δη,Δϕ), with Δη and Δϕ differences in, respectively, pseudorapidities and azimuthal angles between two particles, reveal the resonance contributions and the near-side ridge. Model calculations of the two-particle cumulants, c2{2}, and second order flow harmonic, v2{2}, also performed using the two-subevent method, are in qualitative agreement with the data. The observed absence of the away-side ridge in the model results is interpreted as an imperfection in the definition of the time for the transverse evolution of the string system. Full article
(This article belongs to the Special Issue Jean Cleymans A Life for Physics)
Show Figures

Figure 1

17 pages, 11062 KB  
Article
Temperature Effects on Nonlinear Ultrasonic Guided Waves
by Xiaochuan Niu, Liqiang Zhu, Wenlin Yang, Zujun Yu and Haikuo Shen
Materials 2023, 16(9), 3548; https://doi.org/10.3390/ma16093548 - 5 May 2023
Cited by 8 | Viewed by 2349
Abstract
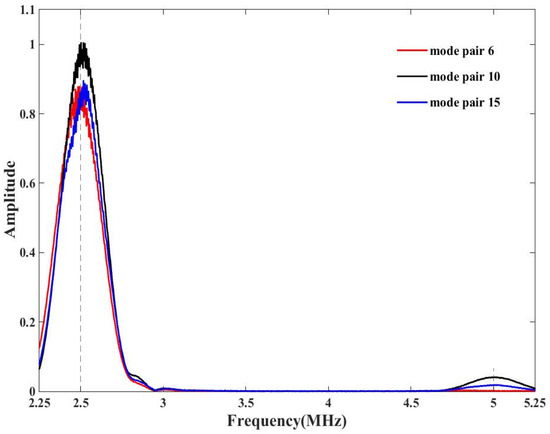
Nonlinear ultrasonic guided waves have attracted increasing attention in the field of structural health monitoring due to their high sensitivity and long detection distance. In practical applications, the temperature of the tested structure will inevitably change, so it is essential to evaluate the [...] Read more.
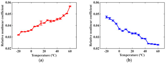
Nonlinear ultrasonic guided waves have attracted increasing attention in the field of structural health monitoring due to their high sensitivity and long detection distance. In practical applications, the temperature of the tested structure will inevitably change, so it is essential to evaluate the effects of temperature on nonlinear ultrasonic guided waves. In this paper, an analytical approach is proposed to obtain the response law of nonlinear guided waves to temperature based on the semi-analytical finite element (SAFE) method. The plate structure is investigated as a demonstration example, and the corresponding simulation analysis and experimental verification are carried out. The results show that the variation trends of different cumulative second harmonic modes with temperature are distinct, and their amplitudes monotonically increase or decrease with the continuously rising temperature. Therefore, in the applications with nonlinear ultrasonic guided waves, it is necessary to predict the changing trend of selected cumulative second harmonics under the action of temperature and compensate the result for the influence of temperature. The methods and conclusions presented in this paper are also applicable to other types of structures and have general practicality. Full article
Show Figures

Figure 1

17 pages, 5947 KB  
Article
Evaluation of Plastic Deformation Considering the Phase-Mismatching Phenomenon of Nonlinear Lamb Wave Mixing
by Maoxun Sun, Yanxun Xiang, Wei Shen, Hongye Liu, Biao Xiao, Yue Zhang and Mingxi Deng
Materials 2023, 16(5), 2039; https://doi.org/10.3390/ma16052039 - 1 Mar 2023
Cited by 5 | Viewed by 2154
Abstract
Nonlinear guided elastic waves have attracted extensive attention owing to their high sensitivity to microstructural changes. However, based on the widely used second harmonics, third harmonics and static components, it is still difficult to locate the micro-defects. Perhaps the nonlinear mixing of guided [...] Read more.
Nonlinear guided elastic waves have attracted extensive attention owing to their high sensitivity to microstructural changes. However, based on the widely used second harmonics, third harmonics and static components, it is still difficult to locate the micro-defects. Perhaps the nonlinear mixing of guided waves can solve these problems since their modes, frequencies and propagation direction can be flexibly selected. Note that the phenomena of phase mismatching usually occur due to the lack of precise acoustic properties for the measured samples, and they may affect the energy transmission from the fundamental waves to second-order harmonics as well as reduce the sensitivity to micro-damage. Therefore, these phenomena are systematically investigated to more accurately assessing the microstructural changes. It is theoretically, numerically, and experimentally found that the cumulative effect of difference- or sum-frequency components will be broken by the phase mismatching, accompanied by the appearance of the beat effect. Meanwhile, their spatial periodicity is inversely proportional to the wavenumber difference between fundamental waves and difference- or sum-frequency components. The sensitivity to micro-damage is compared between two typical mode triplets that approximately and exactly meet the resonance conditions, and the better one is utilized for assessing the accumulated plastic deformations in the thin plates. Full article
Show Figures

Figure 1

12 pages, 2612 KB  
Article
Mixing of Non-Collinear Lamb Wave Pulses in Plates with Material Nonlinearity
by Juan Carlos Pineda Allen and Ching Tai Ng
Sensors 2023, 23(2), 716; https://doi.org/10.3390/s23020716 - 8 Jan 2023
Cited by 12 | Viewed by 2709
Abstract
Guided waves have been extensively studied in the past few years, and more recently nonlinear guided waves have attracted significant research interest for their potential for early damage detection and material state characterization. Combined harmonic generation due to wave mixing can offer some [...] Read more.
Guided waves have been extensively studied in the past few years, and more recently nonlinear guided waves have attracted significant research interest for their potential for early damage detection and material state characterization. Combined harmonic generation due to wave mixing can offer some advantages over second harmonic generation. However, studies focused on Lamb wave mixing are still very limited, and have mainly focused on collinear wave mixing and used plane wave assumption. In this paper, numerical simulations and experiments are conducted to understand the interaction of mixing non-collinear Lamb wave pulses with non-planar wavefronts. The results demonstrate that the generated secondary wave is cumulative under internal resonance conditions and the sum-frequency component of the combined harmonics is useful for characterizing material nonlinearities. Full article
Show Figures

Figure 1

19 pages, 4982 KB  
Article
The Effects of Stress on Second Harmonics in Plate-Like Structures
by Xiaochuan Niu, Liqiang Zhu and Zujun Yu
Appl. Sci. 2020, 10(15), 5124; https://doi.org/10.3390/app10155124 - 26 Jul 2020
Cited by 4 | Viewed by 2561
Abstract
Cumulative second harmonic of ultrasonic guided waves is considered to have great application potential in evaluating internal stress of structures. One difficulty with the application is the diversity and complexity of modal response to the stress change in waveguide. At present, there is [...] Read more.
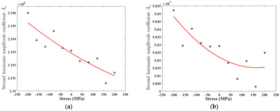
Cumulative second harmonic of ultrasonic guided waves is considered to have great application potential in evaluating internal stress of structures. One difficulty with the application is the diversity and complexity of modal response to the stress change in waveguide. At present, there is a lack of relevant theoretical studies and experimental results to guide the applications. In this article, a method is proposed to characterize the amplitude change of cumulative second harmonic mode in a plate under stress through calculating the amplitude coefficient, which can be acquired based on mode shape analysis. The steel plate is taken as an example to demonstrate the analysis method. Experimental studies are presented with results consistent with the theoretical predictions. The results of this study indicate that the amplitudes of different cumulative second harmonic modes may increase or decrease monotonically with the change of stress. Therefore, when the phenomenon of modes mixing occurs in the waveguide, it is necessary to analyze and predict the amplitude of selected cumulative second harmonic mode with the change of stress in advance; otherwise, wrong results may be obtained. The method and conclusions proposed in this paper can also be applicable to waveguide of arbitrary cross-section and have universality. Full article
(This article belongs to the Section Acoustics and Vibrations)
Show Figures

Figure 1

12 pages, 2401 KB  
Article
Combination of Phase Matching and Phase-Reversal Approaches for Thermal Damage Assessment by Second Harmonic Lamb Waves
by Weibin Li, Shicheng Hu and Mingxi Deng
Materials 2018, 11(10), 1961; https://doi.org/10.3390/ma11101961 - 12 Oct 2018
Cited by 21 | Viewed by 3511
Abstract
It is known that measurement and extraction of the tiny amplitude of second harmonic Lamb waves are the main difficulties for practical applications of the nonlinear Lamb wave technique. In this study, phase-reversal approaches and phase matching technique are combined to build up [...] Read more.
It is known that measurement and extraction of the tiny amplitude of second harmonic Lamb waves are the main difficulties for practical applications of the nonlinear Lamb wave technique. In this study, phase-reversal approaches and phase matching technique are combined to build up the second-harmonic generation (SHG) of Lamb waves. A specific Lamb wave mode pair, which satisfied phase matching conditions, is selected to ensure the generation of cumulative second harmonic waves. Lamb wave signals with the same frequency but in reverse phase, propagating in the given specimen, are added together to counteract the fundamental waves, and simultaneously to enhance the signals of the second harmonic generated. The obtained results show that the phase-reversal approach can enhance the signals of second harmonic Lamb waves, and effectively counteract that of the fundamental waves. The approach is applied to assess the thermal-induced material degradation in the stainless steel plates. Distinctions of the acoustic nonlinearity parameters under different degraded levels are clearly shown in an improved repeatable and reliable manner, while those of linear wave velocity in the specimens are neglectable. The experimental investigations performed indicate that the proposed approach can be taken as a promising alternative for assessment of material degradation in its early stages. Full article
(This article belongs to the Special Issue Non-destructive Inspection)
Show Figures

Figure 1

16 pages, 2467 KB  
Article
Fatigue Damage Evaluation Using Nonlinear Lamb Waves with Quasi Phase-Velocity Matching at Low Frequency
by Wujun Zhu, Yanxun Xiang, Chang-jun Liu, Mingxi Deng, Congyun Ma and Fu-zhen Xuan
Materials 2018, 11(10), 1920; https://doi.org/10.3390/ma11101920 - 9 Oct 2018
Cited by 32 | Viewed by 3168
Abstract
Due to the dispersive and multimode natures, only nonlinear Lamb waves with exact phase-velocity matching were generally used in previous studies to evaluate the evenly distributed microstructural evolution in the incipient stage of material degradation, because of the cumulative generation of second harmonics, [...] Read more.
Due to the dispersive and multimode natures, only nonlinear Lamb waves with exact phase-velocity matching were generally used in previous studies to evaluate the evenly distributed microstructural evolution in the incipient stage of material degradation, because of the cumulative generation of second harmonics, which was also found within a significant propagation distance for mode pair S0-s0 with quasi phase-velocity matching at low frequency. To explore the feasibility of fatigue damage evaluation by using this mode pair and fully utilize its unique merits, the cumulative second harmonic analysis was performed on aluminum alloy specimens with various material damage produced by the continuous low cycle fatigue tests. Similar to mode pair S1-s2 with exact phase-velocity matching, a mountain shape curve between the normalized acoustic nonlinearity parameter and the fatigue life was also achieved with the peak point at about 0.65 fatigue life for mode pair S0-s0, even though a relatively higher sensitivity to fatigue damage was observed for mode pair S1-s2. The excited frequency selection was further analyzed in a certain frequency range, where the quasi phase-velocity matching condition was satisfied for mode pair S0-s0 owing to the less dispersive property. Results show that the fatigue damage can be effectively detected using the mode pair S0-s0, and a relatively lower excited frequency was preferred due to its higher sensitivity to microstructural evolution. Full article
Show Figures

Figure 1

15 pages, 4075 KB  
Article
Simulations on Monitoring and Evaluation of Plasticity-Driven Material Damage Based on Second Harmonic of S0 Mode Lamb Waves in Metallic Plates
by Xiaoqiang Sun, Xuyang Liu, Yaolu Liu, Ning Hu, Youxuan Zhao, Xiangyan Ding, Shiwei Qin, Jianyu Zhang, Jun Zhang, Feng Liu and Shaoyun Fu
Materials 2017, 10(7), 827; https://doi.org/10.3390/ma10070827 - 19 Jul 2017
Cited by 18 | Viewed by 5795
Abstract
In this study, a numerical approach—the discontinuous Meshless Local Petrov-Galerkin-Eshelby Method (MLPGEM)—was adopted to simulate and measure material plasticity in an Al 7075-T651 plate. The plate was modeled in two dimensions by assemblies of small particles that interact with each other through bonding [...] Read more.
In this study, a numerical approach—the discontinuous Meshless Local Petrov-Galerkin-Eshelby Method (MLPGEM)—was adopted to simulate and measure material plasticity in an Al 7075-T651 plate. The plate was modeled in two dimensions by assemblies of small particles that interact with each other through bonding stiffness. The material plasticity of the model loaded to produce different levels of strain is evaluated with the Lamb waves of S0 mode. A tone burst at the center frequency of 200 kHz was used as excitation. Second-order nonlinear wave was extracted from the spectrogram of a signal receiving point. Tensile-driven plastic deformation and cumulative second harmonic generation of S0 mode were observed in the simulation. Simulated measurement of the acoustic nonlinearity increased monotonically with the level of tensile-driven plastic strain captured by MLPGEM, whereas achieving this state by other numerical methods is comparatively more difficult. This result indicates that the second harmonics of S0 mode can be employed to monitor and evaluate the material or structural early-stage damage induced by plasticity. Full article
(This article belongs to the Special Issue Structural Health Monitoring for Aerospace Applications 2017)
Show Figures

Figure 1

Back to TopTop